Номер 6.12, страница 45, часть 2 - гдз по алгебре 8 класс учебник Мордкович, Александрова

Авторы: Мордкович А. Г., Александрова Л. А., Мишустина Т. Н., Тульчинская Е. Е., Семенов П. В.
Тип: Учебник
Издательство: Мнемозина
Год издания: 2019 - 2025
Часть: 2
Цвет обложки:
Допущено Министерством просвещения Российской Федерации
Популярные ГДЗ в 8 классе
Параграф 6. Преобразование рациональных выражений. Глава 1. Алгебраические дроби. Часть 2 - номер 6.12, страница 45.
№6.12 (с. 45)
Условие. №6.12 (с. 45)
скриншот условия

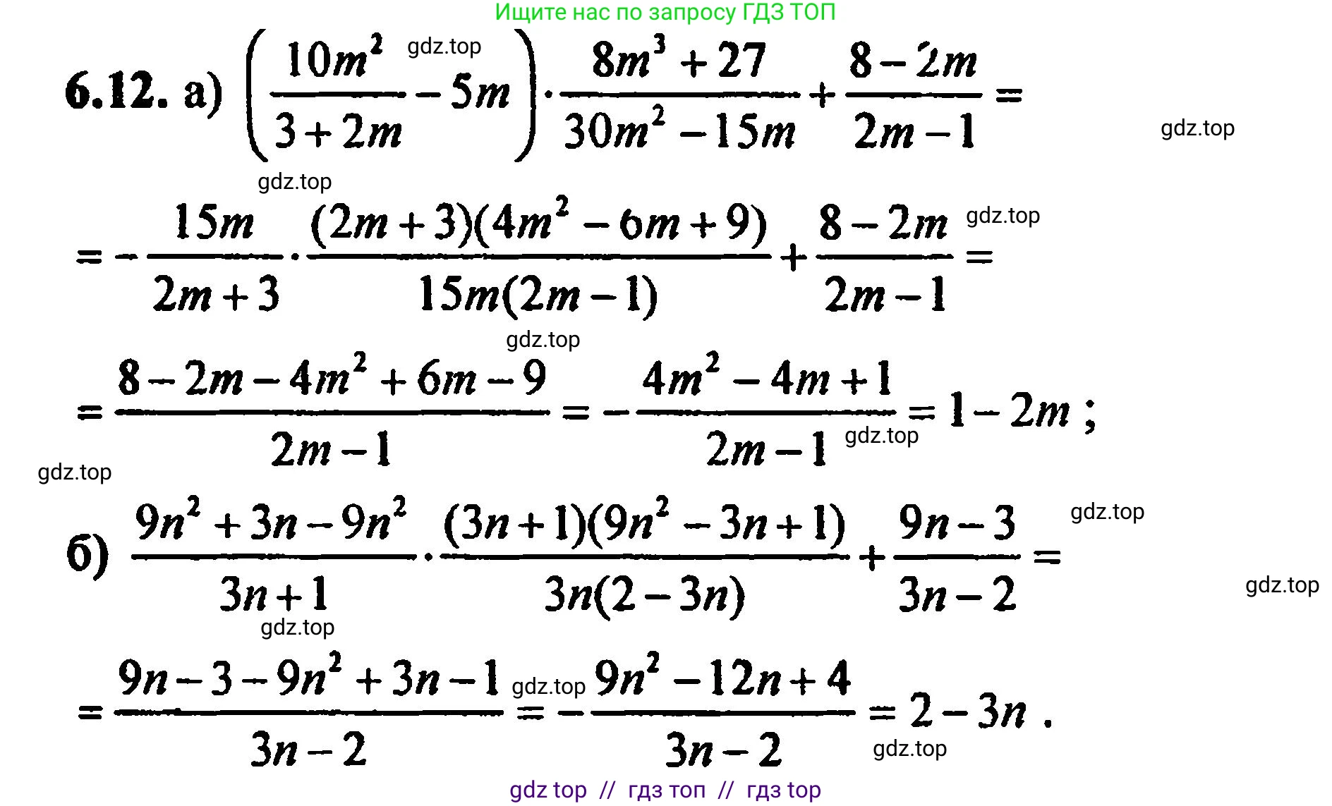
6.12 а) $\left(\frac{10m^2}{3 + 2m} - 5\right) : \frac{30m^2 - 15m}{8m^3 + 27} + \frac{8 - 2m}{2m - 1},$
б) $\left(3n - \frac{9n^2}{3n + 1}\right) \cdot \frac{27n^3 + 1}{6n - 9n^2} + \frac{9n - 3}{3n - 2}.$
Решение 1. №6.12 (с. 45)


Решение 2. №6.12 (с. 45)

Решение 4. №6.12 (с. 45)

