Номер 6.1, страница 43, часть 2 - гдз по алгебре 8 класс учебник Мордкович, Александрова

Авторы: Мордкович А. Г., Александрова Л. А., Мишустина Т. Н., Тульчинская Е. Е., Семенов П. В.
Тип: Учебник
Издательство: Мнемозина
Год издания: 2019 - 2025
Часть: 2
Цвет обложки:
Допущено Министерством просвещения Российской Федерации
Популярные ГДЗ в 8 классе
Параграф 6. Преобразование рациональных выражений. Глава 1. Алгебраические дроби. Часть 2 - номер 6.1, страница 43.
№6.1 (с. 43)
Условие. №6.1 (с. 43)
скриншот условия

Упростите выражение:
6.1 а) $(\frac{c}{2} + \frac{c}{3}) \cdot \frac{1}{c^2};$
б) $(\frac{2x}{y^2} - \frac{1}{2x}) : (\frac{1}{y} + \frac{1}{2x});$
в) $\frac{d^2}{3} \cdot (\frac{d}{2} + \frac{2}{d^2});$
г) $(\frac{a}{b^2} - \frac{1}{a}) : (\frac{1}{b} + \frac{1}{a}).$
Решение 1. №6.1 (с. 43)




Решение 2. №6.1 (с. 43)

Решение 4. №6.1 (с. 43)

