Номер 5.41, страница 42, часть 2 - гдз по алгебре 8 класс учебник Мордкович, Александрова

Авторы: Мордкович А. Г., Александрова Л. А., Мишустина Т. Н., Тульчинская Е. Е., Семенов П. В.
Тип: Учебник
Издательство: Мнемозина
Год издания: 2019 - 2025
Часть: 2
Цвет обложки:
Допущено Министерством просвещения Российской Федерации
Популярные ГДЗ в 8 классе
Параграф 5. Умножение и деление алгебраических дробей. Возведение алгебраической дроби в степень. Глава 1. Алгебраические дроби. Часть 2 - номер 5.41, страница 42.
№5.41 (с. 42)
Условие. №5.41 (с. 42)
скриншот условия

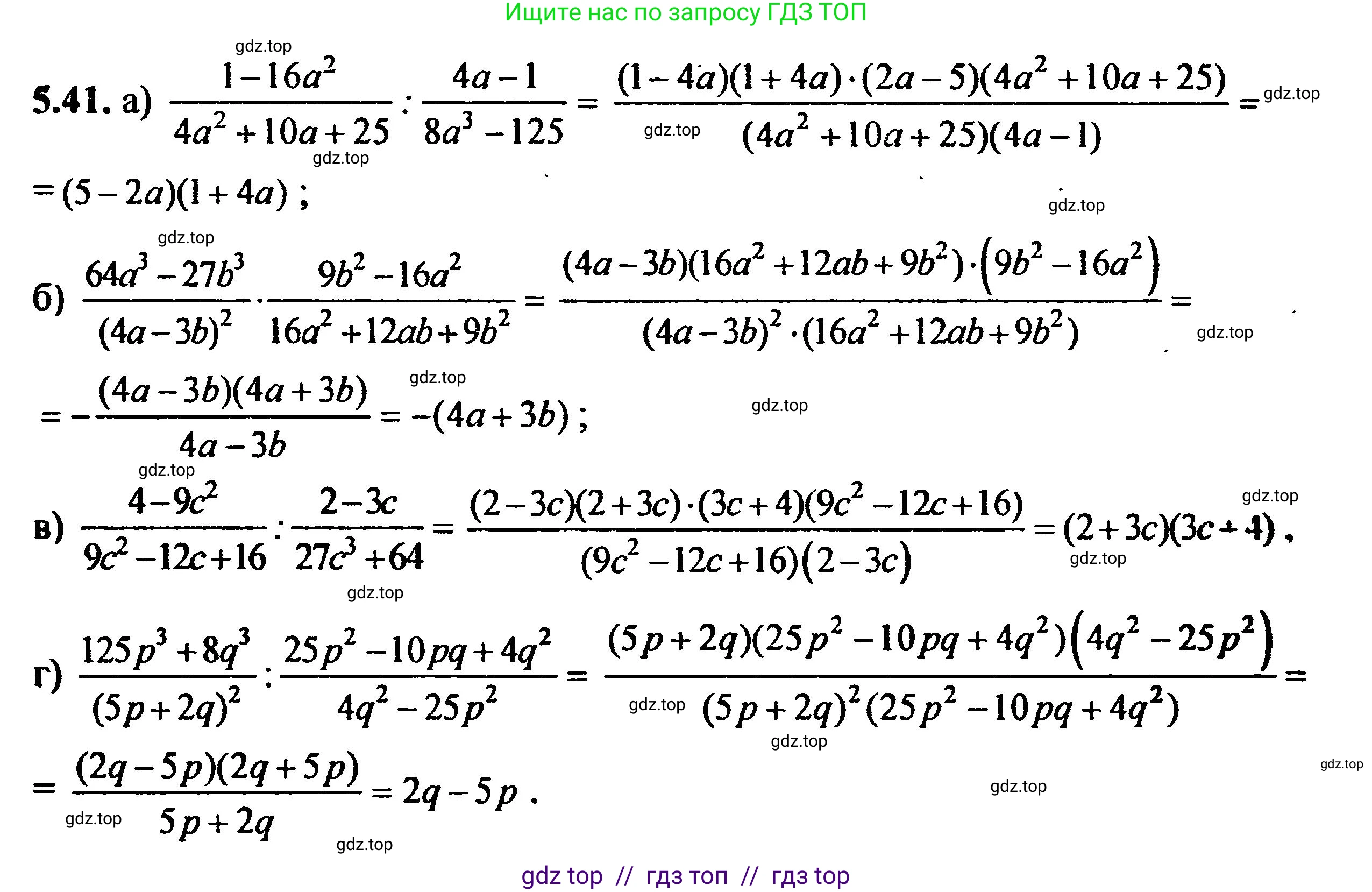
5.41 a) $\frac{1 - 16a^2}{4a^2 + 10a + 25} : \frac{4a - 1}{8a^3 - 125}$;
б) $\frac{64a^3 - 27b^3}{(4a - 3b)^2} : \frac{9b^2 - 16a^2}{16a^2 + 12ab + 9b^2}$;
в) $\frac{4 - 9c^2}{9c^2 - 12c + 16} : \frac{2 - 3c}{27c^3 + 64}$;
г) $\frac{125p^3 + 8q^3}{(5p + 2q)^2} : \frac{25p^2 - 10pq + 4q^2}{4q^2 - 25p^2}$.
Решение 1. №5.41 (с. 42)




