Номер 16.78, страница 88, часть 2 - гдз по алгебре 8 класс учебник Мордкович, Александрова

Авторы: Мордкович А. Г., Александрова Л. А., Мишустина Т. Н., Тульчинская Е. Е., Семенов П. В.
Тип: Учебник
Издательство: Мнемозина
Год издания: 2019 - 2025
Часть: 2
Цвет обложки:
Допущено Министерством просвещения Российской Федерации
Популярные ГДЗ в 8 классе
Параграф 16. Преобразование выражений, содержащих операцию извлечения квадратного корня. Глава 2. Функция у =√х свойства квадратного корня. Часть 2 - номер 16.78, страница 88.
№16.78 (с. 88)
Условие. №16.78 (с. 88)
скриншот условия

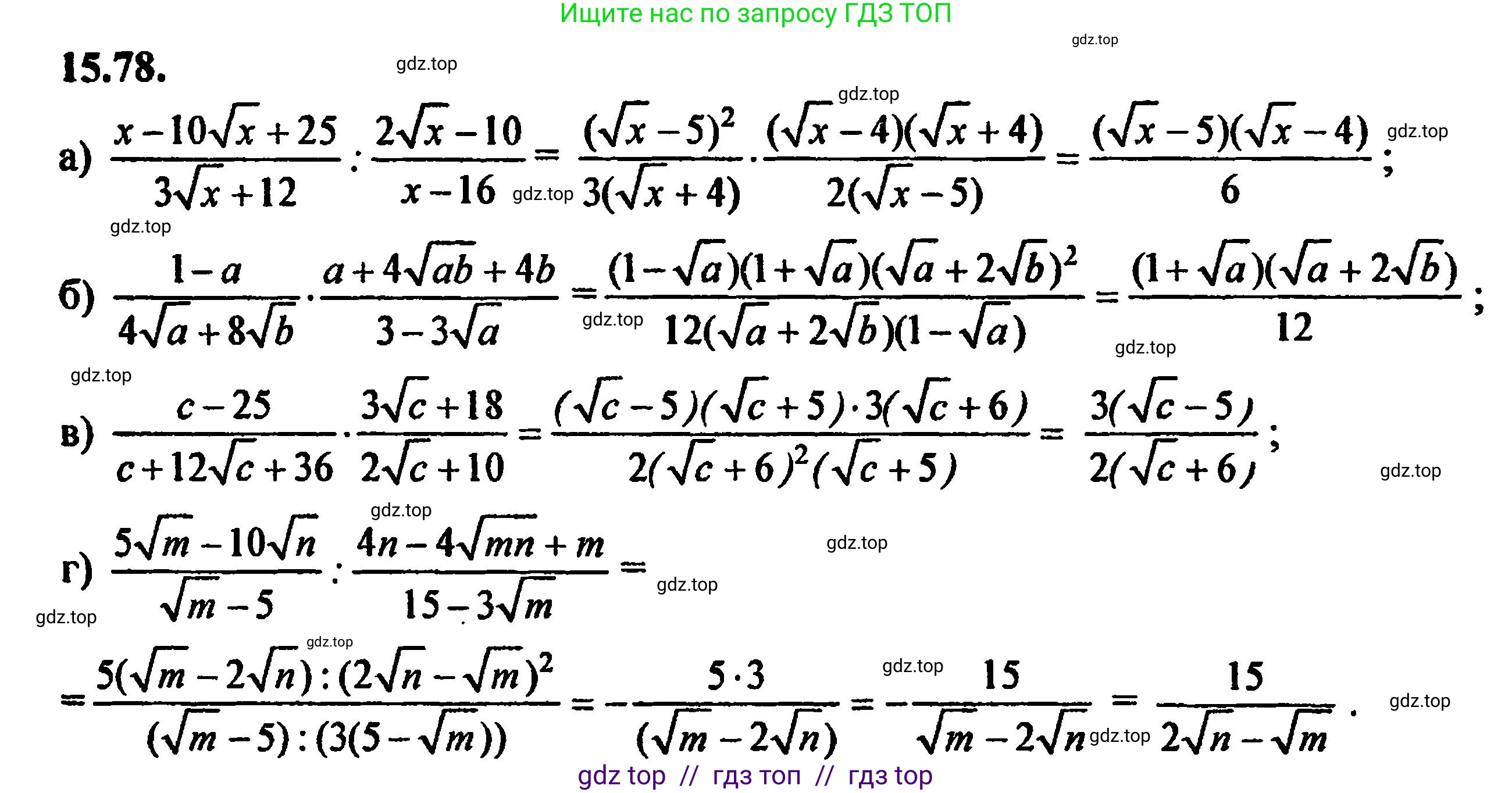
16.78 a) $\frac{x - 10\sqrt{x} + 25}{3\sqrt{x} + 12} : \frac{2\sqrt{x} - 10}{x - 16}$;
б) $\frac{1 - a}{4\sqrt{a} + 8\sqrt{b}} \cdot \frac{a + 4\sqrt{ab} + 4b}{3 - 3\sqrt{a}};
в) $\frac{c - 25}{c + 12\sqrt{c} + 36} \cdot \frac{3\sqrt{c} + 18}{2\sqrt{c} + 10}$;
г) $\frac{5\sqrt{m} - 10\sqrt{n}}{\sqrt{m} - 5} : \frac{4n - 4\sqrt{mn} + m}{15 - 3\sqrt{m}}$.
Решение 1. №16.78 (с. 88)


