Номер 6.18, страница 45, часть 2 - гдз по алгебре 8 класс учебник Мордкович, Александрова

Алгебра, 8 класс Учебник, авторы: Мордкович Александр Григорьевич, Александрова Лилия Александровна, Мишустина Татьяна Николаевна, Тульчинская Елена Ефимовна, Семенов Павел Владимирович, издательство Мнемозина, Москва, 2019, часть 2

Авторы: Мордкович А. Г., Александрова Л. А., Мишустина Т. Н., Тульчинская Е. Е., Семенов П. В.

Тип: Учебник

Издательство: Мнемозина

Год издания: 2019 - 2026

Часть: 2

Допущено Министерством просвещения Российской Федерации

Популярные ГДЗ в 8 классе

Часть 2. Глава 1. Алгебраические дроби. Параграф 6. Преобразование рациональных выражений - номер 6.18, страница 45.

№6.18 (с. 45)
Условие. №6.18 (с. 45)
скриншот условия
Алгебра, 8 класс Учебник, авторы: Мордкович Александр Григорьевич, Александрова Лилия Александровна, Мишустина Татьяна Николаевна, Тульчинская Елена Ефимовна, Семенов Павел Владимирович, издательство Мнемозина, Москва, 2019, Часть 2, страница 45, номер 6.18, Условие

6.18 $\frac{18xy}{2y + 3x} + \frac{1}{2y - 3x} : \left( \frac{4}{4y^2 - 9x^2} - \frac{6y - 9x}{8y^3 + 27x^3} \right) = 3x + 2y.$

Решение 1. №6.18 (с. 45)
Алгебра, 8 класс Учебник, авторы: Мордкович Александр Григорьевич, Александрова Лилия Александровна, Мишустина Татьяна Николаевна, Тульчинская Елена Ефимовна, Семенов Павел Владимирович, издательство Мнемозина, Москва, 2019, Часть 2, страница 45, номер 6.18, Решение 1
Решение 2. №6.18 (с. 45)
Алгебра, 8 класс Учебник, авторы: Мордкович Александр Григорьевич, Александрова Лилия Александровна, Мишустина Татьяна Николаевна, Тульчинская Елена Ефимовна, Семенов Павел Владимирович, издательство Мнемозина, Москва, 2019, Часть 2, страница 45, номер 6.18, Решение 2
Решение 4. №6.18 (с. 45)
Алгебра, 8 класс Учебник, авторы: Мордкович Александр Григорьевич, Александрова Лилия Александровна, Мишустина Татьяна Николаевна, Тульчинская Елена Ефимовна, Семенов Павел Владимирович, издательство Мнемозина, Москва, 2019, Часть 2, страница 45, номер 6.18, Решение 4
Решение 5. №6.18 (с. 45)
Алгебра, 8 класс Учебник, авторы: Мордкович Александр Григорьевич, Александрова Лилия Александровна, Мишустина Татьяна Николаевна, Тульчинская Елена Ефимовна, Семенов Павел Владимирович, издательство Мнемозина, Москва, 2019, Часть 2, страница 45, номер 6.18, Решение 5
Решение 6. №6.18 (с. 45)

