Номер 5.43, страница 42, часть 2 - гдз по алгебре 8 класс учебник Мордкович, Александрова

Авторы: Мордкович А. Г., Александрова Л. А., Мишустина Т. Н., Тульчинская Е. Е., Семенов П. В.
Тип: Учебник
Издательство: Мнемозина
Год издания: 2019 - 2025
Часть: 2
Цвет обложки:
Допущено Министерством просвещения Российской Федерации
Популярные ГДЗ в 8 классе
Параграф 5. Умножение и деление алгебраических дробей. Возведение алгебраической дроби в степень. Глава 1. Алгебраические дроби. Часть 2 - номер 5.43, страница 42.
№5.43 (с. 42)
Условие. №5.43 (с. 42)
скриншот условия

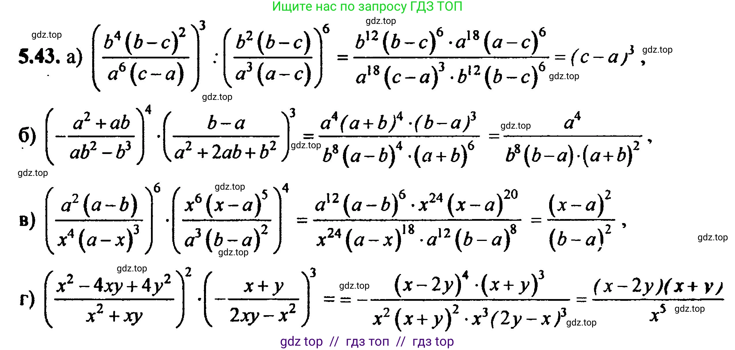
5.43 a) $ \left(\frac{b^4(b-c)^2}{a^6(c-a)}\right)^3 : \left(\frac{b^2(b-c)}{a^3(a-c)}\right)^6; $
б) $ \left(-\frac{a^2+ab}{ab^2-b^3}\right)^4 \cdot \left(\frac{b-a}{a^2+2ab+b^2}\right)^3; $
в) $ \left(\frac{a^2(a-b)}{x^4(a-x)^3}\right)^6 \cdot \left(\frac{x^6(x-a)^5}{a^3(b-a)^2}\right)^4; $
г) $ \left(\frac{x^2-4xy+4y^2}{x^2+xy}\right)^2 \cdot \left(-\frac{x+y}{2xy-x^2}\right)^3; $
Решение 1. №5.43 (с. 42)




Решение 2. №5.43 (с. 42)

Решение 4. №5.43 (с. 42)

