Номер 16.90, страница 90, часть 2 - гдз по алгебре 8 класс учебник Мордкович, Александрова

Авторы: Мордкович А. Г., Александрова Л. А., Мишустина Т. Н., Тульчинская Е. Е., Семенов П. В.
Тип: Учебник
Издательство: Мнемозина
Год издания: 2019 - 2025
Часть: 2
Цвет обложки:
Допущено Министерством просвещения Российской Федерации
Популярные ГДЗ в 8 классе
Параграф 16. Преобразование выражений, содержащих операцию извлечения квадратного корня. Глава 2. Функция у =√х свойства квадратного корня. Часть 2 - номер 16.90, страница 90.
№16.90 (с. 90)
Условие. №16.90 (с. 90)
скриншот условия

16.90 а) $(\frac{\sqrt{m}}{n - \sqrt{mn}} + \frac{\sqrt{n}}{m - \sqrt{mn}}) \cdot \frac{\sqrt{mn}}{\sqrt{n} + \sqrt{m}} = -1;$
б) $(\frac{\sqrt{a}}{\sqrt{a} - \sqrt{b}} - \frac{\sqrt{b}}{\sqrt{a} + \sqrt{b}}) \cdot \frac{a - b}{a^2 + ab} = \frac{1}{a};$
в) $(\frac{1}{\sqrt{y}} - \frac{2}{\sqrt{x} + \sqrt{y}}) : (\sqrt{x} - \frac{x + y}{\sqrt{x} + \sqrt{y}}) = \frac{1}{y};$
г) $\frac{z + 2\sqrt{z}}{\sqrt{z} - 2} : (\frac{\sqrt{z}}{\sqrt{z} - 2} - \frac{z - 12}{z - 4} - \frac{4}{z + 2\sqrt{z}}) = \frac{z}{2}.$
Решение 1. №16.90 (с. 90)




Решение 2. №16.90 (с. 90)


Решение 4. №16.90 (с. 90)



