Номер 6.7, страница 44, часть 2 - гдз по алгебре 8 класс учебник Мордкович, Александрова

Авторы: Мордкович А. Г., Александрова Л. А., Мишустина Т. Н., Тульчинская Е. Е., Семенов П. В.
Тип: Учебник
Издательство: Мнемозина
Год издания: 2019 - 2025
Часть: 2
Цвет обложки:
Допущено Министерством просвещения Российской Федерации
Популярные ГДЗ в 8 классе
Параграф 6. Преобразование рациональных выражений. Глава 1. Алгебраические дроби. Часть 2 - номер 6.7, страница 44.
№6.7 (с. 44)
Условие. №6.7 (с. 44)
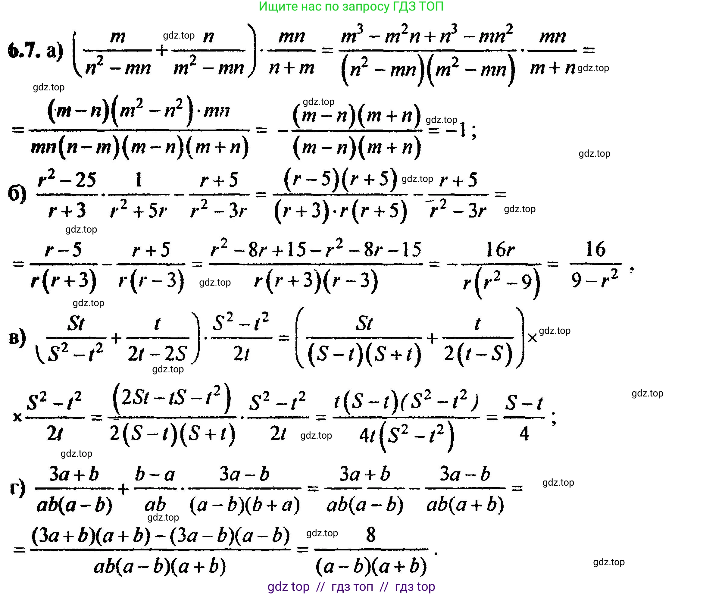
скриншот условия

6.7 a) $(\frac{m}{n^2 - mn} + \frac{n}{m^2 - mn}) \cdot \frac{mn}{n + m};$
б) $\frac{r^2 - 25}{r + 3} \cdot \frac{1}{r^2 + 5r} - \frac{r + 5}{r^2 - 3r};$
в) $(\frac{st}{s^2 - t^2} + \frac{t}{2t - 2s}) \cdot \frac{s + t}{2t};$
г) $\frac{3a + b}{a^2b - ab^2} + \frac{b - a}{ab} : \frac{a^2 - b^2}{3a - b}.$
Решение 1. №6.7 (с. 44)




Решение 2. №6.7 (с. 44)

Решение 4. №6.7 (с. 44)