Решение 2. №5.41 (с. 42)

Решение 4. №5.41 (с. 42)

Решение 6. №5.41 (с. 42)
а) Чтобы разделить одну дробь на другую, нужно первую дробь умножить на дробь, обратную второй. Затем разложим числители и знаменатели на множители, используя формулы сокращенного умножения: разность квадратов $x^2 - y^2 = (x-y)(x+y)$ и разность кубов $x^3 - y^3 = (x-y)(x^2+xy+y^2)$.
$\frac{1 - 16a^2}{4a^2 + 10a + 25} : \frac{4a - 1}{8a^3 - 125} = \frac{1 - 16a^2}{4a^2 + 10a + 25} \cdot \frac{8a^3 - 125}{4a - 1}$
Разложим на множители:
$1 - 16a^2 = (1-4a)(1+4a) = -(4a-1)(4a+1)$
$8a^3 - 125 = (2a)^3 - 5^3 = (2a-5)(4a^2+10a+25)$
Подставим разложенные многочлены в выражение и объединим в одну дробь:
$\frac{-(4a-1)(4a+1)}{4a^2+10a+25} \cdot \frac{(2a-5)(4a^2+10a+25)}{4a-1} = \frac{-(4a-1)(4a+1)(2a-5)(4a^2+10a+25)}{(4a^2+10a+25)(4a-1)}$
Сократим общие множители $(4a-1)$ и $(4a^2+10a+25)$:
$= -(4a+1)(2a-5) = (4a+1)(5-2a)$
Ответ: $(4a+1)(5-2a)$.
б) Разложим многочлены в числителях и знаменателях на множители, используя формулы разности кубов $x^3-y^3=(x-y)(x^2+xy+y^2)$ и разности квадратов $x^2-y^2=(x-y)(x+y)$.
$64a^3 - 27b^3 = (4a)^3 - (3b)^3 = (4a-3b)(16a^2+12ab+9b^2)$
$9b^2 - 16a^2 = (3b)^2 - (4a)^2 = (3b-4a)(3b+4a) = -(4a-3b)(4a+3b)$
Подставим разложенные многочлены в выражение и запишем в виде одной дроби:
$\frac{(4a-3b)(16a^2+12ab+9b^2)}{(4a - 3b)^2} \cdot \frac{-(4a-3b)(4a+3b)}{16a^2 + 12ab + 9b^2} = \frac{(4a-3b)(16a^2+12ab+9b^2) \cdot (-(4a-3b)(4a+3b))}{(4a-3b)^2(16a^2+12ab+9b^2)}$
В числителе имеем $(4a-3b) \cdot (-(4a-3b)) = -(4a-3b)^2$. Сократим общие множители $-(4a-3b)^2$ и $(16a^2+12ab+9b^2)$:
$= -(4a+3b)$
Ответ: $-(4a+3b)$.
в) Заменим деление на умножение на обратную дробь. Затем разложим на множители, используя формулы разности квадратов $x^2-y^2=(x-y)(x+y)$ и суммы кубов $x^3+y^3=(x+y)(x^2-xy+y^2)$.
$\frac{4 - 9c^2}{9c^2 - 12c + 16} : \frac{2 - 3c}{27c^3 + 64} = \frac{4 - 9c^2}{9c^2 - 12c + 16} \cdot \frac{27c^3 + 64}{2 - 3c}$
