Номер 8.30, страница 55, часть 2 - гдз по алгебре 8 класс учебник Мордкович, Александрова

Авторы: Мордкович А. Г., Александрова Л. А., Мишустина Т. Н., Тульчинская Е. Е., Семенов П. В.
Тип: Учебник
Издательство: Мнемозина
Год издания: 2019 - 2025
Часть: 2
Цвет обложки:
Допущено Министерством просвещения Российской Федерации
Популярные ГДЗ в 8 классе
Параграф 8. Степень с отрицательным целым показателем. Глава 1. Алгебраические дроби. Часть 2 - номер 8.30, страница 55.
№8.30 (с. 55)
Условие. №8.30 (с. 55)
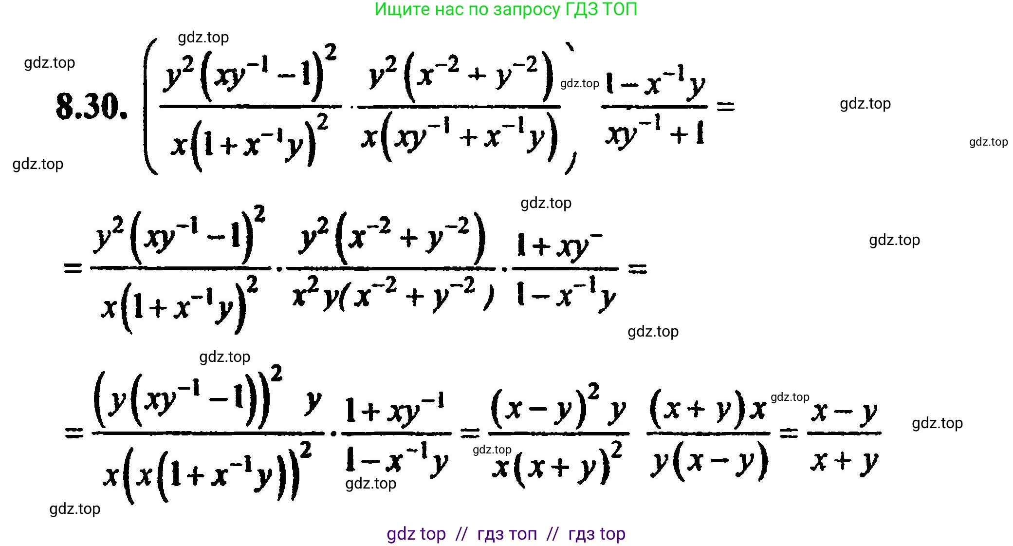
скриншот условия

Докажите тождество:
8.30
$\left( \frac{y^2(xy^{-1} - 1)^2}{x(1 + x^{-1}y)^2} \cdot \frac{y^2(x^{-2} + y^{-2})}{x(xy^{-1} + x^{-1}y)} \right) : \frac{1 - x^{-1}y}{xy^{-1} + 1} = \frac{x - y}{x + y}$
Решение 2. №8.30 (с. 55)

Решение 4. №8.30 (с. 55)

Решение 6. №8.30 (с. 55)
Для доказательства тождества преобразуем его левую часть. Сначала упростим все выражения с отрицательной степенью, используя правило $a^{-n} = \frac{1}{a^n}$.
Исходное выражение:
$ \left( \frac{y^2(xy^{-1}-1)^2}{x(1+x^{-1}y)^2} \cdot \frac{y^2(x^{-2}+y^{-2})}{x(xy^{-1}+x^{-1}y)} \right) : \frac{1-x^{-1}y}{xy^{-1}+1} $
После замены отрицательных степеней:
$ \left( \frac{y^2(\frac{x}{y}-1)^2}{x(1+\frac{y}{x})^2} \cdot \frac{y^2(\frac{1}{x^2}+\frac{1}{y^2})}{x(\frac{x}{y}+\frac{y}{x})} \right) : \frac{1-\frac{y}{x}}{\frac{x}{y}+1} $
Теперь будем последовательно упрощать каждую часть выражения.
1. Первый множитель в скобках:
Приведем к общему знаменателю выражения в числителе и знаменателе дроби:
$ \frac{y^2(\frac{x-y}{y})^2}{x(\frac{x+y}{x})^2} = \frac{y^2 \frac{(x-y)^2}{y^2}}{x \frac{(x+y)^2}{x^2}} = \frac{(x-y)^2}{\frac{(x+y)^2}{x}} = \frac{x(x-y)^2}{(x+y)^2} $
2. Второй множитель в скобках:
Также приведем к общему знаменателю:
$ \frac{y^2(\frac{y^2+x^2}{x^2y^2})}{x(\frac{x^2+y^2}{xy})} = \frac{\frac{y^2(x^2+y^2)}{x^2y^2}}{\frac{x(x^2+y^2)}{xy}} = \frac{\frac{x^2+y^2}{x^2}}{\frac{x^2+y^2}{y}} = \frac{x^2+y^2}{x^2} \cdot \frac{y}{x^2+y^2} = \frac{y}{x^2} $
3. Результат умножения в скобках:
Перемножим результаты шагов 1 и 2:
$ \frac{x(x-y)^2}{(x+y)^2} \cdot \frac{y}{x^2} = \frac{y(x-y)^2}{x(x+y)^2} $
4. Делитель:
Упростим третье выражение:
$ \frac{1-\frac{y}{x}}{\frac{x}{y}+1} = \frac{\frac{x-y}{x}}{\frac{x+y}{y}} = \frac{x-y}{x} \cdot \frac{y}{x+y} = \frac{y(x-y)}{x(x+y)} $
5. Финальное деление:
Разделим результат шага 3 на результат шага 4, для этого умножим на обратную дробь:
$ \frac{y(x-y)^2}{x(x+y)^2} : \frac{y(x-y)}{x(x+y)} = \frac{y(x-y)^2}{x(x+y)^2} \cdot \frac{x(x+y)}{y(x-y)} $
Сгруппируем множители:
$ \frac{x \cdot y \cdot (x-y)^2 \cdot (x+y)}{x \cdot y \cdot (x-y) \cdot (x+y)^2} $
Сокращаем общие множители $x$ и $y$:
$ \frac{(x-y)^2 (x+y)}{(x-y) (x+y)^2} $
Используя свойство степеней $\frac{a^m}{a^n} = a^{m-n}$, сокращаем дальше:
$ (x-y)^{2-1} \cdot (x+y)^{1-2} = (x-y)^1 \cdot (x+y)^{-1} = \frac{x-y}{x+y} $
В результате преобразований левая часть тождества оказалась равна правой части: $ \frac{x-y}{x+y} = \frac{x-y}{x+y} $.
Ответ: Тождество доказано.
Другие задания:
Помогло решение? Оставьте отзыв в комментариях ниже.
Присоединяйтесь к Телеграм-группе @top_gdz
ПрисоединитьсяМы подготовили для вас ответ c подробным объяснением домашего задания по алгебре за 8 класс, для упражнения номер 8.30 расположенного на странице 55 для 2-й части к учебнику 2019 года издания для учащихся школ и гимназий.
Теперь на нашем сайте ГДЗ.ТОП вы всегда легко и бесплатно найдёте условие с правильным ответом на вопрос «Как решить ДЗ» и «Как сделать» задание по алгебре к упражнению №8.30 (с. 55), авторов: Мордкович (Александр Григорьевич), Александрова (Лилия Александровна), Мишустина (Татьяна Николаевна), Тульчинская (Елена Ефимовна), Семенов (Павел Владимирович), 2-й части учебного пособия издательства Мнемозина.