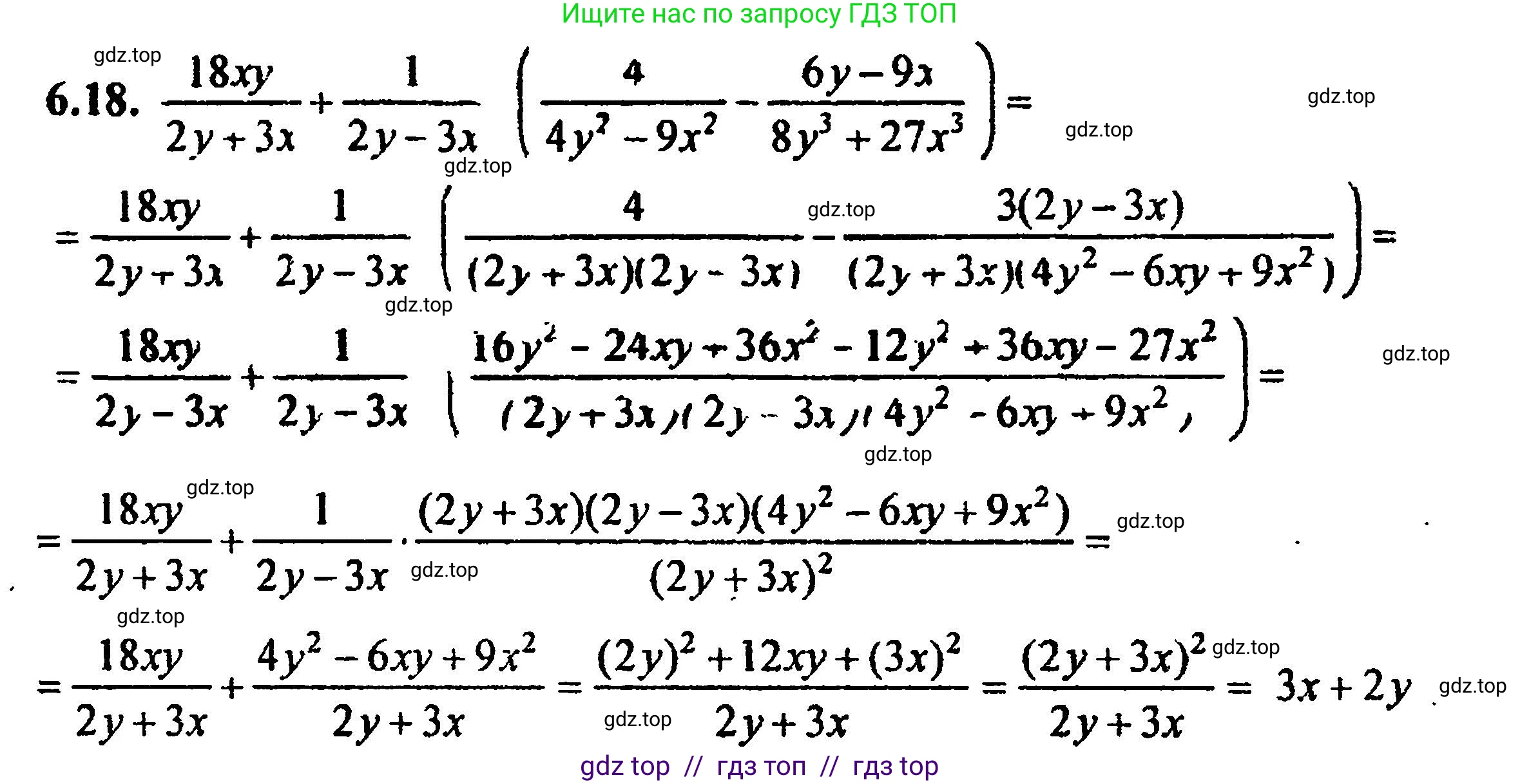
Чтобы доказать тождество, необходимо преобразовать его левую часть и показать, что она равна правой. Выполним действия в левой части по порядку.

1. Первым действием выполним вычитание в скобках: $ \frac{4}{4y^2 - 9x^2} - \frac{6y - 9x}{8y^3 + 27x^3} $.

Для этого разложим знаменатели на множители, используя формулу разности квадратов $ a^2 - b^2 = (a-b)(a+b) $ и формулу суммы кубов $ a^3 + b^3 = (a+b)(a^2 - ab + b^2) $.

$ 4y^2 - 9x^2 = (2y)^2 - (3x)^2 = (2y - 3x)(2y + 3x) $

$ 8y^3 + 27x^3 = (2y)^3 + (3x)^3 = (2y + 3x)(4y^2 - 6xy + 9x^2) $

Также вынесем общий множитель в числителе второй дроби: $ 6y - 9x = 3(2y - 3x) $.