Решение 2. №16.78 (с. 88)

Решение 4. №16.78 (с. 88)

Решение 6. №16.78 (с. 88)
а)
Упростим выражение $ \frac{x - 10\sqrt{x} + 25}{3\sqrt{x} + 12} : \frac{2\sqrt{x} - 10}{x - 16} $.
1. Заменим деление на умножение, перевернув вторую дробь:
$ \frac{x - 10\sqrt{x} + 25}{3\sqrt{x} + 12} \cdot \frac{x - 16}{2\sqrt{x} - 10} $
2. Разложим на множители числители и знаменатели дробей. Будем использовать формулы сокращенного умножения: квадрат разности $ (a-b)^2 = a^2 - 2ab + b^2 $ и разность квадратов $ a^2 - b^2 = (a-b)(a+b) $.
Числитель первой дроби: $ x - 10\sqrt{x} + 25 = (\sqrt{x})^2 - 2 \cdot \sqrt{x} \cdot 5 + 5^2 = (\sqrt{x} - 5)^2 $.
Знаменатель первой дроби: $ 3\sqrt{x} + 12 = 3(\sqrt{x} + 4) $.
Числитель второй дроби (знаменатель исходной второй дроби): $ x - 16 = (\sqrt{x})^2 - 4^2 = (\sqrt{x} - 4)(\sqrt{x} + 4) $.
Знаменатель второй дроби (числитель исходной второй дроби): $ 2\sqrt{x} - 10 = 2(\sqrt{x} - 5) $.
3. Подставим разложенные выражения в наше произведение:
$ \frac{(\sqrt{x} - 5)^2}{3(\sqrt{x} + 4)} \cdot \frac{(\sqrt{x} - 4)(\sqrt{x} + 4)}{2(\sqrt{x} - 5)} $
4. Сократим общие множители $ (\sqrt{x} - 5) $ и $ (\sqrt{x} + 4) $ в числителе и знаменателе:
$ \frac{(\sqrt{x} - 5)^{\cancel{2}}}{3\cancel{(\sqrt{x} + 4)}} \cdot \frac{(\sqrt{x} - 4)\cancel{(\sqrt{x} + 4)}}{2\cancel{(\sqrt{x} - 5)}} = \frac{(\sqrt{x} - 5)(\sqrt{x} - 4)}{3 \cdot 2} = \frac{(\sqrt{x} - 5)(\sqrt{x} - 4)}{6} $
Ответ: $ \frac{(\sqrt{x} - 5)(\sqrt{x} - 4)}{6} $
б)
Упростим выражение $ \frac{1 - a}{4\sqrt{a} + 8\sqrt{b}} \cdot \frac{a + 4\sqrt{ab} + 4b}{3 - 3\sqrt{a}} $.
1. Разложим на множители числители и знаменатели дробей.
Числитель первой дроби: $ 1 - a = 1^2 - (\sqrt{a})^2 = (1 - \sqrt{a})(1 + \sqrt{a}) $.
Знаменатель первой дроби: $ 4\sqrt{a} + 8\sqrt{b} = 4(\sqrt{a} + 2\sqrt{b}) $.
Числитель второй дроби: $ a + 4\sqrt{ab} + 4b = (\sqrt{a})^2 + 2 \cdot \sqrt{a} \cdot 2\sqrt{b} + (2\sqrt{b})^2 = (\sqrt{a} + 2\sqrt{b})^2 $.
Знаменатель второй дроби: $ 3 - 3\sqrt{a} = 3(1 - \sqrt{a}) $.
2. Подставим разложенные выражения и выполним умножение:
$ \frac{(1 - \sqrt{a})(1 + \sqrt{a})}{4(\sqrt{a} + 2\sqrt{b})} \cdot \frac{(\sqrt{a} + 2\sqrt{b})^2}{3(1 - \sqrt{a})} $
3. Сократим общие множители $ (1 - \sqrt{a}) $ и $ (\sqrt{a} + 2\sqrt{b}) $:
$ \frac{\cancel{(1 - \sqrt{a})}(1 + \sqrt{a})}{4\cancel{(\sqrt{a} + 2\sqrt{b})}} \cdot \frac{(\sqrt{a} + 2\sqrt{b})^{\cancel{2}}}{3\cancel{(1 - \sqrt{a})}} = \frac{(1 + \sqrt{a})(\sqrt{a} + 2\sqrt{b})}{4 \cdot 3} = \frac{(1 + \sqrt{a})(\sqrt{a} + 2\sqrt{b})}{12} $
Ответ: $ \frac{(1 + \sqrt{a})(\sqrt{a} + 2\sqrt{b})}{12} $
в)
Упростим выражение $ \frac{c - 25}{c + 12\sqrt{c} + 36} \cdot \frac{3\sqrt{c} + 18}{2\sqrt{c} + 10} $.
1. Разложим на множители числители и знаменатели дробей.
