Номер 16.72, страница 87, часть 2 - гдз по алгебре 8 класс учебник Мордкович, Александрова

Авторы: Мордкович А. Г., Александрова Л. А., Мишустина Т. Н., Тульчинская Е. Е., Семенов П. В.
Тип: Учебник
Издательство: Мнемозина
Год издания: 2019 - 2025
Часть: 2
Цвет обложки:
Допущено Министерством просвещения Российской Федерации
Популярные ГДЗ в 8 классе
Параграф 16. Преобразование выражений, содержащих операцию извлечения квадратного корня. Глава 2. Функция у =√х свойства квадратного корня. Часть 2 - номер 16.72, страница 87.
№16.72 (с. 87)
Условие. №16.72 (с. 87)
скриншот условия

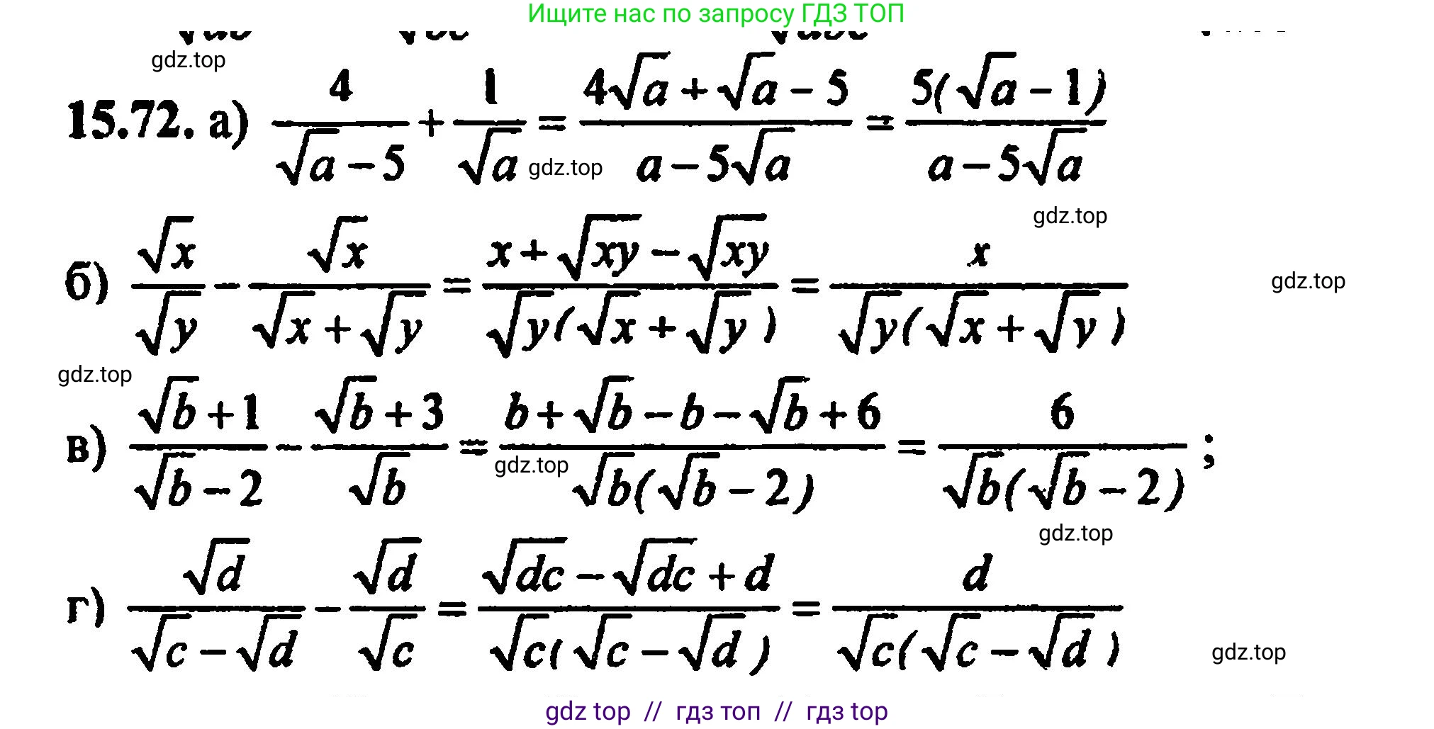
16.72 a) $\frac{4}{\sqrt{a} - 5} + \frac{1}{\sqrt{a}}$;
б) $\frac{\sqrt{x}}{\sqrt{y}} - \frac{\sqrt{x}}{\sqrt{x} + \sqrt{y}}$;
в) $\frac{\sqrt{b} + 1}{\sqrt{b} - 2} - \frac{\sqrt{b} + 3}{\sqrt{b}}$;
г) $\frac{\sqrt{d}}{\sqrt{c} - \sqrt{d}} - \frac{\sqrt{d}}{\sqrt{c}}$.
Решение 1. №16.72 (с. 87)




