Номер 5.44, страница 43, часть 2 - гдз по алгебре 8 класс учебник Мордкович, Александрова

Авторы: Мордкович А. Г., Александрова Л. А., Мишустина Т. Н., Тульчинская Е. Е., Семенов П. В.
Тип: Учебник
Издательство: Мнемозина
Год издания: 2019 - 2025
Часть: 2
Цвет обложки:
Допущено Министерством просвещения Российской Федерации
Популярные ГДЗ в 8 классе
Параграф 5. Умножение и деление алгебраических дробей. Возведение алгебраической дроби в степень. Глава 1. Алгебраические дроби. Часть 2 - номер 5.44, страница 43.
№5.44 (с. 43)
Условие. №5.44 (с. 43)
скриншот условия

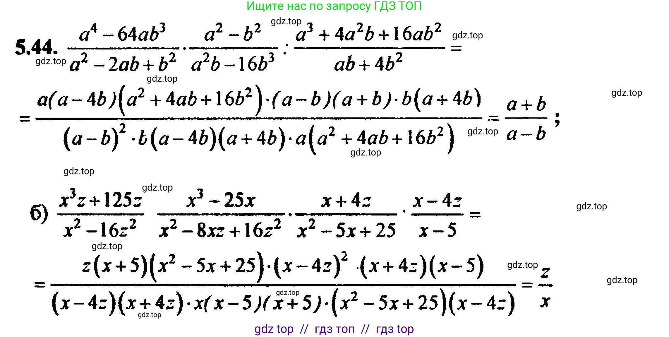
5.44 Докажите тождество:
a) $\frac{a^4 - 64ab^3}{a^2 - 2ab + b^2} \cdot \frac{a^2 - b^2}{a^2b - 16b^3} : \frac{a^3 + 4a^2b + 16ab^2}{ab + 4b^2} = \frac{a + b}{a - b};$
б) $\frac{x^3z + 125z}{x^2 - 16z^2} : \frac{x^3 - 25x}{x^2 - 8xz + 16z^2} \cdot \frac{x + 4z}{x^2 - 5x + 25} : \frac{x - 4z}{x - 5} = \frac{z}{x}.$
Решение 1. №5.44 (с. 43)


Решение 2. №5.44 (с. 43)

Решение 4. №5.44 (с. 43)

