Номер 6.10, страница 45, часть 2 - гдз по алгебре 8 класс учебник Мордкович, Александрова

Авторы: Мордкович А. Г., Александрова Л. А., Мишустина Т. Н., Тульчинская Е. Е., Семенов П. В.
Тип: Учебник
Издательство: Мнемозина
Год издания: 2019 - 2025
Часть: 2
Цвет обложки:
Допущено Министерством просвещения Российской Федерации
Популярные ГДЗ в 8 классе
Параграф 6. Преобразование рациональных выражений. Глава 1. Алгебраические дроби. Часть 2 - номер 6.10, страница 45.
№6.10 (с. 45)
Условие. №6.10 (с. 45)
скриншот условия

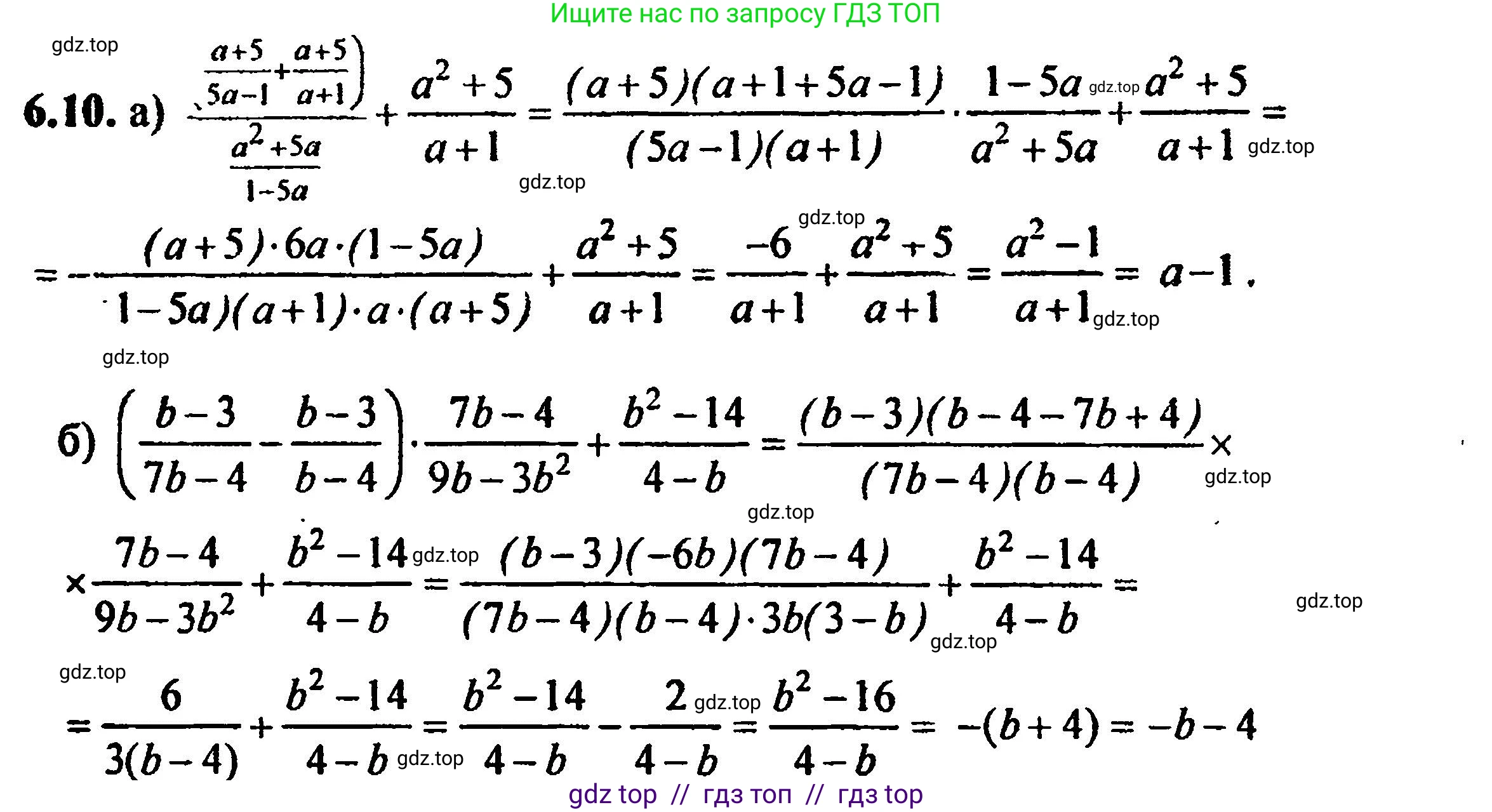
6.10 a) $ \left( \frac{a + 5}{5a - 1} + \frac{a + 5}{a + 1} \right) : \frac{a^2 + 5a}{1 - 5a} + \frac{a^2 + 5}{a + 1} = a - 1; $
б) $ \left( \frac{b - 3}{7b - 4} - \frac{b - 3}{b - 4} \right) \cdot \frac{7b - 4}{9b - 3b^2} + \frac{b^2 - 14}{4 - b} = -b - 4. $
Решение 1. №6.10 (с. 45)


Решение 2. №6.10 (с. 45)

Решение 4. №6.10 (с. 45)


