Номер 5.33, страница 41, часть 2 - гдз по алгебре 8 класс учебник Мордкович, Александрова

Авторы: Мордкович А. Г., Александрова Л. А., Мишустина Т. Н., Тульчинская Е. Е., Семенов П. В.
Тип: Учебник
Издательство: Мнемозина
Год издания: 2019 - 2025
Часть: 2
Цвет обложки:
Допущено Министерством просвещения Российской Федерации
Популярные ГДЗ в 8 классе
Параграф 5. Умножение и деление алгебраических дробей. Возведение алгебраической дроби в степень. Глава 1. Алгебраические дроби. Часть 2 - номер 5.33, страница 41.
№5.33 (с. 41)
Условие. №5.33 (с. 41)
скриншот условия

Упростите выражение:
5.33 a) $ \frac{a^2 - 1}{a - b} \cdot \frac{9a - 9b}{a^2 + a}; $
б) $ \frac{(y - 5)^2}{3y + 18} : \frac{2y - 10}{y^2 - 36}; $
в) $ \frac{(x + 4)^2}{3x - 9} \cdot \frac{x^2 - 9}{3x + 12}; $
г) $ \frac{b^2 + 4bc}{b + 6} : \frac{b^2 - 16c^2}{2b + 12}. $
Решение 1. №5.33 (с. 41)




Решение 2. №5.33 (с. 41)

Решение 4. №5.33 (с. 41)

