Номер 6.5, страница 44, часть 2 - гдз по алгебре 8 класс учебник Мордкович, Александрова

Авторы: Мордкович А. Г., Александрова Л. А., Мишустина Т. Н., Тульчинская Е. Е., Семенов П. В.
Тип: Учебник
Издательство: Мнемозина
Год издания: 2019 - 2025
Часть: 2
Цвет обложки:
Допущено Министерством просвещения Российской Федерации
Популярные ГДЗ в 8 классе
Параграф 6. Преобразование рациональных выражений. Глава 1. Алгебраические дроби. Часть 2 - номер 6.5, страница 44.
№6.5 (с. 44)
Условие. №6.5 (с. 44)
скриншот условия

6.5 a) $ \left(\frac{6}{x-y} - \frac{5}{x+y}\right) \cdot \frac{x-y}{x+11y}; $
б) $ \left(a - \frac{a^2}{a+1}\right) \cdot \frac{a^2-1}{a^2+2a}; $
в) $ \left(\frac{x-2y}{xy} + \frac{1}{x}\right) \cdot \frac{x^2y^2}{x-y}; $
г) $ \frac{cd-d^2}{c^2+d^2} \cdot \left(\frac{c}{c+d} + \frac{d}{c-d}\right). $
Решение 1. №6.5 (с. 44)




Решение 2. №6.5 (с. 44)

Решение 4. №6.5 (с. 44)

Решение 6. №6.5 (с. 44)
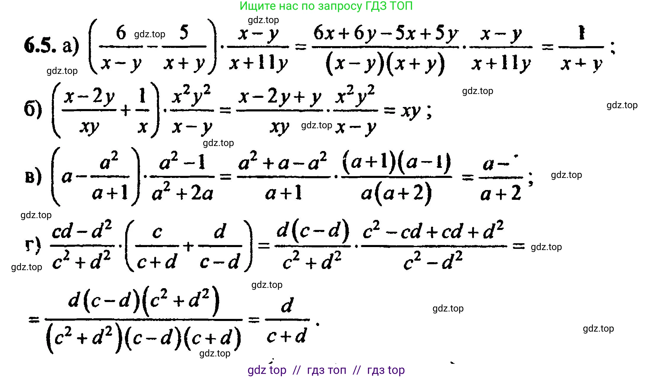
а) $(\frac{6}{x-y} - \frac{5}{x+y}) \cdot \frac{x-y}{x+11y}$
1. Сначала выполним действие в скобках. Для этого приведем дроби к общему знаменателю, которым является произведение знаменателей $(x-y)(x+y)$.
$\frac{6}{x-y} - \frac{5}{x+y} = \frac{6(x+y) - 5(x-y)}{(x-y)(x+y)} = \frac{6x + 6y - 5x + 5y}{(x-y)(x+y)} = \frac{x + 11y}{(x-y)(x+y)}$.
2. Теперь умножим результат на вторую дробь.
$\frac{x + 11y}{(x-y)(x+y)} \cdot \frac{x-y}{x+11y}$.
3. Сократим одинаковые множители в числителе и знаменателе: $(x+11y)$ и $(x-y)$.
$\frac{\cancel{x + 11y}}{\cancel{(x-y)}(x+y)} \cdot \frac{\cancel{x-y}}{\cancel{x+11y}} = \frac{1}{x+y}$.
Ответ: $\frac{1}{x+y}$.
б) $(a - \frac{a^2}{a+1}) \cdot \frac{a^2-1}{a^2+2a}$
1. Упростим выражение в скобках. Представим $a$ как дробь со знаменателем $a+1$.
$a - \frac{a^2}{a+1} = \frac{a(a+1)}{a+1} - \frac{a^2}{a+1} = \frac{a(a+1) - a^2}{a+1} = \frac{a^2+a-a^2}{a+1} = \frac{a}{a+1}$.
2. Разложим на множители числитель и знаменатель второй дроби. Числитель $a^2-1$ - это разность квадратов, а в знаменателе $a^2+2a$ можно вынести общий множитель $a$.
$\frac{a^2-1}{a^2+2a} = \frac{(a-1)(a+1)}{a(a+2)}$.
3. Выполним умножение полученных выражений.
$\frac{a}{a+1} \cdot \frac{(a-1)(a+1)}{a(a+2)}$.
4. Сократим одинаковые множители $a$ и $(a+1)$.
$\frac{\cancel{a}}{\cancel{a+1}} \cdot \frac{(a-1)(\cancel{a+1})}{\cancel{a}(a+2)} = \frac{a-1}{a+2}$.
Ответ: $\frac{a-1}{a+2}$.
в) $(\frac{x-2y}{xy} + \frac{1}{x}) \cdot \frac{x^2y^2}{x-y}$
1. Выполним сложение в скобках. Общий знаменатель $xy$.
$\frac{x-2y}{xy} + \frac{1}{x} = \frac{x-2y}{xy} + \frac{1 \cdot y}{x \cdot y} = \frac{x-2y+y}{xy} = \frac{x-y}{xy}$.
2. Умножим полученную дробь на вторую дробь.
$\frac{x-y}{xy} \cdot \frac{x^2y^2}{x-y}$.
3. Сократим одинаковый множитель $(x-y)$ и дробь $\frac{x^2y^2}{xy}$.
$\frac{\cancel{x-y}}{xy} \cdot \frac{x^2y^2}{\cancel{x-y}} = \frac{x^2y^2}{xy} = xy$.
Ответ: $xy$.
г) $\frac{cd-d^2}{c^2+d^2} \cdot (\frac{c}{c+d} + \frac{d}{c-d})$
1. Упростим выражение в скобках. Общий знаменатель $(c+d)(c-d) = c^2-d^2$.
$\frac{c}{c+d} + \frac{d}{c-d} = \frac{c(c-d) + d(c+d)}{(c+d)(c-d)} = \frac{c^2-cd+cd+d^2}{c^2-d^2} = \frac{c^2+d^2}{c^2-d^2}$.
2. Разложим на множители числитель первой дроби: $cd-d^2 = d(c-d)$.
3. Выполним умножение.
$\frac{d(c-d)}{c^2+d^2} \cdot \frac{c^2+d^2}{c^2-d^2}$.
4. Сократим множитель $(c^2+d^2)$ и разложим знаменатель $c^2-d^2$ по формуле разности квадратов.
$\frac{d(c-d)}{\cancel{c^2+d^2}} \cdot \frac{\cancel{c^2+d^2}}{c^2-d^2} = \frac{d(c-d)}{(c-d)(c+d)}$.
5. Сократим множитель $(c-d)$.
$\frac{d\cancel{(c-d)}}{\cancel{(c-d)}(c+d)} = \frac{d}{c+d}$.
Ответ: $\frac{d}{c+d}$.
Другие задания:
Помогло решение? Оставьте отзыв в комментариях ниже.
Присоединяйтесь к Телеграм-группе @top_gdz
ПрисоединитьсяМы подготовили для вас ответ c подробным объяснением домашего задания по алгебре за 8 класс, для упражнения номер 6.5 расположенного на странице 44 для 2-й части к учебнику 2019 года издания для учащихся школ и гимназий.
Теперь на нашем сайте ГДЗ.ТОП вы всегда легко и бесплатно найдёте условие с правильным ответом на вопрос «Как решить ДЗ» и «Как сделать» задание по алгебре к упражнению №6.5 (с. 44), авторов: Мордкович (Александр Григорьевич), Александрова (Лилия Александровна), Мишустина (Татьяна Николаевна), Тульчинская (Елена Ефимовна), Семенов (Павел Владимирович), 2-й части учебного пособия издательства Мнемозина.