Решение 6. №6.10 (с. 45)
а) Чтобы доказать данное тождество, преобразуем его левую часть и покажем, что она равна правой.
Сначала определим область допустимых значений (ОДЗ). Знаменатели дробей и делитель не могут быть равны нулю:
$5a-1 \neq 0 \implies a \neq \frac{1}{5}$
$a+1 \neq 0 \implies a \neq -1$
$a^2+5a \neq 0 \implies a(a+5) \neq 0 \implies a \neq 0$ и $a \neq -5$.
1. Выполним действие в скобках. Вынесем общий множитель $(a+5)$ и приведем дроби к общему знаменателю:
$(\frac{a+5}{5a-1} + \frac{a+5}{a+1}) = (a+5) \cdot (\frac{1}{5a-1} + \frac{1}{a+1}) = (a+5) \cdot \frac{(a+1) + (5a-1)}{(5a-1)(a+1)} = (a+5) \cdot \frac{6a}{(5a-1)(a+1)} = \frac{6a(a+5)}{(5a-1)(a+1)}$.
2. Выполним деление. Заменим деление на умножение на обратную дробь и предварительно преобразуем делитель: $\frac{a^2+5a}{1-5a} = \frac{a(a+5)}{-(5a-1)}$.
$\frac{6a(a+5)}{(5a-1)(a+1)} : \frac{a(a+5)}{-(5a-1)} = \frac{6a(a+5)}{(5a-1)(a+1)} \cdot \frac{-(5a-1)}{a(a+5)}$.
Сокращаем общие множители $a$, $(a+5)$ и $(5a-1)$ (с учетом ОДЗ):
$\frac{6\cancel{a}(\cancel{a+5})}{(\cancel{5a-1})(a+1)} \cdot \frac{-(\cancel{5a-1})}{\cancel{a}(\cancel{a+5})} = \frac{6}{a+1} \cdot (-1) = -\frac{6}{a+1}$.
3. К результату прибавим оставшееся слагаемое:
$-\frac{6}{a+1} + \frac{a^2+5}{a+1} = \frac{-6 + a^2+5}{a+1} = \frac{a^2-1}{a+1}$.
4. Упростим полученное выражение, применив в числителе формулу разности квадратов:
$\frac{a^2-1}{a+1} = \frac{(a-1)(a+1)}{a+1} = a-1$.
В результате преобразований левая часть оказалась равна $a-1$, что совпадает с правой частью.
Ответ: тождество доказано.
б) Докажем тождество, преобразовав его левую часть.
Определим область допустимых значений (ОДЗ):
$7b-4 \neq 0 \implies b \neq \frac{4}{7}$
$b-4 \neq 0 \implies b \neq 4$
$9b-3b^2 \neq 0 \implies 3b(3-b) \neq 0 \implies b \neq 0$ и $b \neq 3$.
$4-b \neq 0 \implies b \neq 4$.
1. Выполним действие в скобках. Вынесем общий множитель $(b-3)$:
$(\frac{b-3}{7b-4} - \frac{b-3}{b-4}) = (b-3) \cdot (\frac{1}{7b-4} - \frac{1}{b-4}) = (b-3) \cdot \frac{(b-4)-(7b-4)}{(7b-4)(b-4)} = (b-3) \cdot \frac{b-4-7b+4}{(7b-4)(b-4)} = (b-3) \cdot \frac{-6b}{(7b-4)(b-4)} = \frac{-6b(b-3)}{(7b-4)(b-4)}$.
2. Выполним умножение. Предварительно разложим знаменатель второй дроби на множители: $9b-3b^2 = 3b(3-b) = -3b(b-3)$.
$\frac{-6b(b-3)}{(7b-4)(b-4)} \cdot \frac{7b-4}{-3b(b-3)}$.
Сокращаем общие множители $b$, $(b-3)$ и $(7b-4)$ (с учетом ОДЗ):
$\frac{-6\cancel{b}(\cancel{b-3})}{(\cancel{7b-4})(b-4)} \cdot \frac{\cancel{7b-4}}{-3\cancel{b}(\cancel{b-3})} = \frac{-6}{-3(b-4)} = \frac{2}{b-4}$.
3. К результату прибавим оставшееся слагаемое. Заметим, что $4-b = -(b-4)$:
$\frac{2}{b-4} + \frac{b^2-14}{4-b} = \frac{2}{b-4} - \frac{b^2-14}{b-4} = \frac{2-(b^2-14)}{b-4} = \frac{2-b^2+14}{b-4} = \frac{16-b^2}{b-4}$.
4. Упростим полученное выражение, применив в числителе формулу разности квадратов:
$\frac{16-b^2}{b-4} = \frac{(4-b)(4+b)}{b-4} = \frac{-(b-4)(b+4)}{b-4} = -(b+4) = -b-4$.
В результате преобразований левая часть оказалась равна $-b-4$, что совпадает с правой частью.
Ответ: тождество доказано.
Другие задания:
Помогло решение? Оставьте отзыв в комментариях ниже.
Присоединяйтесь к Телеграм-группе @top_gdz
ПрисоединитьсяМы подготовили для вас ответ c подробным объяснением домашего задания по алгебре за 8 класс, для упражнения номер 6.10 расположенного на странице 45 для 2-й части к учебнику 2019 года издания для учащихся школ и гимназий.
Теперь на нашем сайте ГДЗ.ТОП вы всегда легко и бесплатно найдёте условие с правильным ответом на вопрос «Как решить ДЗ» и «Как сделать» задание по алгебре к упражнению №6.10 (с. 45), авторов: Мордкович (Александр Григорьевич), Александрова (Лилия Александровна), Мишустина (Татьяна Николаевна), Тульчинская (Елена Ефимовна), Семенов (Павел Владимирович), 2-й части учебного пособия издательства Мнемозина.