Подставим разложенные выражения обратно в скобки:

$ \frac{4}{(2y - 3x)(2y + 3x)} - \frac{3(2y - 3x)}{(2y + 3x)(4y^2 - 6xy + 9x^2)} $

Приведем дроби к общему знаменателю $ (2y - 3x)(2y + 3x)(4y^2 - 6xy + 9x^2) $:

$ \frac{4(4y^2 - 6xy + 9x^2) - 3(2y - 3x)(2y - 3x)}{(2y - 3x)(2y + 3x)(4y^2 - 6xy + 9x^2)} = \frac{4(4y^2 - 6xy + 9x^2) - 3(2y - 3x)^2}{(2y - 3x)(2y + 3x)(4y^2 - 6xy + 9x^2)} $

Раскроем скобки и упростим числитель:

$ 4(4y^2 - 6xy + 9x^2) - 3(4y^2 - 12xy + 9x^2) = 16y^2 - 24xy + 36x^2 - 12y^2 + 36xy - 27x^2 = 4y^2 + 12xy + 9x^2 $

Заметим, что полученный числитель является полным квадратом суммы: $ 4y^2 + 12xy + 9x^2 = (2y + 3x)^2 $.

Итак, результат выражения в скобках:

$ \frac{(2y + 3x)^2}{(2y - 3x)(2y + 3x)(4y^2 - 6xy + 9x^2)} = \frac{2y + 3x}{(2y - 3x)(4y^2 - 6xy + 9x^2)} $

2. Вторым действием выполним деление: $ \frac{1}{2y - 3x} $ на результат, полученный в первом действии.

$ \frac{1}{2y - 3x} : \frac{2y + 3x}{(2y - 3x)(4y^2 - 6xy + 9x^2)} = \frac{1}{2y - 3x} \cdot \frac{(2y - 3x)(4y^2 - 6xy + 9x^2)}{2y + 3x} $

Сократим общий множитель $ (2y - 3x) $:

$ \frac{4y^2 - 6xy + 9x^2}{2y + 3x} $

3. Третьим действием выполним сложение:

$ \frac{18xy}{2y + 3x} + \frac{4y^2 - 6xy + 9x^2}{2y + 3x} $

Так как знаменатели одинаковы, сложим числители:

$ \frac{18xy + 4y^2 - 6xy + 9x^2}{2y + 3x} = \frac{4y^2 + 12xy + 9x^2}{2y + 3x} $

Числитель, как мы уже выяснили, является полным квадратом $ (2y + 3x)^2 $:

$ \frac{(2y + 3x)^2}{2y + 3x} $

Сократим дробь на $ (2y + 3x) $:

$ 2y + 3x $

Мы преобразовали левую часть уравнения и получили $ 3x + 2y $, что в точности равно правой части. Таким образом, тождество доказано.

Ответ: Тождество $ \frac{18xy}{2y + 3x} + \frac{1}{2y - 3x} : \left( \frac{4}{4y^2 - 9x^2} - \frac{6y - 9x}{8y^3 + 27x^3} \right) = 3x + 2y $ доказано.

Помогло решение? Оставьте отзыв в комментариях ниже.

Присоединяйтесь к Телеграм-группе @top_gdz

Присоединиться

Мы подготовили для вас ответ c подробным объяснением домашего задания по алгебре за 8 класс, для упражнения номер 6.18 расположенного на странице 45 для 2-й части к учебнику 2019 года издания для учащихся школ и гимназий.

Теперь на нашем сайте ГДЗ.ТОП вы всегда легко и бесплатно найдёте условие с правильным ответом на вопрос «Как решить ДЗ» и «Как сделать» задание по алгебре к упражнению №6.18 (с. 45), авторов: Мордкович (Александр Григорьевич), Александрова (Лилия Александровна), Мишустина (Татьяна Николаевна), Тульчинская (Елена Ефимовна), Семенов (Павел Владимирович), 2-й части учебного пособия издательства Мнемозина.