Номер 16.73, страница 88, часть 2 - гдз по алгебре 8 класс учебник Мордкович, Александрова

Авторы: Мордкович А. Г., Александрова Л. А., Мишустина Т. Н., Тульчинская Е. Е., Семенов П. В.
Тип: Учебник
Издательство: Мнемозина
Год издания: 2019 - 2025
Часть: 2
Цвет обложки:
Допущено Министерством просвещения Российской Федерации
Популярные ГДЗ в 8 классе
Параграф 16. Преобразование выражений, содержащих операцию извлечения квадратного корня. Глава 2. Функция у =√х свойства квадратного корня. Часть 2 - номер 16.73, страница 88.
№16.73 (с. 88)
Условие. №16.73 (с. 88)
скриншот условия

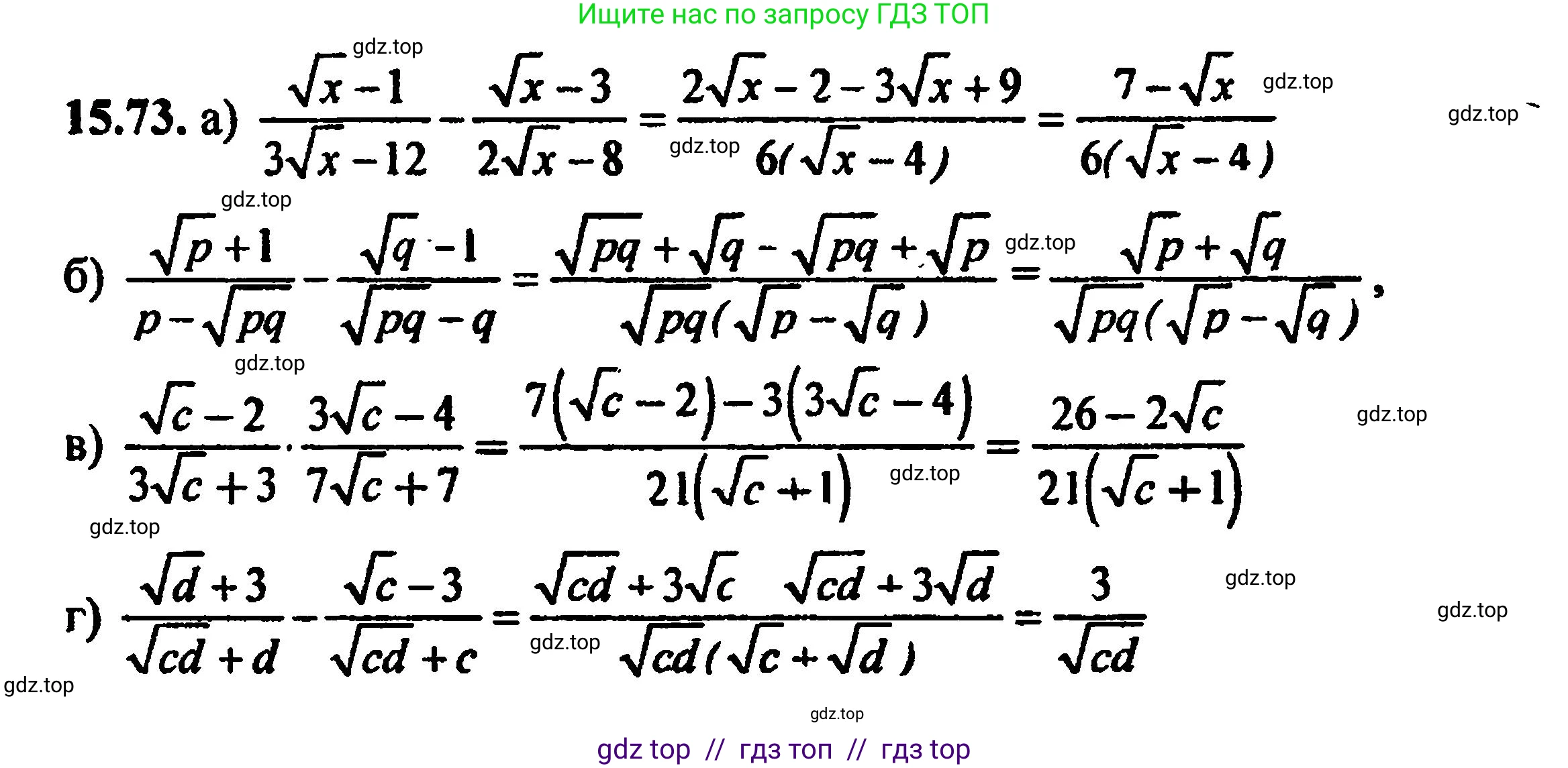
16.73 a) $\frac{\sqrt{x}-1}{3\sqrt{x}-12} - \frac{\sqrt{x}-2}{2\sqrt{x}-8}$;
б) $\frac{\sqrt{p}+1}{p-\sqrt{pq}} - \frac{\sqrt{q}+1}{\sqrt{pq}-q}$;
в) $\frac{\sqrt{c}-2}{3\sqrt{c}+3} - \frac{3\sqrt{c}-4}{7\sqrt{c}+7}$;
г) $\frac{\sqrt{d}+3}{\sqrt{cd}+d} - \frac{\sqrt{c}-3}{\sqrt{cd}+c}$.
Решение 1. №16.73 (с. 88)




