Номер 6.19, страница 46, часть 2 - гдз по алгебре 8 класс учебник Мордкович, Александрова

Авторы: Мордкович А. Г., Александрова Л. А., Мишустина Т. Н., Тульчинская Е. Е., Семенов П. В.
Тип: Учебник
Издательство: Мнемозина
Год издания: 2019 - 2025
Часть: 2
Цвет обложки:
Допущено Министерством просвещения Российской Федерации
Популярные ГДЗ в 8 классе
Параграф 6. Преобразование рациональных выражений. Глава 1. Алгебраические дроби. Часть 2 - номер 6.19, страница 46.
№6.19 (с. 46)
Условие. №6.19 (с. 46)
скриншот условия

Найдите значение выражения:
6.19
$\frac{2 - a}{5} + \left(\frac{1}{1 - 2a}\right)^2 : \left(\frac{a + 2}{4a^3 - 4a^2 + a} - \frac{2 - a}{1 - 8a^3} \cdot \frac{4a^2 + 2a + 1}{2a^2 + a}\right)$
при $a = -3,2746$.
Решение 1. №6.19 (с. 46)

Решение 2. №6.19 (с. 46)

Решение 4. №6.19 (с. 46)

Решение 6. №6.19 (с. 46)
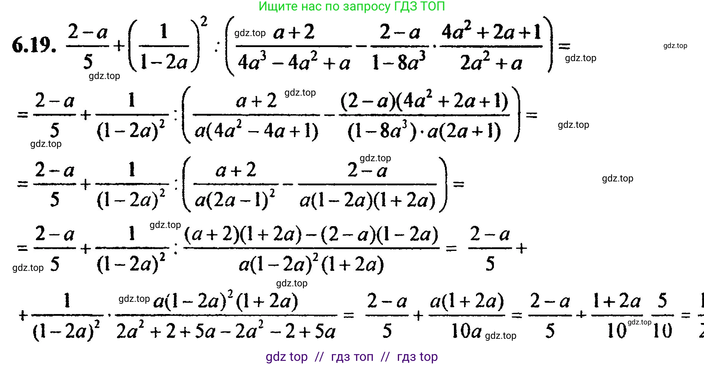
Для того чтобы найти значение данного выражения, мы сначала упростим его. Зачастую в таких задачах громоздкое выражение после упрощения принимает простой вид, не зависящий от переменной, или вид, в который легко подставить заданное значение.
Исходное выражение:
$\frac{2-a}{5} + \left(\frac{1}{1-2a}\right)^2 : \left(\frac{a+2}{4a^3 - 4a^2 + a} - \frac{2-a}{1-8a^3} \cdot \frac{4a^2 + 2a + 1}{2a^2 + a}\right)$
Выполним действия по порядку. В первую очередь упростим выражение в больших скобках.
1. Упрощение выражения в скобках.
Сначала разложим на множители знаменатели дробей:
- $4a^3 - 4a^2 + a = a(4a^2 - 4a + 1) = a(2a-1)^2$
- $1-8a^3 = 1^3 - (2a)^3 = (1-2a)(1+2a+4a^2)$ (по формуле разности кубов)
- $2a^2 + a = a(2a+1)$
Теперь подставим разложенные выражения в скобки и выполним умножение:
$\frac{a+2}{a(2a-1)^2} - \frac{2-a}{(1-2a)(1+2a+4a^2)} \cdot \frac{4a^2 + 2a + 1}{a(2a+1)}$
Сокращаем $(4a^2 + 2a + 1)$ во втором слагаемом:
$\frac{a+2}{a(2a-1)^2} - \frac{2-a}{(1-2a)a(2a+1)}$
Заметим, что $(2a-1)^2 = (-(1-2a))^2 = (1-2a)^2$. Приведем дроби к общему знаменателю $a(1-2a)^2(2a+1)$:
$\frac{(a+2)(2a+1)}{a(1-2a)^2(2a+1)} - \frac{(2-a)(1-2a)}{a(1-2a)^2(2a+1)}$
Выполним вычитание дробей:
$\frac{(a+2)(2a+1) - (2-a)(1-2a)}{a(1-2a)^2(2a+1)}$
Раскроем скобки в числителе:
$(a+2)(2a+1) = 2a^2+a+4a+2 = 2a^2+5a+2$
$(2-a)(1-2a) = 2-4a-a+2a^2 = 2a^2-5a+2$
Числитель дроби равен:
$(2a^2+5a+2) - (2a^2-5a+2) = 2a^2+5a+2 - 2a^2+5a-2 = 10a$
Таким образом, всё выражение в скобках равно:
$\frac{10a}{a(1-2a)^2(2a+1)} = \frac{10}{(1-2a)^2(2a+1)}$
2. Выполнение деления.
Теперь вернемся к исходному выражению и подставим полученный результат:
$\frac{2-a}{5} + \left(\frac{1}{1-2a}\right)^2 : \frac{10}{(1-2a)^2(2a+1)}$
Выполним деление:
$\left(\frac{1}{1-2a}\right)^2 : \frac{10}{(1-2a)^2(2a+1)} = \frac{1}{(1-2a)^2} \cdot \frac{(1-2a)^2(2a+1)}{10}$
Сокращаем общий множитель $(1-2a)^2$:
$\frac{1}{\cancel{(1-2a)^2}} \cdot \frac{\cancel{(1-2a)^2}(2a+1)}{10} = \frac{2a+1}{10}$
3. Выполнение сложения.
Подставим результат деления в исходное выражение:
$\frac{2-a}{5} + \frac{2a+1}{10}$
Приведем дроби к общему знаменателю 10:
$\frac{2(2-a)}{10} + \frac{2a+1}{10} = \frac{4-2a+2a+1}{10} = \frac{5}{10} = \frac{1}{2} = 0,5$
В результате упрощения мы получили число, не зависящее от переменной $a$. Это означает, что при любом допустимом значении $a$ (включая $a = -3,2746$) значение выражения будет одинаковым.
Ответ: $0,5$
Другие задания:
Помогло решение? Оставьте отзыв в комментариях ниже.
Присоединяйтесь к Телеграм-группе @top_gdz
ПрисоединитьсяМы подготовили для вас ответ c подробным объяснением домашего задания по алгебре за 8 класс, для упражнения номер 6.19 расположенного на странице 46 для 2-й части к учебнику 2019 года издания для учащихся школ и гимназий.
Теперь на нашем сайте ГДЗ.ТОП вы всегда легко и бесплатно найдёте условие с правильным ответом на вопрос «Как решить ДЗ» и «Как сделать» задание по алгебре к упражнению №6.19 (с. 46), авторов: Мордкович (Александр Григорьевич), Александрова (Лилия Александровна), Мишустина (Татьяна Николаевна), Тульчинская (Елена Ефимовна), Семенов (Павел Владимирович), 2-й части учебного пособия издательства Мнемозина.