Решение 6. №6.7 (с. 44)
а) Сначала упростим выражение в скобках, приведя дроби к общему знаменателю.
1. Разложим знаменатели на множители:
$n^2 - mn = n(n-m)$
$m^2 - mn = m(m-n) = -m(n-m)$
2. Выражение в скобках принимает вид:
$\frac{m}{n(n-m)} + \frac{n}{-m(n-m)} = \frac{m}{n(n-m)} - \frac{n}{m(n-m)}$
3. Общий знаменатель для дробей в скобках равен $mn(n-m)$. Приводим дроби к нему:
$\frac{m \cdot m}{mn(n-m)} - \frac{n \cdot n}{mn(n-m)} = \frac{m^2 - n^2}{mn(n-m)}$
4. Разложим числитель по формуле разности квадратов $m^2 - n^2 = (m-n)(m+n)$:
$\frac{(m-n)(m+n)}{mn(n-m)} = \frac{-(n-m)(m+n)}{mn(n-m)} = -\frac{m+n}{mn}$
5. Теперь выполним умножение:
$(-\frac{m+n}{mn}) \cdot \frac{mn}{n+m} = -1$
Ответ: $-1$
б) Выполним действия по порядку: сначала умножение, затем вычитание.
1. Разложим знаменатели и числители на множители:
$r^2-25 = (r-5)(r+5)$
$r^2+5r = r(r+5)$
$r^2-3r = r(r-3)$
2. Подставим разложенные выражения и выполним умножение:
$\frac{r^2-25}{r+3} \cdot \frac{1}{r^2+5r} = \frac{(r-5)(r+5)}{r+3} \cdot \frac{1}{r(r+5)} = \frac{r-5}{r(r+3)}$
3. Теперь выполним вычитание:
$\frac{r-5}{r(r+3)} - \frac{r+5}{r(r-3)}$
4. Общий знаменатель $r(r+3)(r-3)$. Приводим дроби к нему:
$\frac{(r-5)(r-3)}{r(r+3)(r-3)} - \frac{(r+5)(r+3)}{r(r+3)(r-3)} = \frac{(r^2-3r-5r+15) - (r^2+3r+5r+15)}{r(r^2-9)}$
5. Упростим числитель:
$\frac{r^2-8r+15 - (r^2+8r+15)}{r(r^2-9)} = \frac{r^2-8r+15 - r^2-8r-15}{r(r^2-9)} = \frac{-16r}{r(r^2-9)}$
6. Сократим дробь:
$\frac{-16r}{r(r^2-9)} = -\frac{16}{r^2-9}$
Ответ: $-\frac{16}{r^2-9}$
в) Сначала выполним действие в скобках, затем умножение.
1. Разложим знаменатели в скобках на множители:
$s^2-t^2 = (s-t)(s+t)$
$2t-2s = 2(t-s) = -2(s-t)$
2. Выражение в скобках примет вид:
$\frac{st}{(s-t)(s+t)} + \frac{t}{-2(s-t)} = \frac{st}{(s-t)(s+t)} - \frac{t}{2(s-t)}$
3. Общий знаменатель $2(s-t)(s+t)$. Приведем дроби к нему:
$\frac{2st}{2(s-t)(s+t)} - \frac{t(s+t)}{2(s-t)(s+t)} = \frac{2st - ts - t^2}{2(s-t)(s+t)} = \frac{st-t^2}{2(s-t)(s+t)}$
4. Вынесем общий множитель в числителе:
$\frac{t(s-t)}{2(s-t)(s+t)} = \frac{t}{2(s+t)}$
5. Теперь выполним умножение:
$\frac{t}{2(s+t)} \cdot \frac{s+t}{2t} = \frac{t(s+t)}{4t(s+t)} = \frac{1}{4}$
Ответ: $\frac{1}{4}$
г) Порядок действий: сначала деление, затем сложение.
1. Выполним деление, заменив его умножением на обратную дробь:
$\frac{b-a}{ab} : \frac{a^2-b^2}{3a-b} = \frac{b-a}{ab} \cdot \frac{3a-b}{a^2-b^2}$
2. Разложим выражения на множители:
$b-a = -(a-b)$
$a^2-b^2 = (a-b)(a+b)$
3. Подставим и сократим:
$\frac{-(a-b)}{ab} \cdot \frac{3a-b}{(a-b)(a+b)} = -\frac{3a-b}{ab(a+b)}$
4. Теперь выполним сложение с первой дробью. Разложим ее знаменатель: $a^2b - ab^2 = ab(a-b)$.
$\frac{3a+b}{ab(a-b)} + (-\frac{3a-b}{ab(a+b)}) = \frac{3a+b}{ab(a-b)} - \frac{3a-b}{ab(a+b)}$
5. Общий знаменатель $ab(a-b)(a+b) = ab(a^2-b^2)$. Приводим дроби к нему:
$\frac{(3a+b)(a+b)}{ab(a^2-b^2)} - \frac{(3a-b)(a-b)}{ab(a^2-b^2)}$
6. Раскроем скобки в числителе:
$\frac{(3a^2+3ab+ab+b^2) - (3a^2-3ab-ab+b^2)}{ab(a^2-b^2)} = \frac{(3a^2+4ab+b^2) - (3a^2-4ab+b^2)}{ab(a^2-b^2)}$
7. Упростим числитель:
$\frac{3a^2+4ab+b^2 - 3a^2+4ab-b^2}{ab(a^2-b^2)} = \frac{8ab}{ab(a^2-b^2)}$
8. Сократим дробь:
$\frac{8}{a^2-b^2}$
Ответ: $\frac{8}{a^2-b^2}$
Другие задания:
Помогло решение? Оставьте отзыв в комментариях ниже.
Присоединяйтесь к Телеграм-группе @top_gdz
ПрисоединитьсяМы подготовили для вас ответ c подробным объяснением домашего задания по алгебре за 8 класс, для упражнения номер 6.7 расположенного на странице 44 для 2-й части к учебнику 2019 года издания для учащихся школ и гимназий.
Теперь на нашем сайте ГДЗ.ТОП вы всегда легко и бесплатно найдёте условие с правильным ответом на вопрос «Как решить ДЗ» и «Как сделать» задание по алгебре к упражнению №6.7 (с. 44), авторов: Мордкович (Александр Григорьевич), Александрова (Лилия Александровна), Мишустина (Татьяна Николаевна), Тульчинская (Елена Ефимовна), Семенов (Павел Владимирович), 2-й части учебного пособия издательства Мнемозина.