Решение 6. №5.33 (с. 41)
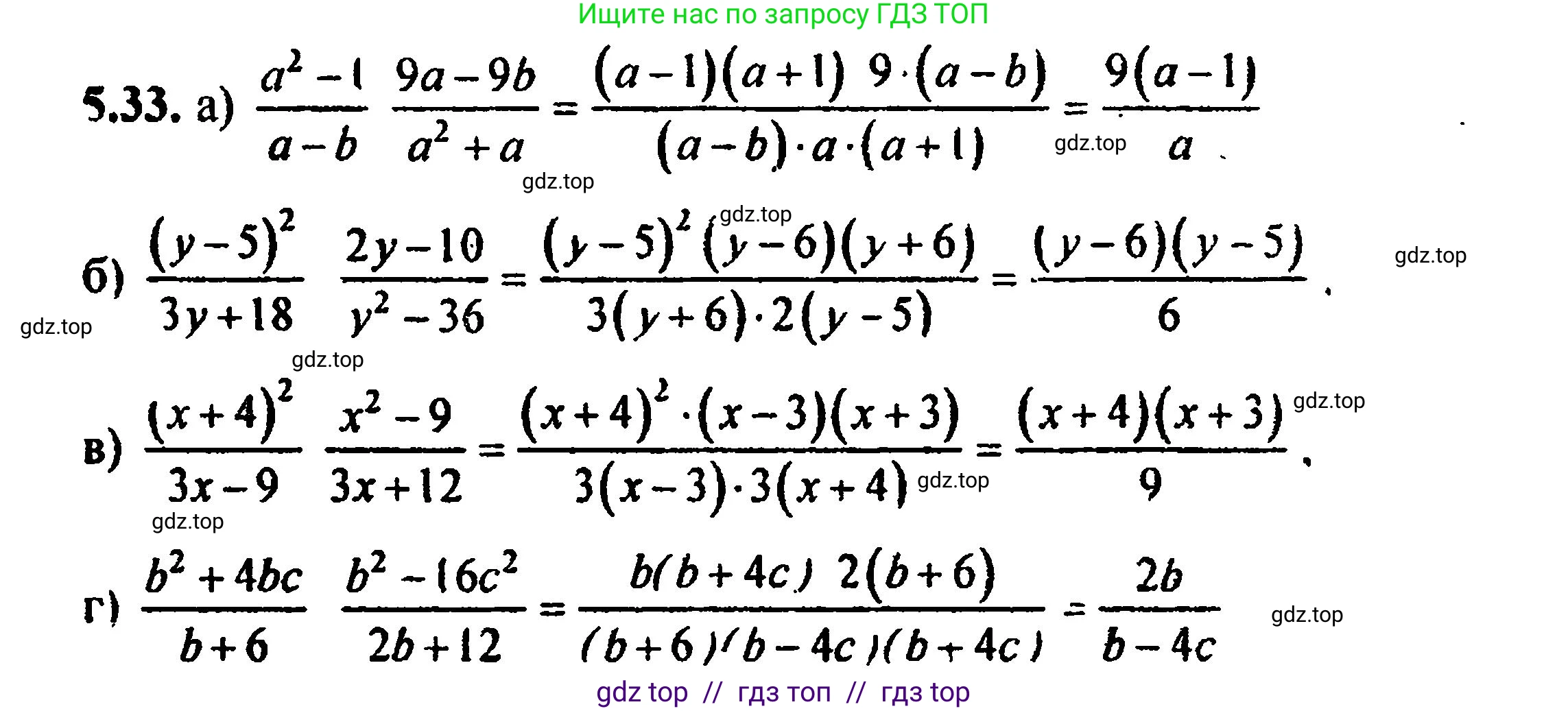
а) $ \frac{a^2 - 1}{a - b} \cdot \frac{9a - 9b}{a^2 + a} $
Чтобы упростить выражение, разложим на множители числители и знаменатели дробей. Для числителя $a^2 - 1$ используем формулу разности квадратов $x^2 - y^2 = (x-y)(x+y)$. В остальных случаях вынесем общий множитель за скобки.
$a^2 - 1 = (a - 1)(a + 1)$
$9a - 9b = 9(a - b)$
$a^2 + a = a(a + 1)$
Подставим разложенные выражения обратно в исходное:
$ \frac{(a - 1)(a + 1)}{a - b} \cdot \frac{9(a - b)}{a(a + 1)} $
Теперь можно сократить общие множители $(a - b)$ и $(a + 1)$ в числителе и знаменателе:
$ \frac{(a - 1)(a + 1) \cdot 9(a - b)}{(a - b) \cdot a(a + 1)} = \frac{9(a - 1)}{a} $
Ответ: $ \frac{9(a - 1)}{a} $
б) $ \frac{(y - 5)^2}{3y + 18} : \frac{2y - 10}{y^2 - 36} $
Сначала заменим деление на умножение, перевернув вторую дробь (делитель):
$ \frac{(y - 5)^2}{3y + 18} \cdot \frac{y^2 - 36}{2y - 10} $
Теперь разложим на множители числители и знаменатели:
$3y + 18 = 3(y + 6)$
$y^2 - 36 = y^2 - 6^2 = (y - 6)(y + 6)$
$2y - 10 = 2(y - 5)$
Подставим разложения в выражение:
$ \frac{(y - 5)^2}{3(y + 6)} \cdot \frac{(y - 6)(y + 6)}{2(y - 5)} $
Сократим общие множители $(y - 5)$ и $(y + 6)$:
$ \frac{(y - 5)(y - 5) \cdot (y - 6)(y + 6)}{3(y + 6) \cdot 2(y - 5)} = \frac{(y - 5)(y - 6)}{3 \cdot 2} = \frac{(y - 5)(y - 6)}{6} $
Ответ: $ \frac{(y - 5)(y - 6)}{6} $
в) $ \frac{(x + 4)^2}{3x - 9} \cdot \frac{x^2 - 9}{3x + 12} $
Разложим на множители числители и знаменатели дробей:
$3x - 9 = 3(x - 3)$
$x^2 - 9 = x^2 - 3^2 = (x - 3)(x + 3)$
$3x + 12 = 3(x + 4)$
Подставим разложения в исходное выражение:
$ \frac{(x + 4)^2}{3(x - 3)} \cdot \frac{(x - 3)(x + 3)}{3(x + 4)} $
Объединим дроби и сократим общие множители $(x + 4)$ и $(x - 3)$:
$ \frac{(x + 4)(x + 4) \cdot (x - 3)(x + 3)}{3(x - 3) \cdot 3(x + 4)} = \frac{(x + 4)(x + 3)}{3 \cdot 3} = \frac{(x + 4)(x + 3)}{9} $
Ответ: $ \frac{(x + 4)(x + 3)}{9} $
г) $ \frac{b^2 + 4bc}{b + 6} : \frac{b^2 - 16c^2}{2b + 12} $
Заменим деление на умножение, перевернув вторую дробь:
$ \frac{b^2 + 4bc}{b + 6} \cdot \frac{2b + 12}{b^2 - 16c^2} $
Разложим на множители числители и знаменатели:
$b^2 + 4bc = b(b + 4c)$
$2b + 12 = 2(b + 6)$
$b^2 - 16c^2 = b^2 - (4c)^2 = (b - 4c)(b + 4c)$
Подставим разложения в выражение:
$ \frac{b(b + 4c)}{b + 6} \cdot \frac{2(b + 6)}{(b - 4c)(b + 4c)} $
Сократим общие множители $(b + 6)$ и $(b + 4c)$:
$ \frac{b(b + 4c) \cdot 2(b + 6)}{(b + 6) \cdot (b - 4c)(b + 4c)} = \frac{2b}{b - 4c} $
Ответ: $ \frac{2b}{b - 4c} $
Другие задания:
Помогло решение? Оставьте отзыв в комментариях ниже.
Присоединяйтесь к Телеграм-группе @top_gdz
ПрисоединитьсяМы подготовили для вас ответ c подробным объяснением домашего задания по алгебре за 8 класс, для упражнения номер 5.33 расположенного на странице 41 для 2-й части к учебнику 2019 года издания для учащихся школ и гимназий.
Теперь на нашем сайте ГДЗ.ТОП вы всегда легко и бесплатно найдёте условие с правильным ответом на вопрос «Как решить ДЗ» и «Как сделать» задание по алгебре к упражнению №5.33 (с. 41), авторов: Мордкович (Александр Григорьевич), Александрова (Лилия Александровна), Мишустина (Татьяна Николаевна), Тульчинская (Елена Ефимовна), Семенов (Павел Владимирович), 2-й части учебного пособия издательства Мнемозина.