Решение 6. №6.12 (с. 45)
a)
Выполним решение по действиям. Отметим, что в исходном выражении $(\frac{10m^2}{3+2m} - 5) : \frac{30m^2 - 15m}{8m^3 + 27} + \frac{8-2m}{2m-1}$ первое действие в скобках приводит к громоздкому выражению, которое не сокращается далее. Это указывает на вероятную опечатку в условии. Если предположить, что вместо `-5` должно быть `-5m`, то выражение красиво упрощается. Решим задачу с этой поправкой.
1. Упростим выражение в скобках, приняв его за $(\frac{10m^2}{3+2m} - 5m)$:
$\frac{10m^2}{3+2m} - 5m = \frac{10m^2 - 5m(3+2m)}{3+2m} = \frac{10m^2 - 15m - 10m^2}{3+2m} = \frac{-15m}{2m+3}$
2. Выполним деление. Для этого преобразуем делитель, разложив его числитель и знаменатель на множители.
Числитель: $30m^2 - 15m = 15m(2m-1)$.
Знаменатель (сумма кубов): $8m^3 + 27 = (2m)^3 + 3^3 = (2m+3)(4m^2 - 6m + 9)$.
Теперь выполним деление, заменив его умножением на обратную дробь:
$\frac{-15m}{2m+3} : \frac{15m(2m-1)}{(2m+3)(4m^2 - 6m + 9)} = \frac{-15m}{2m+3} \cdot \frac{(2m+3)(4m^2 - 6m + 9)}{15m(2m-1)}$
Сократим общие множители $15m$ и $(2m+3)$:
$= \frac{-1 \cdot (4m^2 - 6m + 9)}{2m-1} = \frac{-4m^2 + 6m - 9}{2m-1}$
3. Выполним сложение с последним членом выражения:
$\frac{-4m^2 + 6m - 9}{2m-1} + \frac{8-2m}{2m-1}$
Так как знаменатели одинаковы, сложим числители:
$\frac{-4m^2 + 6m - 9 + 8 - 2m}{2m-1} = \frac{-4m^2 + 4m - 1}{2m-1}$
4. Упростим полученную дробь. Вынесем знак минус из числителя:
$\frac{-(4m^2 - 4m + 1)}{2m-1}$
Выражение в скобках является полным квадратом разности: $(2m-1)^2$.
$\frac{-(2m-1)^2}{2m-1} = -(2m-1) = 1-2m$
Ответ: $1-2m$
б)
Выполним решение по действиям для выражения $(\ 3n - \frac{9n^2}{3n+1}) \cdot \frac{27n^3 + 1}{6n - 9n^2} + \frac{9n-3}{3n-2}$.
1. Упростим выражение в скобках:
$3n - \frac{9n^2}{3n+1} = \frac{3n(3n+1) - 9n^2}{3n+1} = \frac{9n^2 + 3n - 9n^2}{3n+1} = \frac{3n}{3n+1}$
2. Выполним умножение. Для этого разложим на множители числитель и знаменатель второй дроби.
Числитель (сумма кубов): $27n^3 + 1 = (3n)^3 + 1^3 = (3n+1)(9n^2 - 3n + 1)$.
Знаменатель: $6n - 9n^2 = 3n(2-3n)$.
Выполним умножение:
$\frac{3n}{3n+1} \cdot \frac{(3n+1)(9n^2 - 3n + 1)}{3n(2-3n)}$
Сократим общие множители $3n$ и $(3n+1)$:
$= \frac{9n^2 - 3n + 1}{2-3n}$
3. Выполним сложение:
$\frac{9n^2 - 3n + 1}{2-3n} + \frac{9n-3}{3n-2}$
Чтобы привести дроби к общему знаменателю, заметим, что $2-3n = -(3n-2)$.
$\frac{9n^2 - 3n + 1}{-(3n-2)} + \frac{9n-3}{3n-2} = \frac{-(9n^2 - 3n + 1)}{3n-2} + \frac{9n-3}{3n-2}$
Теперь сложим числители:
$\frac{-9n^2 + 3n - 1 + 9n - 3}{3n-2} = \frac{-9n^2 + 12n - 4}{3n-2}$
4. Упростим полученное выражение. Вынесем знак минус из числителя:
$\frac{-(9n^2 - 12n + 4)}{3n-2}$
Выражение в скобках является полным квадратом разности: $(3n-2)^2$.
$\frac{-(3n-2)^2}{3n-2} = -(3n-2) = 2-3n$
Ответ: $2-3n$
Другие задания:
Помогло решение? Оставьте отзыв в комментариях ниже.
Присоединяйтесь к Телеграм-группе @top_gdz
ПрисоединитьсяМы подготовили для вас ответ c подробным объяснением домашего задания по алгебре за 8 класс, для упражнения номер 6.12 расположенного на странице 45 для 2-й части к учебнику 2019 года издания для учащихся школ и гимназий.
Теперь на нашем сайте ГДЗ.ТОП вы всегда легко и бесплатно найдёте условие с правильным ответом на вопрос «Как решить ДЗ» и «Как сделать» задание по алгебре к упражнению №6.12 (с. 45), авторов: Мордкович (Александр Григорьевич), Александрова (Лилия Александровна), Мишустина (Татьяна Николаевна), Тульчинская (Елена Ефимовна), Семенов (Павел Владимирович), 2-й части учебного пособия издательства Мнемозина.