Решение 6. №5.44 (с. 43)
а) Чтобы доказать тождество, необходимо упростить его левую часть и показать, что она равна правой. Для этого выполним действия с дробями. Сначала заменим деление на умножение на обратную дробь.
Исходное выражение: $ \frac{a^4 - 64ab^3}{a^2 - 2ab + b^2} \cdot \frac{a^2 - b^2}{a^2b - 16b^3} : \frac{a^3 + 4a^2b + 16ab^2}{ab + 4b^2} $.
Преобразуем выражение, заменив деление умножением:
$ \frac{a^4 - 64ab^3}{a^2 - 2ab + b^2} \cdot \frac{a^2 - b^2}{a^2b - 16b^3} \cdot \frac{ab + 4b^2}{a^3 + 4a^2b + 16ab^2} $.
Теперь разложим на множители числители и знаменатели каждой дроби, используя формулы сокращенного умножения:
- $ a^4 - 64ab^3 = a(a^3 - 64b^3) = a(a^3 - (4b)^3) = a(a - 4b)(a^2 + 4ab + 16b^2) $ (разность кубов);
- $ a^2 - 2ab + b^2 = (a - b)^2 $ (квадрат разности);
- $ a^2 - b^2 = (a - b)(a + b) $ (разность квадратов);
- $ a^2b - 16b^3 = b(a^2 - 16b^2) = b(a - 4b)(a + 4b) $ (разность квадратов);
- $ a^3 + 4a^2b + 16ab^2 = a(a^2 + 4ab + 16b^2) $ (вынесение общего множителя);
- $ ab + 4b^2 = b(a + 4b) $ (вынесение общего множителя).
Подставим разложенные выражения обратно в произведение дробей:
$ \frac{a(a - 4b)(a^2 + 4ab + 16b^2)}{(a - b)^2} \cdot \frac{(a - b)(a + b)}{b(a - 4b)(a + 4b)} \cdot \frac{b(a + 4b)}{a(a^2 + 4ab + 16b^2)} $.
Теперь сократим общие множители в числителе и знаменателе. Сгруппируем все множители:
Числитель: $ a \cdot (a - 4b) \cdot (a^2 + 4ab + 16b^2) \cdot (a - b) \cdot (a + b) \cdot b \cdot (a + 4b) $.
Знаменатель: $ (a - b)^2 \cdot b \cdot (a - 4b) \cdot (a + 4b) \cdot a \cdot (a^2 + 4ab + 16b^2) $.
Сокращаем $ a $, $ (a - 4b) $, $ (a^2 + 4ab + 16b^2) $, $ (a-b) $ (одна степень), $ b $, $ (a+4b) $.
После сокращения получаем:
$ \frac{a+b}{a-b} $.
Таким образом, левая часть тождества равна $ \frac{a+b}{a-b} $, что совпадает с правой частью.
Ответ: Тождество доказано.
б) Чтобы доказать тождество, упростим его левую часть. Операции умножения и деления выполняются последовательно слева направо.
Исходное выражение: $ \frac{x^3z + 125z}{x^2 - 16z^2} : \frac{x^3 - 25x}{x^2 - 8xz + 16z^2} \cdot \frac{x + 4z}{x^2 - 5x + 25} : \frac{x - 4z}{x - 5} $.
Заменим все операции деления на умножение на обратные дроби:
$ \frac{x^3z + 125z}{x^2 - 16z^2} \cdot \frac{x^2 - 8xz + 16z^2}{x^3 - 25x} \cdot \frac{x + 4z}{x^2 - 5x + 25} \cdot \frac{x - 5}{x - 4z} $.
Разложим на множители числители и знаменатели:
- $ x^3z + 125z = z(x^3 + 125) = z(x^3 + 5^3) = z(x + 5)(x^2 - 5x + 25) $ (сумма кубов);
- $ x^2 - 16z^2 = (x - 4z)(x + 4z) $ (разность квадратов);
- $ x^2 - 8xz + 16z^2 = (x - 4z)^2 $ (квадрат разности);
- $ x^3 - 25x = x(x^2 - 25) = x(x - 5)(x + 5) $ (разность квадратов);
- $ x^2 - 5x + 25 $ является неполным квадратом разности и далее не раскладывается.
Подставим разложенные выражения:
$ \frac{z(x + 5)(x^2 - 5x + 25)}{(x - 4z)(x + 4z)} \cdot \frac{(x - 4z)^2}{x(x - 5)(x + 5)} \cdot \frac{x + 4z}{x^2 - 5x + 25} \cdot \frac{x - 5}{x - 4z} $.
Сгруппируем все множители в числителе и знаменателе для удобства сокращения:
Числитель: $ z \cdot (x + 5) \cdot (x^2 - 5x + 25) \cdot (x - 4z)^2 \cdot (x + 4z) \cdot (x - 5) $.
Знаменатель: $ (x - 4z) \cdot (x + 4z) \cdot x \cdot (x - 5) \cdot (x + 5) \cdot (x^2 - 5x + 25) \cdot (x - 4z) $.
В знаменателе произведение $ (x - 4z) \cdot (x - 4z) $ равно $ (x - 4z)^2 $. Теперь выражение выглядит так:
$ \frac{z \cdot (x + 5) \cdot (x^2 - 5x + 25) \cdot (x - 4z)^2 \cdot (x + 4z) \cdot (x - 5)}{x \cdot (x + 5) \cdot (x^2 - 5x + 25) \cdot (x - 4z)^2 \cdot (x + 4z) \cdot (x - 5)} $.
Сокращаем одинаковые множители: $ (x + 5) $, $ (x^2 - 5x + 25) $, $ (x - 4z)^2 $, $ (x + 4z) $, $ (x - 5) $.
После сокращения в числителе остается $ z $, а в знаменателе $ x $:
$ \frac{z}{x} $.
Левая часть тождества равна $ \frac{z}{x} $, что совпадает с правой частью.
Ответ: Тождество доказано.
Другие задания:
Помогло решение? Оставьте отзыв в комментариях ниже.
Присоединяйтесь к Телеграм-группе @top_gdz
ПрисоединитьсяМы подготовили для вас ответ c подробным объяснением домашего задания по алгебре за 8 класс, для упражнения номер 5.44 расположенного на странице 43 для 2-й части к учебнику 2019 года издания для учащихся школ и гимназий.
Теперь на нашем сайте ГДЗ.ТОП вы всегда легко и бесплатно найдёте условие с правильным ответом на вопрос «Как решить ДЗ» и «Как сделать» задание по алгебре к упражнению №5.44 (с. 43), авторов: Мордкович (Александр Григорьевич), Александрова (Лилия Александровна), Мишустина (Татьяна Николаевна), Тульчинская (Елена Ефимовна), Семенов (Павел Владимирович), 2-й части учебного пособия издательства Мнемозина.