Номер 5.39, страница 42, часть 2 - гдз по алгебре 8 класс учебник Мордкович, Александрова

Алгебра, 8 класс Учебник, авторы: Мордкович Александр Григорьевич, Александрова Лилия Александровна, Мишустина Татьяна Николаевна, Тульчинская Елена Ефимовна, Семенов Павел Владимирович, издательство Мнемозина, Москва, 2019, часть 2

Авторы: Мордкович А. Г., Александрова Л. А., Мишустина Т. Н., Тульчинская Е. Е., Семенов П. В.

Тип: Учебник

Издательство: Мнемозина

Год издания: 2019 - 2025

Часть: 2

Допущено Министерством просвещения Российской Федерации

Популярные ГДЗ в 8 классе

Часть 2. Глава 1. Алгебраические дроби. Параграф 5. Умножение и деление алгебраических дробей. Возведение алгебраической дроби в степень - номер 5.39, страница 42.

№5.39 (с. 42)
Условие. №5.39 (с. 42)
скриншот условия
Алгебра, 8 класс Учебник, авторы: Мордкович Александр Григорьевич, Александрова Лилия Александровна, Мишустина Татьяна Николаевна, Тульчинская Елена Ефимовна, Семенов Павел Владимирович, издательство Мнемозина, Москва, 2019, Часть 2, страница 42, номер 5.39, Условие

5.39 a) $\frac{x^2 - 1}{x^3 + 1} : \frac{x^2 - 2x + 1}{x^2 - x + 1}$;

б) $\frac{t^3 + 8}{12t^2 + 27t} \cdot \frac{4t + 9}{t^2 - 2t + 4}$;

в) $\frac{z^2 + 6z + 9}{z^3 + 27} : \frac{3z + 9}{z^2 - 3z + 9}$;

г) $\frac{y^3 - 8}{y^2 - 9} \cdot \frac{y + 3}{y^2 + 2y + 4}$.

Решение 1. №5.39 (с. 42)
Алгебра, 8 класс Учебник, авторы: Мордкович Александр Григорьевич, Александрова Лилия Александровна, Мишустина Татьяна Николаевна, Тульчинская Елена Ефимовна, Семенов Павел Владимирович, издательство Мнемозина, Москва, 2019, Часть 2, страница 42, номер 5.39, Решение 1
Алгебра, 8 класс Учебник, авторы: Мордкович Александр Григорьевич, Александрова Лилия Александровна, Мишустина Татьяна Николаевна, Тульчинская Елена Ефимовна, Семенов Павел Владимирович, издательство Мнемозина, Москва, 2019, Часть 2, страница 42, номер 5.39, Решение 1 (продолжение 2)
Алгебра, 8 класс Учебник, авторы: Мордкович Александр Григорьевич, Александрова Лилия Александровна, Мишустина Татьяна Николаевна, Тульчинская Елена Ефимовна, Семенов Павел Владимирович, издательство Мнемозина, Москва, 2019, Часть 2, страница 42, номер 5.39, Решение 1 (продолжение 3)
Алгебра, 8 класс Учебник, авторы: Мордкович Александр Григорьевич, Александрова Лилия Александровна, Мишустина Татьяна Николаевна, Тульчинская Елена Ефимовна, Семенов Павел Владимирович, издательство Мнемозина, Москва, 2019, Часть 2, страница 42, номер 5.39, Решение 1 (продолжение 4)
Решение 2. №5.39 (с. 42)
Алгебра, 8 класс Учебник, авторы: Мордкович Александр Григорьевич, Александрова Лилия Александровна, Мишустина Татьяна Николаевна, Тульчинская Елена Ефимовна, Семенов Павел Владимирович, издательство Мнемозина, Москва, 2019, Часть 2, страница 42, номер 5.39, Решение 2
Решение 4. №5.39 (с. 42)
Алгебра, 8 класс Учебник, авторы: Мордкович Александр Григорьевич, Александрова Лилия Александровна, Мишустина Татьяна Николаевна, Тульчинская Елена Ефимовна, Семенов Павел Владимирович, издательство Мнемозина, Москва, 2019, Часть 2, страница 42, номер 5.39, Решение 4
Решение 6. №5.39 (с. 42)

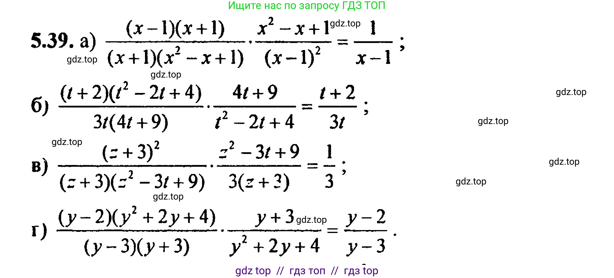
а) Выполним действия с дробями. Исходное выражение: $ \frac{x^2 - 1}{x^3 + 1} : \frac{x^2 - 2x + 1}{x^2 - x + 1} $.
Для упрощения разложим числители и знаменатели на множители, используя формулы сокращенного умножения:
Разность квадратов: $ x^2 - 1 = (x-1)(x+1) $.
Сумма кубов: $ x^3 + 1 = (x+1)(x^2-x+1) $.
Квадрат разности: $ x^2 - 2x + 1 = (x-1)^2 $.
Многочлен $ x^2 - x + 1 $ является неполным квадратом разности и не раскладывается на множители с действительными коэффициентами.
Подставим разложенные многочлены в исходное выражение:
$ \frac{(x-1)(x+1)}{(x+1)(x^2-x+1)} : \frac{(x-1)^2}{x^2-x+1} $
Заменим деление на умножение, перевернув вторую дробь:
$ \frac{(x-1)(x+1)}{(x+1)(x^2-x+1)} \cdot \frac{x^2-x+1}{(x-1)^2} $
Сократим общие множители $ (x+1) $, $ (x^2-x+1) $ и $ (x-1) $:
$ \frac{\cancel{(x-1)}\cancel{(x+1)}}{\cancel{(x+1)}\cancel{(x^2-x+1)}} \cdot \frac{\cancel{x^2-x+1}}{(x-1)^{\cancel{2}}} = \frac{1}{x-1} $

