Номер 7.37, страница 51, часть 2 - гдз по алгебре 8 класс учебник Мордкович, Александрова

Авторы: Мордкович А. Г., Александрова Л. А., Мишустина Т. Н., Тульчинская Е. Е., Семенов П. В.
Тип: Учебник
Издательство: Мнемозина
Год издания: 2019 - 2025
Часть: 2
Цвет обложки:
Допущено Министерством просвещения Российской Федерации
Популярные ГДЗ в 8 классе
Параграф 7. Первые представления о рациональных уравнениях. Глава 1. Алгебраические дроби. Часть 2 - номер 7.37, страница 51.
№7.37 (с. 51)
Условие. №7.37 (с. 51)
скриншот условия

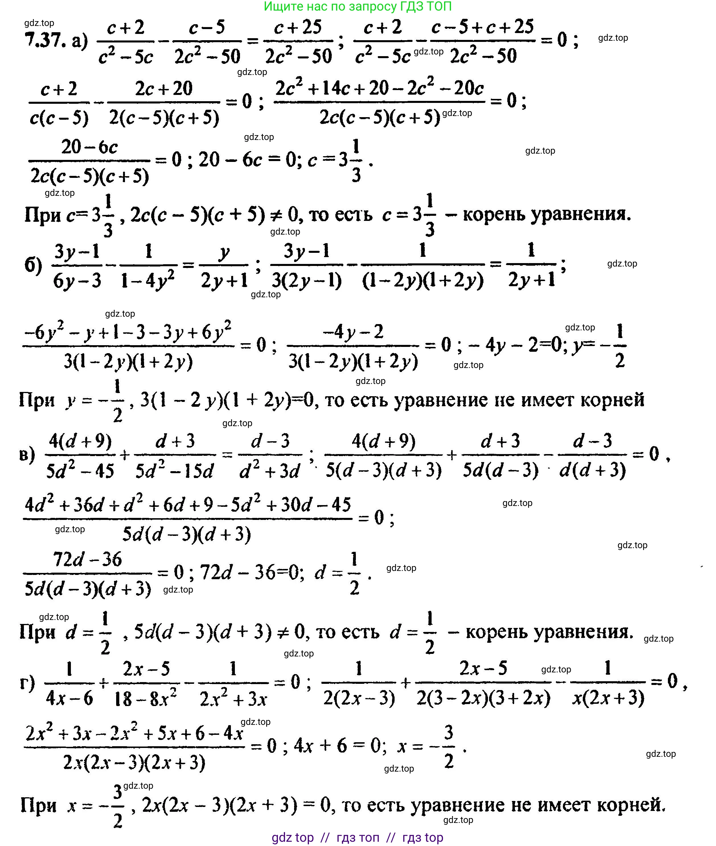
7.37 a) $\frac{c + 2}{c^2 - 5c} - \frac{c - 5}{2c^2 - 50} = \frac{c + 25}{2c^2 - 50};$
б) $\frac{3y - 1}{6y - 3} - \frac{1}{1 - 4y^2} = \frac{y}{2y + 1};$
в) $\frac{4(d + 9)}{5d^2 - 45} + \frac{d + 3}{5d^2 - 15d} = \frac{d - 3}{d^2 + 3d};$
г) $\frac{1}{4x - 6} + \frac{2x - 5}{18 - 8x^2} - \frac{1}{2x^2 + 3x} = 0.$
Решение 1. №7.37 (с. 51)




Решение 2. №7.37 (с. 51)

Решение 4. №7.37 (с. 51)


