Номер 6.4, страница 44, часть 2 - гдз по алгебре 8 класс учебник Мордкович, Александрова

Авторы: Мордкович А. Г., Александрова Л. А., Мишустина Т. Н., Тульчинская Е. Е., Семенов П. В.
Тип: Учебник
Издательство: Мнемозина
Год издания: 2019 - 2025
Часть: 2
Цвет обложки:
Допущено Министерством просвещения Российской Федерации
Популярные ГДЗ в 8 классе
Параграф 6. Преобразование рациональных выражений. Глава 1. Алгебраические дроби. Часть 2 - номер 6.4, страница 44.
№6.4 (с. 44)
Условие. №6.4 (с. 44)
скриншот условия

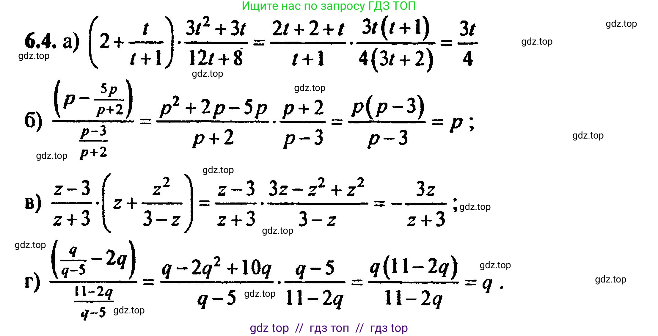
6.4 a) $(2 + \frac{t}{t + 1}) : \frac{3t^2 + 3t}{12t + 8};$
б) $(p - \frac{5p}{p + 2}) : \frac{p - 3}{p + 2};$
в) $\frac{z - 3}{z + 3} \cdot (z + \frac{z^2}{3 - z});$
г) $(\frac{q}{q - 5} - 2q) : \frac{11 - 2q}{q - 5}.$
Решение 1. №6.4 (с. 44)




Решение 2. №6.4 (с. 44)

Решение 4. №6.4 (с. 44)

Решение 6. №6.4 (с. 44)
a)
Сначала упростим выражение в скобках, приведя слагаемые к общему знаменателю $t+1$:
$2 + \frac{t}{t+1} = \frac{2(t+1)}{t+1} + \frac{t}{t+1} = \frac{2t+2+t}{t+1} = \frac{3t+2}{t+1}$
Теперь упростим делитель, разложив его числитель и знаменатель на множители:
$\frac{3t^2 + 3t}{12t + 8} = \frac{3t(t+1)}{4(3t+2)}$
Выполним деление. Для этого заменим деление на умножение на обратную дробь:
$\frac{3t+2}{t+1} : \frac{3t(t+1)}{4(3t+2)} = \frac{3t+2}{t+1} \cdot \frac{4(3t+2)}{3t(t+1)}$
Перемножим дроби, объединив числители и знаменатели:
$\frac{(3t+2) \cdot 4(3t+2)}{(t+1) \cdot 3t(t+1)} = \frac{4(3t+2)^2}{3t(t+1)^2}$
Ответ: $\frac{4(3t+2)^2}{3t(t+1)^2}$
б)
Упростим выражение в скобках, приведя его к общему знаменателю $p+2$:
$p - \frac{5p}{p+2} = \frac{p(p+2)}{p+2} - \frac{5p}{p+2} = \frac{p^2+2p-5p}{p+2} = \frac{p^2-3p}{p+2}$
Разложим числитель полученной дроби на множители:
$\frac{p(p-3)}{p+2}$
Теперь выполним деление, заменив его на умножение на обратную дробь:
$\frac{p(p-3)}{p+2} : \frac{p-3}{p+2} = \frac{p(p-3)}{p+2} \cdot \frac{p+2}{p-3}$
Сократим одинаковые множители $(p-3)$ и $(p+2)$ в числителе и знаменателе:
$\frac{p(p-3)(p+2)}{(p+2)(p-3)} = p$
Ответ: $p$
в)
Упростим выражение во вторых скобках, приведя его к общему знаменателю $3-z$:
$z + \frac{z^2}{3-z} = \frac{z(3-z)}{3-z} + \frac{z^2}{3-z} = \frac{3z - z^2 + z^2}{3-z} = \frac{3z}{3-z}$
Теперь выполним умножение дробей:
$\frac{z-3}{z+3} \cdot \frac{3z}{3-z}$
В знаменателе второй дроби вынесем знак минус за скобки, чтобы получить общий множитель: $3-z = -(z-3)$.
$\frac{z-3}{z+3} \cdot \frac{3z}{-(z-3)} = -\frac{(z-3) \cdot 3z}{(z+3)(z-3)}$
Сократим общий множитель $(z-3)$ и получим результат:
$-\frac{3z}{z+3}$
Ответ: $-\frac{3z}{z+3}$
г)
Упростим выражение в скобках, приведя его к общему знаменателю $q-5$:
$\frac{q}{q-5} - 2q = \frac{q - 2q(q-5)}{q-5} = \frac{q - (2q^2-10q)}{q-5} = \frac{q - 2q^2 + 10q}{q-5} = \frac{11q - 2q^2}{q-5}$
Разложим числитель полученной дроби на множители:
$\frac{q(11-2q)}{q-5}$
Выполним деление, заменив его на умножение на обратную дробь:
$\frac{q(11-2q)}{q-5} : \frac{11-2q}{q-5} = \frac{q(11-2q)}{q-5} \cdot \frac{q-5}{11-2q}$
Сократим одинаковые множители $(11-2q)$ и $(q-5)$ в числителе и знаменателе:
$\frac{q(11-2q)(q-5)}{(q-5)(11-2q)} = q$
Ответ: $q$
Другие задания:
Помогло решение? Оставьте отзыв в комментариях ниже.
Присоединяйтесь к Телеграм-группе @top_gdz
ПрисоединитьсяМы подготовили для вас ответ c подробным объяснением домашего задания по алгебре за 8 класс, для упражнения номер 6.4 расположенного на странице 44 для 2-й части к учебнику 2019 года издания для учащихся школ и гимназий.
Теперь на нашем сайте ГДЗ.ТОП вы всегда легко и бесплатно найдёте условие с правильным ответом на вопрос «Как решить ДЗ» и «Как сделать» задание по алгебре к упражнению №6.4 (с. 44), авторов: Мордкович (Александр Григорьевич), Александрова (Лилия Александровна), Мишустина (Татьяна Николаевна), Тульчинская (Елена Ефимовна), Семенов (Павел Владимирович), 2-й части учебного пособия издательства Мнемозина.