Решение 6. №6.1 (с. 43)
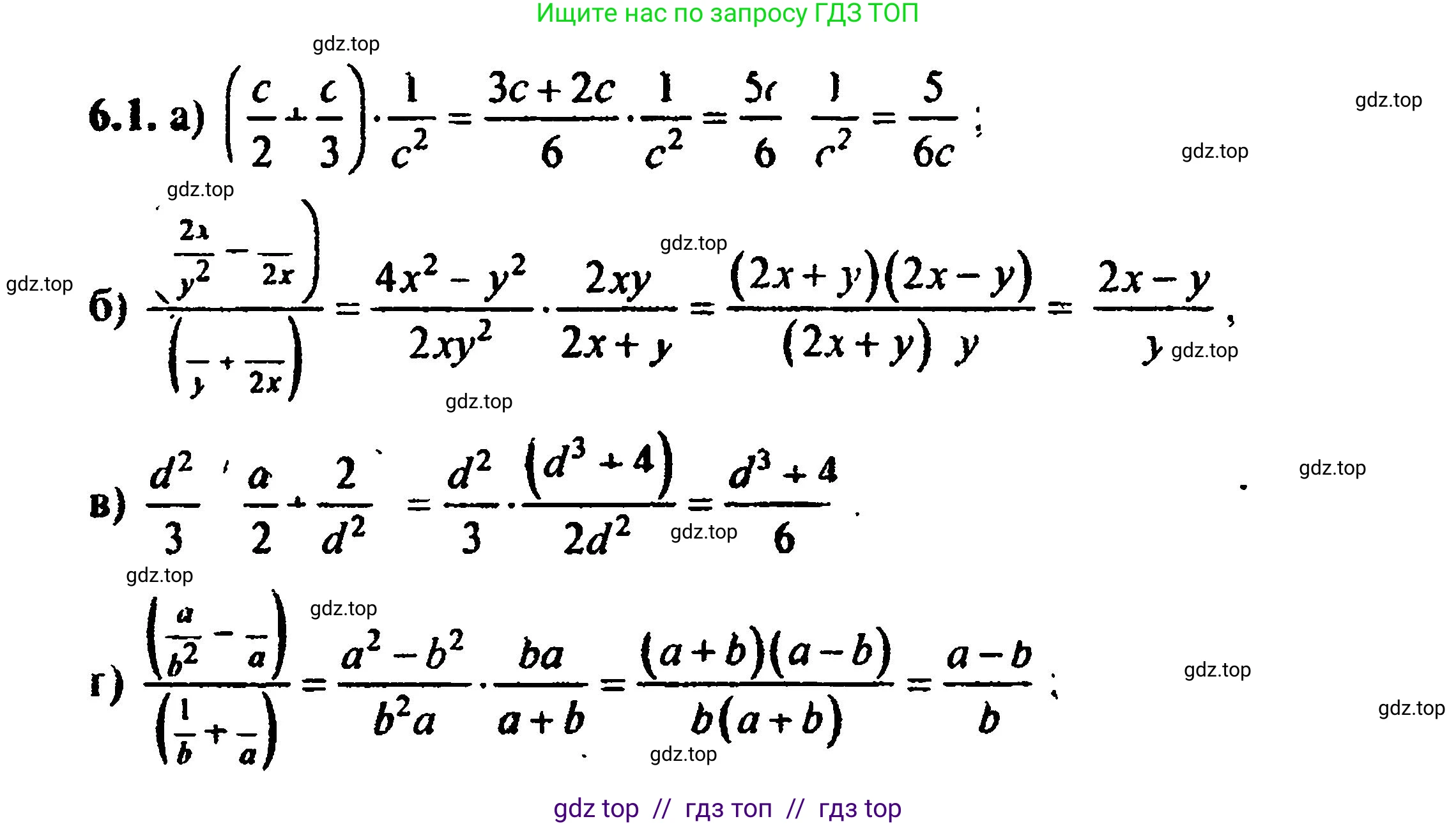
а) Сначала выполним сложение в скобках, приведя дроби к общему знаменателю. Общий знаменатель для дробей $\frac{c}{2}$ и $\frac{c}{3}$ равен 6.
$(\frac{c}{2} + \frac{c}{3}) = \frac{c \cdot 3}{2 \cdot 3} + \frac{c \cdot 2}{3 \cdot 2} = \frac{3c}{6} + \frac{2c}{6} = \frac{3c+2c}{6} = \frac{5c}{6}$.
Теперь умножим полученный результат на $\frac{1}{c^2}$:
$\frac{5c}{6} \cdot \frac{1}{c^2} = \frac{5c \cdot 1}{6 \cdot c^2} = \frac{5c}{6c^2}$.
Сократим дробь на $c$ (при условии, что $c \ne 0$):
$\frac{5}{6c}$.
Ответ: $\frac{5}{6c}$.
б) Упростим поочередно выражения в каждой из скобок.
1. Выражение в первых скобках: $(\frac{2x}{y^2} - \frac{1}{2x})$. Приводим к общему знаменателю $2xy^2$:
$\frac{2x \cdot 2x}{y^2 \cdot 2x} - \frac{1 \cdot y^2}{2x \cdot y^2} = \frac{4x^2 - y^2}{2xy^2}$.
Числитель является разностью квадратов: $4x^2 - y^2 = (2x-y)(2x+y)$. Таким образом, выражение в первых скобках равно $\frac{(2x-y)(2x+y)}{2xy^2}$.
2. Выражение во вторых скобках: $(\frac{1}{y} + \frac{1}{2x})$. Приводим к общему знаменателю $2xy$:
$\frac{1 \cdot 2x}{y \cdot 2x} + \frac{1 \cdot y}{2x \cdot y} = \frac{2x+y}{2xy}$.
3. Теперь выполним деление. Деление на дробь равносильно умножению на обратную ей дробь:
$\frac{(2x-y)(2x+y)}{2xy^2} : \frac{2x+y}{2xy} = \frac{(2x-y)(2x+y)}{2xy^2} \cdot \frac{2xy}{2x+y}$.
Сокращаем одинаковые множители $(2x+y)$, $2x$ и $y$ в числителе и знаменателе (при условии, что $x \ne 0, y \ne 0, 2x+y \ne 0$):
$\frac{(2x-y)\cancel{(2x+y)}}{\cancel{2x}y \cdot y} \cdot \frac{\cancel{2xy}}{\cancel{2x+y}} = \frac{2x-y}{y}$.
Ответ: $\frac{2x-y}{y}$.
в) Раскроем скобки, используя распределительный закон умножения: умножим $\frac{d^2}{3}$ на каждый член в скобках.
$\frac{d^2}{3} \cdot (\frac{d}{2} + \frac{2}{d^2}) = \frac{d^2}{3} \cdot \frac{d}{2} + \frac{d^2}{3} \cdot \frac{2}{d^2}$.
Упростим каждое из полученных слагаемых:
Первое слагаемое: $\frac{d^2 \cdot d}{3 \cdot 2} = \frac{d^3}{6}$.
Второе слагаемое: $\frac{d^2 \cdot 2}{3 \cdot d^2}$. Сокращаем на $d^2$ (при $d \ne 0$), получаем $\frac{2}{3}$.
Теперь сложим полученные выражения:
$\frac{d^3}{6} + \frac{2}{3}$.
Приведем дроби к общему знаменателю 6:
$\frac{d^3}{6} + \frac{2 \cdot 2}{3 \cdot 2} = \frac{d^3}{6} + \frac{4}{6} = \frac{d^3+4}{6}$.
Ответ: $\frac{d^3+4}{6}$.
г) Упростим выражения в каждой из скобок, а затем выполним деление.
1. Первые скобки: $(\frac{a}{b^2} - \frac{1}{a})$. Общий знаменатель $ab^2$.
$\frac{a \cdot a}{b^2 \cdot a} - \frac{1 \cdot b^2}{a \cdot b^2} = \frac{a^2 - b^2}{ab^2}$.
Числитель $a^2 - b^2$ является разностью квадратов, которую можно разложить на множители: $(a-b)(a+b)$. Таким образом, получаем: $\frac{(a-b)(a+b)}{ab^2}$.
2. Вторые скобки: $(\frac{1}{b} + \frac{1}{a})$. Общий знаменатель $ab$.
$\frac{1 \cdot a}{b \cdot a} + \frac{1 \cdot b}{a \cdot b} = \frac{a+b}{ab}$.
3. Выполним деление, заменив его умножением на обратную дробь:
$\frac{(a-b)(a+b)}{ab^2} : \frac{a+b}{ab} = \frac{(a-b)(a+b)}{ab^2} \cdot \frac{ab}{a+b}$.
Сократим одинаковые множители $(a+b)$, $a$ и $b$ (при условии, что $a \ne 0, b \ne 0, a+b \ne 0$):
$\frac{(a-b)\cancel{(a+b)}}{\cancel{a}b \cdot b} \cdot \frac{\cancel{ab}}{\cancel{a+b}} = \frac{a-b}{b}$.
Ответ: $\frac{a-b}{b}$.
Другие задания:
Помогло решение? Оставьте отзыв в комментариях ниже.
Присоединяйтесь к Телеграм-группе @top_gdz
ПрисоединитьсяМы подготовили для вас ответ c подробным объяснением домашего задания по алгебре за 8 класс, для упражнения номер 6.1 расположенного на странице 43 для 2-й части к учебнику 2019 года издания для учащихся школ и гимназий.
Теперь на нашем сайте ГДЗ.ТОП вы всегда легко и бесплатно найдёте условие с правильным ответом на вопрос «Как решить ДЗ» и «Как сделать» задание по алгебре к упражнению №6.1 (с. 43), авторов: Мордкович (Александр Григорьевич), Александрова (Лилия Александровна), Мишустина (Татьяна Николаевна), Тульчинская (Елена Ефимовна), Семенов (Павел Владимирович), 2-й части учебного пособия издательства Мнемозина.