Номер 5.40, страница 42, часть 2 - гдз по алгебре 8 класс учебник Мордкович, Александрова

Алгебра, 8 класс Учебник, авторы: Мордкович Александр Григорьевич, Александрова Лилия Александровна, Мишустина Татьяна Николаевна, Тульчинская Елена Ефимовна, Семенов Павел Владимирович, издательство Мнемозина, Москва, 2019, часть 2

Авторы: Мордкович А. Г., Александрова Л. А., Мишустина Т. Н., Тульчинская Е. Е., Семенов П. В.

Тип: Учебник

Издательство: Мнемозина

Год издания: 2019 - 2025

Часть: 2

Допущено Министерством просвещения Российской Федерации

Популярные ГДЗ в 8 классе

Часть 2. Глава 1. Алгебраические дроби. Параграф 5. Умножение и деление алгебраических дробей. Возведение алгебраической дроби в степень - номер 5.40, страница 42.

№5.40 (с. 42)
Условие. №5.40 (с. 42)
скриншот условия
Алгебра, 8 класс Учебник, авторы: Мордкович Александр Григорьевич, Александрова Лилия Александровна, Мишустина Татьяна Николаевна, Тульчинская Елена Ефимовна, Семенов Павел Владимирович, издательство Мнемозина, Москва, 2019, Часть 2, страница 42, номер 5.40, Условие

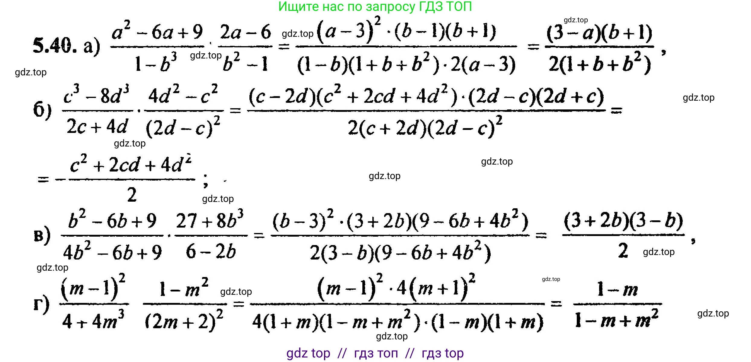
5.40 a) $\frac{a^2 - 6a + 9}{1 - b^3} : \frac{2a - 6}{b^2 - 1};$

б) $\frac{c^3 - 8d^3}{2c + 4d} \cdot \frac{4d^2 - c^2}{(2d - c)^2};$

в) $\frac{b^2 - 6b + 9}{4b^2 - 6b + 9} \cdot \frac{27 + 8b^3}{6 - 2b};$

г) $\frac{(m - 1)^2}{4 + 4m^3} : \frac{1 - m^2}{(2m + 2)^2};$

Решение 1. №5.40 (с. 42)
Алгебра, 8 класс Учебник, авторы: Мордкович Александр Григорьевич, Александрова Лилия Александровна, Мишустина Татьяна Николаевна, Тульчинская Елена Ефимовна, Семенов Павел Владимирович, издательство Мнемозина, Москва, 2019, Часть 2, страница 42, номер 5.40, Решение 1
Алгебра, 8 класс Учебник, авторы: Мордкович Александр Григорьевич, Александрова Лилия Александровна, Мишустина Татьяна Николаевна, Тульчинская Елена Ефимовна, Семенов Павел Владимирович, издательство Мнемозина, Москва, 2019, Часть 2, страница 42, номер 5.40, Решение 1 (продолжение 2)
Алгебра, 8 класс Учебник, авторы: Мордкович Александр Григорьевич, Александрова Лилия Александровна, Мишустина Татьяна Николаевна, Тульчинская Елена Ефимовна, Семенов Павел Владимирович, издательство Мнемозина, Москва, 2019, Часть 2, страница 42, номер 5.40, Решение 1 (продолжение 3)
Алгебра, 8 класс Учебник, авторы: Мордкович Александр Григорьевич, Александрова Лилия Александровна, Мишустина Татьяна Николаевна, Тульчинская Елена Ефимовна, Семенов Павел Владимирович, издательство Мнемозина, Москва, 2019, Часть 2, страница 42, номер 5.40, Решение 1 (продолжение 4)
Решение 2. №5.40 (с. 42)
Алгебра, 8 класс Учебник, авторы: Мордкович Александр Григорьевич, Александрова Лилия Александровна, Мишустина Татьяна Николаевна, Тульчинская Елена Ефимовна, Семенов Павел Владимирович, издательство Мнемозина, Москва, 2019, Часть 2, страница 42, номер 5.40, Решение 2
Решение 4. №5.40 (с. 42)
Алгебра, 8 класс Учебник, авторы: Мордкович Александр Григорьевич, Александрова Лилия Александровна, Мишустина Татьяна Николаевна, Тульчинская Елена Ефимовна, Семенов Павел Владимирович, издательство Мнемозина, Москва, 2019, Часть 2, страница 42, номер 5.40, Решение 4
Решение 6. №5.40 (с. 42)