Решение 6. №7.37 (с. 51)
а)
Исходное уравнение:
$\frac{c + 2}{c^2 - 5c} - \frac{c - 5}{2c^2 - 50} = \frac{c + 25}{2c^2 - 50}$
1. Найдем область допустимых значений (ОДЗ). Знаменатели не должны быть равны нулю:
$c^2 - 5c = c(c - 5) \neq 0 \implies c \neq 0, c \neq 5$
$2c^2 - 50 = 2(c^2 - 25) = 2(c - 5)(c + 5) \neq 0 \implies c \neq 5, c \neq -5$
Таким образом, ОДЗ: $c \in \mathbb{R} \setminus \{-5, 0, 5\}$.
2. Перенесем второй член из левой части в правую:
$\frac{c + 2}{c^2 - 5c} = \frac{c + 25}{2c^2 - 50} + \frac{c - 5}{2c^2 - 50}$
Сложим дроби в правой части, так как у них одинаковый знаменатель:
$\frac{c + 2}{c^2 - 5c} = \frac{(c + 25) + (c - 5)}{2c^2 - 50}$
$\frac{c + 2}{c(c - 5)} = \frac{2c + 20}{2(c^2 - 25)}$
Разложим знаменатели на множители и упростим правую часть:
$\frac{c + 2}{c(c - 5)} = \frac{2(c + 10)}{2(c - 5)(c + 5)}$
$\frac{c + 2}{c(c - 5)} = \frac{c + 10}{(c - 5)(c + 5)}$
3. Умножим обе части уравнения на $(c - 5)$, так как из ОДЗ мы знаем, что $c \neq 5$:
$\frac{c + 2}{c} = \frac{c + 10}{c + 5}$
4. Решим полученное уравнение пропорции, используя перекрестное умножение (возможно, так как $c \neq 0$ и $c \neq -5$):
$(c + 2)(c + 5) = c(c + 10)$
$c^2 + 5c + 2c + 10 = c^2 + 10c$
$c^2 + 7c + 10 = c^2 + 10c$
Вычтем $c^2$ из обеих частей:
$7c + 10 = 10c$
$10 = 3c$
$c = \frac{10}{3}$
5. Проверим, входит ли корень в ОДЗ. $c = \frac{10}{3}$ не равно -5, 0 или 5. Следовательно, корень является решением уравнения.
Ответ: $c = \frac{10}{3}$.
б)
Исходное уравнение:
$\frac{3y - 1}{6y - 3} - \frac{1}{1 - 4y^2} = \frac{y}{2y + 1}$
1. Найдем ОДЗ, разложив знаменатели на множители:
$6y - 3 = 3(2y - 1) \neq 0 \implies y \neq \frac{1}{2}$
$1 - 4y^2 = (1 - 2y)(1 + 2y) = -(2y - 1)(2y + 1) \neq 0 \implies y \neq \frac{1}{2}, y \neq -\frac{1}{2}$
$2y + 1 \neq 0 \implies y \neq -\frac{1}{2}$
ОДЗ: $y \in \mathbb{R} \setminus \{-\frac{1}{2}, \frac{1}{2}\}$.
2. Преобразуем уравнение:
$\frac{3y - 1}{3(2y - 1)} - \frac{1}{-(2y - 1)(2y + 1)} = \frac{y}{2y + 1}$
$\frac{3y - 1}{3(2y - 1)} + \frac{1}{(2y - 1)(2y + 1)} = \frac{y}{2y + 1}$
3. Приведем все дроби к общему знаменателю $3(2y - 1)(2y + 1)$:
$\frac{(3y - 1)(2y + 1)}{3(2y - 1)(2y + 1)} + \frac{3}{3(2y - 1)(2y + 1)} = \frac{y \cdot 3(2y - 1)}{3(2y - 1)(2y + 1)}$
Умножим обе части на общий знаменатель (он не равен нулю в ОДЗ):
$(3y - 1)(2y + 1) + 3 = 3y(2y - 1)$
4. Раскроем скобки и решим уравнение:
$6y^2 + 3y - 2y - 1 + 3 = 6y^2 - 3y$
$6y^2 + y + 2 = 6y^2 - 3y$
$y + 2 = -3y$
$4y = -2$
$y = -\frac{2}{4} = -\frac{1}{2}$
5. Проверим корень. Значение $y = -\frac{1}{2}$ не входит в ОДЗ, так как при этом значении знаменатели $1 - 4y^2$ и $2y + 1$ обращаются в ноль. Следовательно, уравнение не имеет решений.
Ответ: корней нет.
в)
Исходное уравнение:
$\frac{4(d + 9)}{5d^2 - 45} + \frac{d + 3}{5d^2 - 15d} = \frac{d - 3}{d^2 + 3d}$