Числитель первой дроби: $ c - 25 = (\sqrt{c})^2 - 5^2 = (\sqrt{c} - 5)(\sqrt{c} + 5) $.
Знаменатель первой дроби: $ c + 12\sqrt{c} + 36 = (\sqrt{c})^2 + 2 \cdot \sqrt{c} \cdot 6 + 6^2 = (\sqrt{c} + 6)^2 $.
Числитель второй дроби: $ 3\sqrt{c} + 18 = 3(\sqrt{c} + 6) $.
Знаменатель второй дроби: $ 2\sqrt{c} + 10 = 2(\sqrt{c} + 5) $.
2. Подставим разложенные выражения и выполним умножение:
$ \frac{(\sqrt{c} - 5)(\sqrt{c} + 5)}{(\sqrt{c} + 6)^2} \cdot \frac{3(\sqrt{c} + 6)}{2(\sqrt{c} + 5)} $
3. Сократим общие множители $ (\sqrt{c} + 5) $ и $ (\sqrt{c} + 6) $:
$ \frac{(\sqrt{c} - 5)\cancel{(\sqrt{c} + 5)}}{(\sqrt{c} + 6)^{\cancel{2}}} \cdot \frac{3\cancel{(\sqrt{c} + 6)}}{2\cancel{(\sqrt{c} + 5)}} = \frac{3(\sqrt{c} - 5)}{2(\sqrt{c} + 6)} $
Ответ: $ \frac{3(\sqrt{c} - 5)}{2(\sqrt{c} + 6)} $
г)
Упростим выражение $ \frac{5\sqrt{m} - 10\sqrt{n}}{\sqrt{m} - 5} : \frac{4n - 4\sqrt{mn} + m}{15 - 3\sqrt{m}} $.
1. Заменим деление на умножение, перевернув вторую дробь:
$ \frac{5\sqrt{m} - 10\sqrt{n}}{\sqrt{m} - 5} \cdot \frac{15 - 3\sqrt{m}}{4n - 4\sqrt{mn} + m} $
2. Разложим на множители числители и знаменатели дробей.
Числитель первой дроби: $ 5\sqrt{m} - 10\sqrt{n} = 5(\sqrt{m} - 2\sqrt{n}) $.
Знаменатель первой дроби: $ \sqrt{m} - 5 $.
Числитель второй дроби: $ 15 - 3\sqrt{m} = 3(5 - \sqrt{m}) = -3(\sqrt{m} - 5) $.
Знаменатель второй дроби: $ 4n - 4\sqrt{mn} + m = m - 4\sqrt{mn} + 4n = (\sqrt{m})^2 - 2 \cdot \sqrt{m} \cdot 2\sqrt{n} + (2\sqrt{n})^2 = (\sqrt{m} - 2\sqrt{n})^2 $.
3. Подставим разложенные выражения в наше произведение:
$ \frac{5(\sqrt{m} - 2\sqrt{n})}{\sqrt{m} - 5} \cdot \frac{-3(\sqrt{m} - 5)}{(\sqrt{m} - 2\sqrt{n})^2} $
4. Сократим общие множители $ (\sqrt{m} - 5) $ и $ (\sqrt{m} - 2\sqrt{n}) $:
$ \frac{5\cancel{(\sqrt{m} - 2\sqrt{n})}}{\cancel{\sqrt{m} - 5}} \cdot \frac{-3\cancel{(\sqrt{m} - 5)}}{(\sqrt{m} - 2\sqrt{n})^{\cancel{2}}} = \frac{5 \cdot (-3)}{\sqrt{m} - 2\sqrt{n}} = -\frac{15}{\sqrt{m} - 2\sqrt{n}} $
Ответ: $ -\frac{15}{\sqrt{m} - 2\sqrt{n}} $
Другие задания:
Помогло решение? Оставьте отзыв в комментариях ниже.
Присоединяйтесь к Телеграм-группе @top_gdz
ПрисоединитьсяМы подготовили для вас ответ c подробным объяснением домашего задания по алгебре за 8 класс, для упражнения номер 16.78 расположенного на странице 88 для 2-й части к учебнику 2019 года издания для учащихся школ и гимназий.
Теперь на нашем сайте ГДЗ.ТОП вы всегда легко и бесплатно найдёте условие с правильным ответом на вопрос «Как решить ДЗ» и «Как сделать» задание по алгебре к упражнению №16.78 (с. 88), авторов: Мордкович (Александр Григорьевич), Александрова (Лилия Александровна), Мишустина (Татьяна Николаевна), Тульчинская (Елена Ефимовна), Семенов (Павел Владимирович), 2-й части учебного пособия издательства Мнемозина.