а)

Исходное выражение: $ \frac{a^2 - 6a + 9}{1 - b^3} : \frac{2a - 6}{b^2 - 1} $.

Чтобы разделить одну дробь на другую, нужно первую дробь умножить на дробь, обратную второй: $ \frac{a^2 - 6a + 9}{1 - b^3} \cdot \frac{b^2 - 1}{2a - 6} $.

Разложим на множители числители и знаменатели дробей, используя формулы сокращенного умножения и вынесение общего множителя за скобки.

Числитель первой дроби (квадрат разности):
$ a^2 - 6a + 9 = a^2 - 2 \cdot a \cdot 3 + 3^2 = (a - 3)^2 $.

Знаменатель первой дроби (разность кубов):
$ 1 - b^3 = 1^3 - b^3 = (1 - b)(1^2 + 1 \cdot b + b^2) = (1 - b)(1 + b + b^2) $.

Числитель второй дроби (разность квадратов):
$ b^2 - 1 = (b - 1)(b + 1) $.

Знаменатель второй дроби (вынесение общего множителя):
$ 2a - 6 = 2(a - 3) $.

Подставим разложенные выражения обратно в пример: $ \frac{(a - 3)^2}{(1 - b)(1 + b + b^2)} \cdot \frac{(b - 1)(b + 1)}{2(a - 3)} $.

Заметим, что $ (b - 1) = -(1 - b) $. Заменим, чтобы можно было сократить: $ \frac{(a - 3)^2}{(1 - b)(1 + b + b^2)} \cdot \frac{-(1 - b)(b + 1)}{2(a - 3)} $.

Сокращаем общие множители $ (a-3) $ и $ (1-b) $: $ \frac{a - 3}{1 + b + b^2} \cdot \frac{-(b + 1)}{2} = -\frac{(a - 3)(b + 1)}{2(1 + b + b^2)} $.

Ответ: $ -\frac{(a - 3)(b + 1)}{2(1 + b + b^2)} $

б)

Исходное выражение: $ \frac{c^3 - 8d^3}{2c + 4d} \cdot \frac{4d^2 - c^2}{(2d - c)^2} $.

Разложим на множители числители и знаменатели дробей:

Числитель первой дроби (разность кубов):
$ c^3 - 8d^3 = c^3 - (2d)^3 = (c - 2d)(c^2 + c \cdot 2d + (2d)^2) = (c - 2d)(c^2 + 2cd + 4d^2) $.

Знаменатель первой дроби (вынесение общего множителя):
$ 2c + 4d = 2(c + 2d) $.

Числитель второй дроби (разность квадратов):
$ 4d^2 - c^2 = (2d)^2 - c^2 = (2d - c)(2d + c) $.

Подставим разложенные выражения: $ \frac{(c - 2d)(c^2 + 2cd + 4d^2)}{2(c + 2d)} \cdot \frac{(2d - c)(2d + c)}{(2d - c)^2} $.

Заметим, что $ (c - 2d) = -(2d - c) $ и $ (c + 2d) = (2d + c) $. Подставим и сгруппируем множители для сокращения: $ \frac{-(2d - c)(c^2 + 2cd + 4d^2) \cdot (2d - c)(c + 2d)}{2(c + 2d) \cdot (2d - c)^2} $.

Сокращаем общие множители $ (c + 2d) $ и $ (2d - c)^2 $: $ \frac{-(c^2 + 2cd + 4d^2)}{2} $.