Решение 2. №16.72 (с. 87)

Решение 4. №16.72 (с. 87)

Решение 6. №16.72 (с. 87)
а) $\frac{4}{\sqrt{a}-5} + \frac{1}{\sqrt{a}}$
Чтобы сложить две дроби, их необходимо привести к общему знаменателю. В данном случае общий знаменатель — это произведение знаменателей исходных дробей: $\sqrt{a}(\sqrt{a}-5)$.
Домножим числитель и знаменатель первой дроби на $\sqrt{a}$, а второй дроби — на $(\sqrt{a}-5)$:
$\frac{4 \cdot \sqrt{a}}{(\sqrt{a}-5) \cdot \sqrt{a}} + \frac{1 \cdot (\sqrt{a}-5)}{\sqrt{a} \cdot (\sqrt{a}-5)} = \frac{4\sqrt{a}}{\sqrt{a}(\sqrt{a}-5)} + \frac{\sqrt{a}-5}{\sqrt{a}(\sqrt{a}-5)}$
Теперь, когда у дробей одинаковый знаменатель, сложим их числители:
$\frac{4\sqrt{a} + \sqrt{a}-5}{\sqrt{a}(\sqrt{a}-5)}$
Приведем подобные слагаемые в числителе:
$\frac{5\sqrt{a}-5}{\sqrt{a}(\sqrt{a}-5)}$
Можно вынести общий множитель 5 в числителе и раскрыть скобки в знаменателе для окончательного вида:
$\frac{5(\sqrt{a}-1)}{a-5\sqrt{a}}$
Ответ: $\frac{5(\sqrt{a}-1)}{a-5\sqrt{a}}$
б) $\frac{\sqrt{x}}{\sqrt{y}} - \frac{\sqrt{x}}{\sqrt{x}+\sqrt{y}}$
Приведем дроби к общему знаменателю $\sqrt{y}(\sqrt{x}+\sqrt{y})$. Для этого домножим первую дробь на $(\sqrt{x}+\sqrt{y})$, а вторую — на $\sqrt{y}$:
$\frac{\sqrt{x}(\sqrt{x}+\sqrt{y})}{\sqrt{y}(\sqrt{x}+\sqrt{y})} - \frac{\sqrt{x}\sqrt{y}}{(\sqrt{x}+\sqrt{y})\sqrt{y}}$
Выполним вычитание дробей с одинаковым знаменателем:
$\frac{\sqrt{x}(\sqrt{x}+\sqrt{y}) - \sqrt{x}\sqrt{y}}{\sqrt{y}(\sqrt{x}+\sqrt{y})}$
Раскроем скобки в числителе:
$\frac{(\sqrt{x})^2 + \sqrt{x}\sqrt{y} - \sqrt{x}\sqrt{y}}{\sqrt{y}(\sqrt{x}+\sqrt{y})} = \frac{x + \sqrt{xy} - \sqrt{xy}}{\sqrt{y}(\sqrt{x}+\sqrt{y})}$
Упростим числитель, сократив $\sqrt{xy}$ и $-\sqrt{xy}$:
$\frac{x}{\sqrt{y}(\sqrt{x}+\sqrt{y})}$
Раскроем скобки в знаменателе:
$\frac{x}{\sqrt{xy}+y}$
Ответ: $\frac{x}{y+\sqrt{xy}}$
в) $\frac{\sqrt{b}+1}{\sqrt{b}-2} - \frac{\sqrt{b}+3}{\sqrt{b}}$
Общий знаменатель для этих дробей равен $\sqrt{b}(\sqrt{b}-2)$. Приведем дроби к этому знаменателю:
$\frac{(\sqrt{b}+1)\sqrt{b}}{(\sqrt{b}-2)\sqrt{b}} - \frac{(\sqrt{b}+3)(\sqrt{b}-2)}{\sqrt{b}(\sqrt{b}-2)}$
Запишем разность числителей под общим знаменателем:
$\frac{(\sqrt{b}+1)\sqrt{b} - (\sqrt{b}+3)(\sqrt{b}-2)}{\sqrt{b}(\sqrt{b}-2)}$
Раскроем скобки в числителе. Для первого произведения: $(\sqrt{b}+1)\sqrt{b} = (\sqrt{b})^2 + \sqrt{b} = b + \sqrt{b}$. Для второго произведения: $(\sqrt{b}+3)(\sqrt{b}-2) = (\sqrt{b})^2 - 2\sqrt{b} + 3\sqrt{b} - 6 = b + \sqrt{b} - 6$.
Подставим раскрытые выражения в числитель:
$\frac{(b+\sqrt{b}) - (b+\sqrt{b}-6)}{\sqrt{b}(\sqrt{b}-2)}$
Раскроем вторые скобки в числителе, изменив знаки:
$\frac{b+\sqrt{b}-b-\sqrt{b}+6}{\sqrt{b}(\sqrt{b}-2)}$
Сократим подобные члены в числителе:
$\frac{6}{\sqrt{b}(\sqrt{b}-2)}$
Раскроем скобки в знаменателе:
$\frac{6}{b-2\sqrt{b}}$
Ответ: $\frac{6}{b-2\sqrt{b}}$
г) $\frac{\sqrt{d}}{\sqrt{c}-\sqrt{d}} - \frac{\sqrt{d}}{\sqrt{c}}$
Находим общий знаменатель, который равен $\sqrt{c}(\sqrt{c}-\sqrt{d})$. Домножаем первую дробь на $\sqrt{c}$, а вторую — на $(\sqrt{c}-\sqrt{d})$:
$\frac{\sqrt{d}\sqrt{c}}{(\sqrt{c}-\sqrt{d})\sqrt{c}} - \frac{\sqrt{d}(\sqrt{c}-\sqrt{d})}{\sqrt{c}(\sqrt{c}-\sqrt{d})}$
Выполняем вычитание:
$\frac{\sqrt{d}\sqrt{c} - \sqrt{d}(\sqrt{c}-\sqrt{d})}{\sqrt{c}(\sqrt{c}-\sqrt{d})}$
Раскрываем скобки в числителе:
$\frac{\sqrt{cd} - (\sqrt{cd} - (\sqrt{d})^2)}{\sqrt{c}(\sqrt{c}-\sqrt{d})} = \frac{\sqrt{cd} - \sqrt{cd} + d}{\sqrt{c}(\sqrt{c}-\sqrt{d})}$
Упрощаем числитель:
$\frac{d}{\sqrt{c}(\sqrt{c}-\sqrt{d})}$
Раскрываем скобки в знаменателе:
$\frac{d}{c-\sqrt{cd}}$
Ответ: $\frac{d}{c-\sqrt{cd}}$
Другие задания:
Помогло решение? Оставьте отзыв в комментариях ниже.
Присоединяйтесь к Телеграм-группе @top_gdz
ПрисоединитьсяМы подготовили для вас ответ c подробным объяснением домашего задания по алгебре за 8 класс, для упражнения номер 16.72 расположенного на странице 87 для 2-й части к учебнику 2019 года издания для учащихся школ и гимназий.
Теперь на нашем сайте ГДЗ.ТОП вы всегда легко и бесплатно найдёте условие с правильным ответом на вопрос «Как решить ДЗ» и «Как сделать» задание по алгебре к упражнению №16.72 (с. 87), авторов: Мордкович (Александр Григорьевич), Александрова (Лилия Александровна), Мишустина (Татьяна Николаевна), Тульчинская (Елена Ефимовна), Семенов (Павел Владимирович), 2-й части учебного пособия издательства Мнемозина.