Ответ: $ \frac{1}{x-1} $

б) Выполним действия с дробями. Исходное выражение: $ \frac{t^3 + 8}{12t^2 + 27t} \cdot \frac{4t + 9}{t^2 - 2t + 4} $.
Разложим числители и знаменатели на множители:
Сумма кубов: $ t^3 + 8 = t^3 + 2^3 = (t+2)(t^2-2t+4) $.
Вынесение общего множителя: $ 12t^2 + 27t = 3t(4t+9) $.
Подставим разложения в выражение:
$ \frac{(t+2)(t^2-2t+4)}{3t(4t+9)} \cdot \frac{4t+9}{t^2-2t+4} $
Сократим общие множители $ (t^2-2t+4) $ и $ (4t+9) $:
$ \frac{(t+2)\cancel{(t^2-2t+4)}}{3t\cancel{(4t+9)}} \cdot \frac{\cancel{4t+9}}{\cancel{t^2-2t+4}} = \frac{t+2}{3t} $

Ответ: $ \frac{t+2}{3t} $

в) Выполним действия с дробями. Исходное выражение: $ \frac{z^2 + 6z + 9}{z^3 + 27} : \frac{3z + 9}{z^2 - 3z + 9} $.
Разложим многочлены на множители:
Квадрат суммы: $ z^2 + 6z + 9 = (z+3)^2 $.
Сумма кубов: $ z^3 + 27 = z^3 + 3^3 = (z+3)(z^2-3z+9) $.
Вынесение общего множителя: $ 3z + 9 = 3(z+3) $.
Подставим разложения в выражение:
$ \frac{(z+3)^2}{(z+3)(z^2-3z+9)} : \frac{3(z+3)}{z^2-3z+9} $
Заменим деление на умножение на обратную дробь:
$ \frac{(z+3)^2}{(z+3)(z^2-3z+9)} \cdot \frac{z^2-3z+9}{3(z+3)} $
Запишем под одной чертой и сократим общие множители:
$ \frac{(z+3)^2 \cdot (z^2-3z+9)}{(z+3)(z^2-3z+9) \cdot 3(z+3)} = \frac{\cancel{(z+3)^2}\cancel{(z^2-3z+9)}}{3\cancel{(z+3)^2}\cancel{(z^2-3z+9)}} = \frac{1}{3} $

Ответ: $ \frac{1}{3} $

г) Выполним действия с дробями. Исходное выражение: $ \frac{y^3 - 8}{y^2 - 9} \cdot \frac{y + 3}{y^2 + 2y + 4} $.
Разложим числители и знаменатели на множители:
Разность кубов: $ y^3 - 8 = y^3 - 2^3 = (y-2)(y^2+2y+4) $.
Разность квадратов: $ y^2 - 9 = (y-3)(y+3) $.
Подставим разложения в выражение:
$ \frac{(y-2)(y^2+2y+4)}{(y-3)(y+3)} \cdot \frac{y+3}{y^2+2y+4} $
Сократим общие множители $ (y+3) $ и $ (y^2+2y+4) $:
$ \frac{(y-2)\cancel{(y^2+2y+4)}}{(y-3)\cancel{(y+3)}} \cdot \frac{\cancel{y+3}}{\cancel{y^2+2y+4}} = \frac{y-2}{y-3} $

Ответ: $ \frac{y-2}{y-3} $

Помогло решение? Оставьте отзыв в комментариях ниже.

Присоединяйтесь к Телеграм-группе @top_gdz

Присоединиться

Мы подготовили для вас ответ c подробным объяснением домашего задания по алгебре за 8 класс, для упражнения номер 5.39 расположенного на странице 42 для 2-й части к учебнику 2019 года издания для учащихся школ и гимназий.

Теперь на нашем сайте ГДЗ.ТОП вы всегда легко и бесплатно найдёте условие с правильным ответом на вопрос «Как решить ДЗ» и «Как сделать» задание по алгебре к упражнению №5.39 (с. 42), авторов: Мордкович (Александр Григорьевич), Александрова (Лилия Александровна), Мишустина (Татьяна Николаевна), Тульчинская (Елена Ефимовна), Семенов (Павел Владимирович), 2-й части учебного пособия издательства Мнемозина.