1. Найдем ОДЗ, разложив знаменатели на множители:
$5d^2 - 45 = 5(d^2 - 9) = 5(d - 3)(d + 3) \neq 0 \implies d \neq 3, d \neq -3$
$5d^2 - 15d = 5d(d - 3) \neq 0 \implies d \neq 0, d \neq 3$
$d^2 + 3d = d(d + 3) \neq 0 \implies d \neq 0, d \neq -3$
ОДЗ: $d \in \mathbb{R} \setminus \{-3, 0, 3\}$.
2. Перепишем уравнение с разложенными знаменателями:
$\frac{4(d + 9)}{5(d - 3)(d + 3)} + \frac{d + 3}{5d(d - 3)} = \frac{d - 3}{d(d + 3)}$
3. Общий знаменатель: $5d(d - 3)(d + 3)$. Умножим обе части уравнения на него:
$4(d + 9) \cdot d + (d + 3) \cdot (d + 3) = (d - 3) \cdot 5(d - 3)$
4. Раскроем скобки и решим уравнение:
$4d^2 + 36d + (d^2 + 6d + 9) = 5(d^2 - 6d + 9)$
$5d^2 + 42d + 9 = 5d^2 - 30d + 45$
Вычтем $5d^2$ из обеих частей:
$42d + 9 = -30d + 45$
$42d + 30d = 45 - 9$
$72d = 36$
$d = \frac{36}{72} = \frac{1}{2}$
5. Проверим корень. Значение $d = \frac{1}{2}$ входит в ОДЗ. Следовательно, это решение.
Ответ: $d = \frac{1}{2}$.
г)
Исходное уравнение:
$\frac{1}{4x - 6} + \frac{2x - 5}{18 - 8x^2} - \frac{1}{2x^2 + 3x} = 0$
1. Найдем ОДЗ, разложив знаменатели на множители:
$4x - 6 = 2(2x - 3) \neq 0 \implies x \neq \frac{3}{2}$
$18 - 8x^2 = 2(9 - 4x^2) = 2(3 - 2x)(3 + 2x) = -2(2x - 3)(2x + 3) \neq 0 \implies x \neq \frac{3}{2}, x \neq -\frac{3}{2}$
$2x^2 + 3x = x(2x + 3) \neq 0 \implies x \neq 0, x \neq -\frac{3}{2}$
ОДЗ: $x \in \mathbb{R} \setminus \{-\frac{3}{2}, 0, \frac{3}{2}\}$.
2. Преобразуем уравнение, вынеся минус из второго знаменателя:
$\frac{1}{2(2x - 3)} - \frac{2x - 5}{2(2x - 3)(2x + 3)} - \frac{1}{x(2x + 3)} = 0$
3. Общий знаменатель: $2x(2x - 3)(2x + 3)$. Умножим обе части уравнения на него:
$1 \cdot x(2x + 3) - (2x - 5) \cdot x - 1 \cdot 2(2x - 3) = 0$
4. Раскроем скобки и решим уравнение:
$2x^2 + 3x - (2x^2 - 5x) - (4x - 6) = 0$
$2x^2 + 3x - 2x^2 + 5x - 4x + 6 = 0$
$(3x + 5x - 4x) + 6 = 0$
$4x + 6 = 0$
$4x = -6$
$x = -\frac{6}{4} = -\frac{3}{2}$
5. Проверим корень. Значение $x = -\frac{3}{2}$ не входит в ОДЗ, так как при этом значении знаменатели $18 - 8x^2$ и $2x^2 + 3x$ обращаются в ноль. Следовательно, уравнение не имеет решений.
Ответ: корней нет.
Другие задания:
Помогло решение? Оставьте отзыв в комментариях ниже.
Присоединяйтесь к Телеграм-группе @top_gdz
ПрисоединитьсяМы подготовили для вас ответ c подробным объяснением домашего задания по алгебре за 8 класс, для упражнения номер 7.37 расположенного на странице 51 для 2-й части к учебнику 2019 года издания для учащихся школ и гимназий.
Теперь на нашем сайте ГДЗ.ТОП вы всегда легко и бесплатно найдёте условие с правильным ответом на вопрос «Как решить ДЗ» и «Как сделать» задание по алгебре к упражнению №7.37 (с. 51), авторов: Мордкович (Александр Григорьевич), Александрова (Лилия Александровна), Мишустина (Татьяна Николаевна), Тульчинская (Елена Ефимовна), Семенов (Павел Владимирович), 2-й части учебного пособия издательства Мнемозина.