Решение 2. №16.73 (с. 88)

Решение 4. №16.73 (с. 88)

Решение 6. №16.73 (с. 88)
а) Упростим выражение $\frac{\sqrt{x}-1}{3\sqrt{x}-12} - \frac{\sqrt{x}-2}{2\sqrt{x}-8}$. Для этого приведем дроби к общему знаменателю. Сначала разложим знаменатели на множители. Знаменатель первой дроби: $3\sqrt{x}-12 = 3(\sqrt{x}-4)$. Знаменатель второй дроби: $2\sqrt{x}-8 = 2(\sqrt{x}-4)$. Наименьший общий знаменатель равен $6(\sqrt{x}-4)$. Дополнительный множитель для первой дроби — 2, для второй — 3. Получаем: $\frac{2(\sqrt{x}-1)}{6(\sqrt{x}-4)} - \frac{3(\sqrt{x}-2)}{6(\sqrt{x}-4)} = \frac{2(\sqrt{x}-1) - 3(\sqrt{x}-2)}{6(\sqrt{x}-4)}$. Раскроем скобки в числителе и приведем подобные слагаемые: $\frac{2\sqrt{x}-2 - 3\sqrt{x}+6}{6(\sqrt{x}-4)} = \frac{-\sqrt{x}+4}{6(\sqrt{x}-4)}$. Вынесем в числителе -1 за скобки: $\frac{-(\sqrt{x}-4)}{6(\sqrt{x}-4)}$. Сократив дробь на $(\sqrt{x}-4)$, получим $-\frac{1}{6}$. Ответ: $-\frac{1}{6}$
б) Упростим выражение $\frac{\sqrt{p}+1}{p-\sqrt{pq}} - \frac{\sqrt{q}+1}{\sqrt{pq}-q}$. Разложим знаменатели на множители. Знаменатель первой дроби: $p-\sqrt{pq} = \sqrt{p}(\sqrt{p}-\sqrt{q})$. Знаменатель второй дроби: $\sqrt{pq}-q = \sqrt{q}(\sqrt{p}-\sqrt{q})$. Общий знаменатель равен $\sqrt{pq}(\sqrt{p}-\sqrt{q})$. Дополнительный множитель для первой дроби — $\sqrt{q}$, для второй — $\sqrt{p}$. Получаем: $\frac{\sqrt{q}(\sqrt{p}+1)}{\sqrt{pq}(\sqrt{p}-\sqrt{q})} - \frac{\sqrt{p}(\sqrt{q}+1)}{\sqrt{pq}(\sqrt{p}-\sqrt{q})} = \frac{\sqrt{q}(\sqrt{p}+1) - \sqrt{p}(\sqrt{q}+1)}{\sqrt{pq}(\sqrt{p}-\sqrt{q})}$. Раскроем скобки в числителе: $\frac{\sqrt{pq}+\sqrt{q} - \sqrt{pq}-\sqrt{p}}{\sqrt{pq}(\sqrt{p}-\sqrt{q})}$. Упростим числитель: $\frac{\sqrt{q}-\sqrt{p}}{\sqrt{pq}(\sqrt{p}-\sqrt{q})}$. Вынесем -1 за скобки в числителе: $\frac{-(\sqrt{p}-\sqrt{q})}{\sqrt{pq}(\sqrt{p}-\sqrt{q})}$. Сократим дробь на $(\sqrt{p}-\sqrt{q})$. Ответ: $-\frac{1}{\sqrt{pq}}$