Разложим на множители:
$4 - 9c^2 = (2-3c)(2+3c)$
$27c^3 + 64 = (3c)^3 + 4^3 = (3c+4)(9c^2-12c+16)$
Подставим в выражение и объединим:
$\frac{(2-3c)(2+3c)}{9c^2 - 12c + 16} \cdot \frac{(3c+4)(9c^2-12c+16)}{2 - 3c} = \frac{(2-3c)(2+3c)(3c+4)(9c^2-12c+16)}{(9c^2 - 12c + 16)(2 - 3c)}$
Сократим общие множители $(2-3c)$ и $(9c^2 - 12c + 16)$:
$= (2+3c)(3c+4)$
Ответ: $(3c+2)(3c+4)$.
г) Заменим деление на умножение на обратную дробь. Применим формулы суммы кубов $x^3+y^3=(x+y)(x^2-xy+y^2)$ и разности квадратов $x^2-y^2=(x-y)(x+y)$.
$\frac{125p^3 + 8q^3}{(5p + 2q)^2} : \frac{25p^2 - 10pq + 4q^2}{4q^2 - 25p^2} = \frac{125p^3 + 8q^3}{(5p + 2q)^2} \cdot \frac{4q^2 - 25p^2}{25p^2 - 10pq + 4q^2}$
Разложим на множители:
$125p^3 + 8q^3 = (5p)^3+(2q)^3 = (5p+2q)(25p^2-10pq+4q^2)$
$4q^2 - 25p^2 = (2q-5p)(2q+5p)$
Подставим в выражение и объединим в одну дробь:
$\frac{(5p+2q)(25p^2-10pq+4q^2)}{(5p+2q)^2} \cdot \frac{(2q-5p)(2q+5p)}{25p^2-10pq+4q^2} = \frac{(5p+2q)(25p^2-10pq+4q^2)(2q-5p)(5p+2q)}{(5p+2q)^2(25p^2-10pq+4q^2)}$
В числителе имеем $(5p+2q)(5p+2q) = (5p+2q)^2$. Сократим общие множители $(5p+2q)^2$ и $(25p^2-10pq+4q^2)$:
$= 2q-5p$
Ответ: $2q-5p$.
Другие задания:
Помогло решение? Оставьте отзыв в комментариях ниже.
Присоединяйтесь к Телеграм-группе @top_gdz
ПрисоединитьсяМы подготовили для вас ответ c подробным объяснением домашего задания по алгебре за 8 класс, для упражнения номер 5.41 расположенного на странице 42 для 2-й части к учебнику 2019 года издания для учащихся школ и гимназий.
Теперь на нашем сайте ГДЗ.ТОП вы всегда легко и бесплатно найдёте условие с правильным ответом на вопрос «Как решить ДЗ» и «Как сделать» задание по алгебре к упражнению №5.41 (с. 42), авторов: Мордкович (Александр Григорьевич), Александрова (Лилия Александровна), Мишустина (Татьяна Николаевна), Тульчинская (Елена Ефимовна), Семенов (Павел Владимирович), 2-й части учебного пособия издательства Мнемозина.