Ответ: $ -\frac{c^2 + 2cd + 4d^2}{2} $

в)

Исходное выражение: $ \frac{b^2 - 6b + 9}{4b^2 - 6b + 9} \cdot \frac{27 + 8b^3}{6 - 2b} $.

Разложим на множители числители и знаменатели дробей:

Числитель первой дроби (квадрат разности):
$ b^2 - 6b + 9 = (b - 3)^2 $.

Числитель второй дроби (сумма кубов):
$ 27 + 8b^3 = 3^3 + (2b)^3 = (3 + 2b)(3^2 - 3 \cdot 2b + (2b)^2) = (3 + 2b)(9 - 6b + 4b^2) $.

Знаменатель второй дроби (вынесение общего множителя):
$ 6 - 2b = 2(3 - b) $.

Знаменатель первой дроби $ 4b^2 - 6b + 9 $ является неполным квадратом разности и совпадает с одним из множителей в числителе второй дроби.

Подставим разложенные выражения: $ \frac{(b - 3)^2}{4b^2 - 6b + 9} \cdot \frac{(3 + 2b)(9 - 6b + 4b^2)}{2(3 - b)} $.

Заметим, что $ (b - 3)^2 = (-(3 - b))^2 = (3 - b)^2 $ и $ 9 - 6b + 4b^2 = 4b^2 - 6b + 9 $.

Перепишем выражение и сократим общие множители $ (4b^2 - 6b + 9) $ и $ (3-b) $: $ \frac{(3 - b)^2}{4b^2 - 6b + 9} \cdot \frac{(3 + 2b)(4b^2 - 6b + 9)}{2(3 - b)} = \frac{(3-b)(3+2b)}{2} $.

Ответ: $ \frac{(3 - b)(3 + 2b)}{2} $

г)

Исходное выражение: $ \frac{(m - 1)^2}{4 + 4m^3} : \frac{1 - m^2}{(2m + 2)^2} $.

Заменим деление на умножение на обратную дробь: $ \frac{(m - 1)^2}{4 + 4m^3} \cdot \frac{(2m + 2)^2}{1 - m^2} $.

Разложим на множители:

Знаменатель первой дроби (вынесение общего множителя и сумма кубов):
$ 4 + 4m^3 = 4(1 + m^3) = 4(1 + m)(1 - m + m^2) $.

Числитель второй дроби:
$ (2m + 2)^2 = (2(m + 1))^2 = 4(m + 1)^2 $.

Знаменатель второй дроби (разность квадратов):
$ 1 - m^2 = (1 - m)(1 + m) $.

Подставим разложенные выражения: $ \frac{(m - 1)^2}{4(1 + m)(1 - m + m^2)} \cdot \frac{4(m + 1)^2}{(1 - m)(1 + m)} $.

Заметим, что $ (m-1)^2 = (-(1-m))^2 = (1-m)^2 $ и $ (m+1)=(1+m) $. Объединим дроби: $ \frac{(1 - m)^2 \cdot 4(1 + m)^2}{4(1 + m)(1 - m + m^2) \cdot (1 - m)(1 + m)} = \frac{4(1 - m)^2(1 + m)^2}{4(1 - m)(1 + m)^2(1 - m + m^2)} $.

Сокращаем общие множители $ 4 $, $ (1-m) $ и $ (1+m)^2 $: $ \frac{1 - m}{1 - m + m^2} $.

Ответ: $ \frac{1 - m}{m^2 - m + 1} $

Помогло решение? Оставьте отзыв в комментариях ниже.

Присоединяйтесь к Телеграм-группе @top_gdz

Присоединиться

Мы подготовили для вас ответ c подробным объяснением домашего задания по алгебре за 8 класс, для упражнения номер 5.40 расположенного на странице 42 для 2-й части к учебнику 2019 года издания для учащихся школ и гимназий.

Теперь на нашем сайте ГДЗ.ТОП вы всегда легко и бесплатно найдёте условие с правильным ответом на вопрос «Как решить ДЗ» и «Как сделать» задание по алгебре к упражнению №5.40 (с. 42), авторов: Мордкович (Александр Григорьевич), Александрова (Лилия Александровна), Мишустина (Татьяна Николаевна), Тульчинская (Елена Ефимовна), Семенов (Павел Владимирович), 2-й части учебного пособия издательства Мнемозина.