в) Упростим выражение $\frac{\sqrt{c}-2}{3\sqrt{c}+3} - \frac{3\sqrt{c}-4}{7\sqrt{c}+7}$. Разложим знаменатели на множители. Знаменатель первой дроби: $3\sqrt{c}+3 = 3(\sqrt{c}+1)$. Знаменатель второй дроби: $7\sqrt{c}+7 = 7(\sqrt{c}+1)$. Общий знаменатель равен $21(\sqrt{c}+1)$. Дополнительный множитель для первой дроби — 7, для второй — 3. Получаем: $\frac{7(\sqrt{c}-2)}{21(\sqrt{c}+1)} - \frac{3(3\sqrt{c}-4)}{21(\sqrt{c}+1)} = \frac{7(\sqrt{c}-2) - 3(3\sqrt{c}-4)}{21(\sqrt{c}+1)}$. Раскроем скобки в числителе и приведем подобные слагаемые: $\frac{7\sqrt{c}-14 - 9\sqrt{c}+12}{21(\sqrt{c}+1)} = \frac{-2\sqrt{c}-2}{21(\sqrt{c}+1)}$. Вынесем в числителе -2 за скобки: $\frac{-2(\sqrt{c}+1)}{21(\sqrt{c}+1)}$. Сократив дробь на $(\sqrt{c}+1)$, получим $-\frac{2}{21}$. Ответ: $-\frac{2}{21}$
г) Упростим выражение $\frac{\sqrt{d}+3}{\sqrt{cd}+d} - \frac{\sqrt{c}-3}{\sqrt{cd}+c}$. Разложим знаменатели на множители. Знаменатель первой дроби: $\sqrt{cd}+d = \sqrt{d}(\sqrt{c}+\sqrt{d})$. Знаменатель второй дроби: $\sqrt{cd}+c = \sqrt{c}(\sqrt{d}+\sqrt{c})$. Общий знаменатель равен $\sqrt{cd}(\sqrt{c}+\sqrt{d})$. Дополнительный множитель для первой дроби — $\sqrt{c}$, для второй — $\sqrt{d}$. Получаем: $\frac{\sqrt{c}(\sqrt{d}+3)}{\sqrt{cd}(\sqrt{c}+\sqrt{d})} - \frac{\sqrt{d}(\sqrt{c}-3)}{\sqrt{cd}(\sqrt{c}+\sqrt{d})} = \frac{\sqrt{c}(\sqrt{d}+3) - \sqrt{d}(\sqrt{c}-3)}{\sqrt{cd}(\sqrt{c}+\sqrt{d})}$. Раскроем скобки в числителе: $\frac{\sqrt{cd}+3\sqrt{c} - \sqrt{cd}+3\sqrt{d}}{\sqrt{cd}(\sqrt{c}+\sqrt{d})}$. Упростим числитель: $\frac{3\sqrt{c}+3\sqrt{d}}{\sqrt{cd}(\sqrt{c}+\sqrt{d})}$. Вынесем в числителе 3 за скобки: $\frac{3(\sqrt{c}+\sqrt{d})}{\sqrt{cd}(\sqrt{c}+\sqrt{d})}$. Сократим дробь на $(\sqrt{c}+\sqrt{d})$. Ответ: $\frac{3}{\sqrt{cd}}$
Другие задания:
Помогло решение? Оставьте отзыв в комментариях ниже.
Присоединяйтесь к Телеграм-группе @top_gdz
ПрисоединитьсяМы подготовили для вас ответ c подробным объяснением домашего задания по алгебре за 8 класс, для упражнения номер 16.73 расположенного на странице 88 для 2-й части к учебнику 2019 года издания для учащихся школ и гимназий.
Теперь на нашем сайте ГДЗ.ТОП вы всегда легко и бесплатно найдёте условие с правильным ответом на вопрос «Как решить ДЗ» и «Как сделать» задание по алгебре к упражнению №16.73 (с. 88), авторов: Мордкович (Александр Григорьевич), Александрова (Лилия Александровна), Мишустина (Татьяна Николаевна), Тульчинская (Елена Ефимовна), Семенов (Павел Владимирович), 2-й части учебного пособия издательства Мнемозина.