Решение 6. №5.43 (с. 42)
а) Решим пример $\left(\frac{b^4(b-c)^2}{a^6(c-a)}\right)^3 : \left(\frac{b^2(b-c)}{a^3(a-c)}\right)^6$.
Сначала возведем каждую дробь в соответствующую степень по правилу $( \frac{x}{y} )^n = \frac{x^n}{y^n}$ и $(xyz)^n=x^ny^nz^n$:
$\frac{(b^4)^3((b-c)^2)^3}{(a^6)^3(c-a)^3} : \frac{(b^2)^6(b-c)^6}{(a^3)^6(a-c)^6} = \frac{b^{12}(b-c)^6}{a^{18}(c-a)^3} : \frac{b^{12}(b-c)^6}{a^{18}(a-c)^6}$
Чтобы разделить одну дробь на другую, нужно первую дробь умножить на дробь, обратную второй:
$\frac{b^{12}(b-c)^6}{a^{18}(c-a)^3} \cdot \frac{a^{18}(a-c)^6}{b^{12}(b-c)^6}$
Заметим, что $c-a = -(a-c)$, следовательно $(c-a)^3 = (-(a-c))^3 = -1^3 \cdot (a-c)^3 = -(a-c)^3$. Подставим это в выражение:
$\frac{b^{12}(b-c)^6}{a^{18}(-(a-c)^3)} \cdot \frac{a^{18}(a-c)^6}{b^{12}(b-c)^6}$
Теперь сократим общие множители $a^{18}$, $b^{12}$ и $(b-c)^6$ в числителе и знаменателе:
$\frac{1}{-(a-c)^3} \cdot \frac{(a-c)^6}{1} = -\frac{(a-c)^6}{(a-c)^3}$
Используя свойство степеней $\frac{x^m}{x^n} = x^{m-n}$, получаем:
$-(a-c)^{6-3} = -(a-c)^3$
Ответ: $-(a-c)^3$
б) Решим пример $\left(-\frac{a^2+ab}{ab^2-b^3}\right)^4 \cdot \left(\frac{b-a}{a^2+2ab+b^2}\right)^3$.
Сначала упростим выражения в скобках. Разложим числители и знаменатели на множители:
Первая дробь: $-\frac{a^2+ab}{ab^2-b^3} = -\frac{a(a+b)}{b^2(a-b)}$
Вторая дробь: $\frac{b-a}{a^2+2ab+b^2} = \frac{-(a-b)}{(a+b)^2}$
Подставим упрощенные дроби в исходное выражение:
$\left(-\left(-\frac{a(a+b)}{b^2(a-b)}\right)\right)^4 \cdot \left(\frac{-(a-b)}{(a+b)^2}\right)^3 = \left(\frac{a(a+b)}{b^2(a-b)}\right)^4 \cdot \left(\frac{-(a-b)}{(a+b)^2}\right)^3$
Возведем в степень каждую дробь. В первой дроби знак минус в четвертой (четной) степени дает плюс. Во второй дроби знак минус в третьей (нечетной) степени сохраняется:
$\frac{a^4(a+b)^4}{b^8(a-b)^4} \cdot \frac{(-1)^3(a-b)^3}{(a+b)^6} = \frac{a^4(a+b)^4}{b^8(a-b)^4} \cdot \frac{-(a-b)^3}{(a+b)^6}$
Перемножим дроби и сократим степени:
$-\frac{a^4(a+b)^4(a-b)^3}{b^8(a-b)^4(a+b)^6} = -\frac{a^4}{b^8(a-b)^{4-3}(a+b)^{6-4}} = -\frac{a^4}{b^8(a-b)(a+b)^2}$
Ответ: $-\frac{a^4}{b^8(a-b)(a+b)^2}$
в) Решим пример $\left(\frac{a^2(a-b)}{x^4(a-x)^3}\right)^6 \cdot \left(\frac{x^6(x-a)^5}{a^3(b-a)^2}\right)^4$.
Упростим выражения со сменой знака: $b-a = -(a-b)$ и $x-a = -(a-x)$.
Тогда $(b-a)^2 = (-(a-b))^2 = (a-b)^2$ и $(x-a)^5 = (-(a-x))^5 = -(a-x)^5$.
Подставим это в исходное выражение:
$\left(\frac{a^2(a-b)}{x^4(a-x)^3}\right)^6 \cdot \left(\frac{x^6(-(a-x)^5)}{a^3(a-b)^2}\right)^4$
Возведем в степень. Знак минус во второй скобке находится в четвертой (четной) степени, поэтому он исчезнет:
$\frac{(a^2)^6(a-b)^6}{(x^4)^6(a-x)^3\cdot6} \cdot \frac{(x^6)^4(a-x)^5\cdot4}{(a^3)^4(a-b)^2\cdot4} = \frac{a^{12}(a-b)^6}{x^{24}(a-x)^{18}} \cdot \frac{x^{24}(a-x)^{20}}{a^{12}(a-b)^8}$
Перемножим дроби и сократим общие множители $a^{12}$ и $x^{24}$:
$\frac{(a-b)^6(a-x)^{20}}{(a-x)^{18}(a-b)^8}$
Сократим степени, используя свойство $\frac{x^m}{x^n} = x^{m-n}$:
$\frac{(a-x)^{20-18}}{(a-b)^{8-6}} = \frac{(a-x)^2}{(a-b)^2} = \left(\frac{a-x}{a-b}\right)^2$
Ответ: $\left(\frac{a-x}{a-b}\right)^2$
г) Решим пример $\left(\frac{x^2-4xy+4y^2}{x^2+xy}\right)^2 \cdot \left(-\frac{x+y}{2xy-x^2}\right)^3$.
Упростим выражения в скобках, разложив на множители:
Первая дробь: $\frac{x^2-4xy+4y^2}{x^2+xy} = \frac{(x-2y)^2}{x(x+y)}$
Вторая дробь: $-\frac{x+y}{2xy-x^2} = -\frac{x+y}{x(2y-x)} = -\frac{x+y}{-x(x-2y)} = \frac{x+y}{x(x-2y)}$
Подставим упрощенные дроби в исходное выражение:
$\left(\frac{(x-2y)^2}{x(x+y)}\right)^2 \cdot \left(\frac{x+y}{x(x-2y)}\right)^3$
Возведем в степень каждую дробь:
$\frac{((x-2y)^2)^2}{x^2(x+y)^2} \cdot \frac{(x+y)^3}{x^3(x-2y)^3} = \frac{(x-2y)^4}{x^2(x+y)^2} \cdot \frac{(x+y)^3}{x^3(x-2y)^3}$
Перемножим дроби:
$\frac{(x-2y)^4(x+y)^3}{x^2 \cdot x^3 (x+y)^2(x-2y)^3} = \frac{(x-2y)^4(x+y)^3}{x^5(x+y)^2(x-2y)^3}$
Сократим степени:
$\frac{(x-2y)^{4-3}(x+y)^{3-2}}{x^5} = \frac{(x-2y)(x+y)}{x^5}$
Ответ: $\frac{(x-2y)(x+y)}{x^5}$
Другие задания:
Помогло решение? Оставьте отзыв в комментариях ниже.
Присоединяйтесь к Телеграм-группе @top_gdz
ПрисоединитьсяМы подготовили для вас ответ c подробным объяснением домашего задания по алгебре за 8 класс, для упражнения номер 5.43 расположенного на странице 42 для 2-й части к учебнику 2019 года издания для учащихся школ и гимназий.
Теперь на нашем сайте ГДЗ.ТОП вы всегда легко и бесплатно найдёте условие с правильным ответом на вопрос «Как решить ДЗ» и «Как сделать» задание по алгебре к упражнению №5.43 (с. 42), авторов: Мордкович (Александр Григорьевич), Александрова (Лилия Александровна), Мишустина (Татьяна Николаевна), Тульчинская (Елена Ефимовна), Семенов (Павел Владимирович), 2-й части учебного пособия издательства Мнемозина.