Решение 6. №16.90 (с. 90)
а) Докажем тождество $(\frac{\sqrt{m}}{n - \sqrt{mn}} + \frac{\sqrt{n}}{m - \sqrt{mn}}) \cdot \frac{\sqrt{mn}}{\sqrt{n} + \sqrt{m}} = -1$.
1. Упростим выражение в скобках. Для этого разложим знаменатели на множители:
$n - \sqrt{mn} = \sqrt{n}(\sqrt{n} - \sqrt{m})$
$m - \sqrt{mn} = \sqrt{m}(\sqrt{m} - \sqrt{n}) = -\sqrt{m}(\sqrt{n} - \sqrt{m})$
Теперь приведем дроби к общему знаменателю $\sqrt{mn}(\sqrt{n} - \sqrt{m})$:
$\frac{\sqrt{m}}{\sqrt{n}(\sqrt{n} - \sqrt{m})} + \frac{\sqrt{n}}{-\sqrt{m}(\sqrt{n} - \sqrt{m})} = \frac{\sqrt{m}}{\sqrt{n}(\sqrt{n} - \sqrt{m})} - \frac{\sqrt{n}}{\sqrt{m}(\sqrt{n} - \sqrt{m})} = \frac{\sqrt{m} \cdot \sqrt{m} - \sqrt{n} \cdot \sqrt{n}}{\sqrt{mn}(\sqrt{n} - \sqrt{m})} = \frac{m - n}{\sqrt{mn}(\sqrt{n} - \sqrt{m})}$
2. Разложим числитель по формуле разности квадратов: $m - n = (\sqrt{m} - \sqrt{n})(\sqrt{m} + \sqrt{n}) = -(\sqrt{n} - \sqrt{m})(\sqrt{n} + \sqrt{m})$.
$\frac{-(\sqrt{n} - \sqrt{m})(\sqrt{n} + \sqrt{m})}{\sqrt{mn}(\sqrt{n} - \sqrt{m})} = -\frac{\sqrt{n} + \sqrt{m}}{\sqrt{mn}}$
3. Выполним умножение:
$(-\frac{\sqrt{n} + \sqrt{m}}{\sqrt{mn}}) \cdot \frac{\sqrt{mn}}{\sqrt{n} + \sqrt{m}} = -1$
Тождество доказано.
Ответ: -1.
б) Докажем тождество $(\frac{\sqrt{a}}{\sqrt{a} - \sqrt{b}} - \frac{\sqrt{b}}{\sqrt{a} + \sqrt{b}}) \cdot \frac{a - b}{a^2 + ab} = \frac{1}{a}$.
1. Упростим выражение в скобках, приведя дроби к общему знаменателю $(\sqrt{a} - \sqrt{b})(\sqrt{a} + \sqrt{b}) = a-b$:
$\frac{\sqrt{a}(\sqrt{a} + \sqrt{b}) - \sqrt{b}(\sqrt{a} - \sqrt{b})}{(\sqrt{a} - \sqrt{b})(\sqrt{a} + \sqrt{b})} = \frac{a + \sqrt{ab} - \sqrt{ab} + b}{a - b} = \frac{a + b}{a - b}$
2. Упростим второй множитель:
$\frac{a - b}{a^2 + ab} = \frac{a - b}{a(a + b)}$
3. Выполним умножение:
$\frac{a + b}{a - b} \cdot \frac{a - b}{a(a + b)} = \frac{1}{a}$
Тождество доказано.
Ответ: $\frac{1}{a}$.
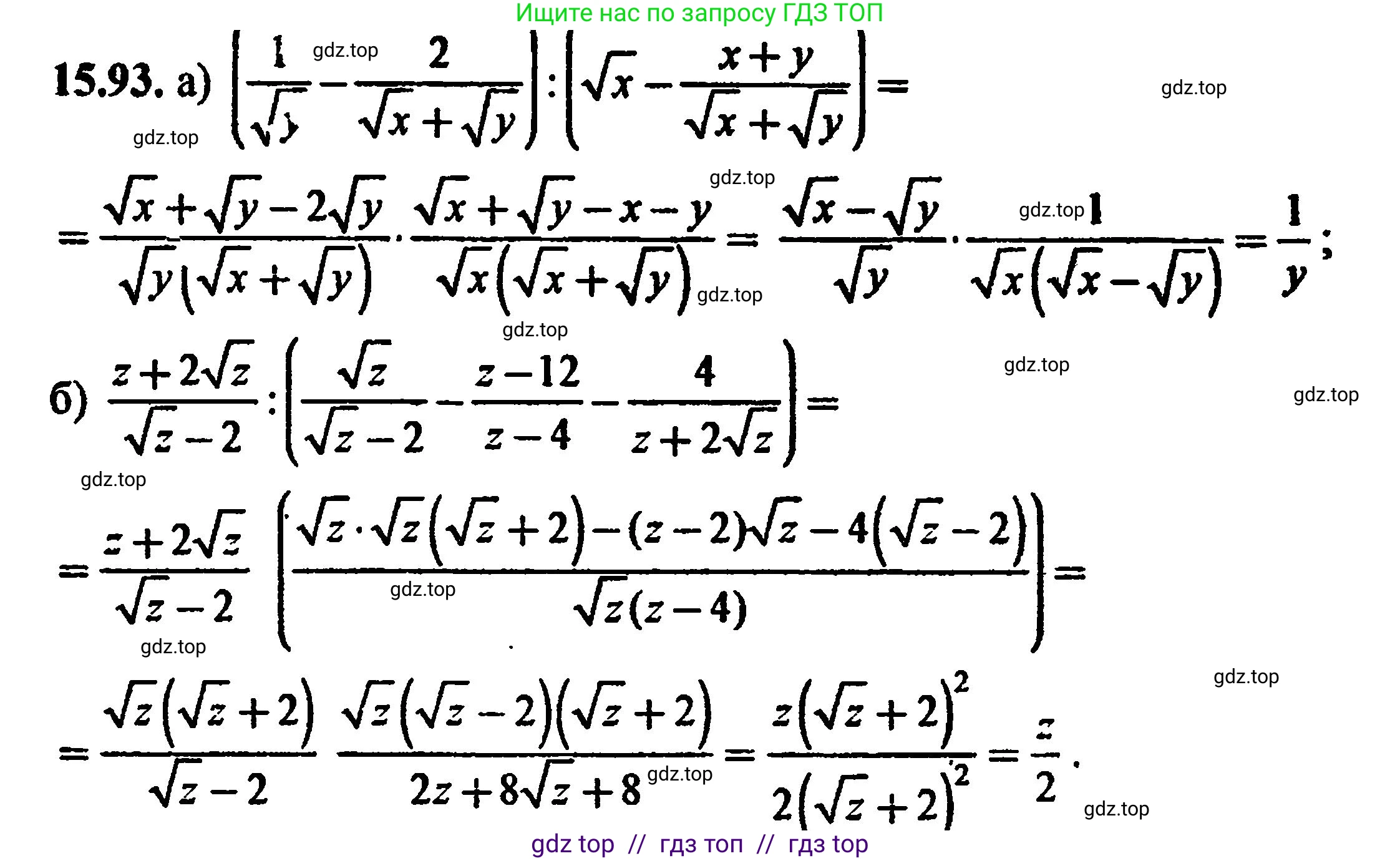
в) Докажем тождество $(\frac{1}{\sqrt{y}} - \frac{2}{\sqrt{x} + \sqrt{y}}) : (\sqrt{x} - \frac{x + y}{\sqrt{x} + \sqrt{y}}) = \frac{1}{y}$.
1. Упростим выражение в первых скобках:
$\frac{1}{\sqrt{y}} - \frac{2}{\sqrt{x} + \sqrt{y}} = \frac{\sqrt{x} + \sqrt{y} - 2\sqrt{y}}{\sqrt{y}(\sqrt{x} + \sqrt{y})} = \frac{\sqrt{x} - \sqrt{y}}{\sqrt{y}(\sqrt{x} + \sqrt{y})}$
2. Упростим выражение во вторых скобках:
$\sqrt{x} - \frac{x + y}{\sqrt{x} + \sqrt{y}} = \frac{\sqrt{x}(\sqrt{x} + \sqrt{y}) - (x + y)}{\sqrt{x} + \sqrt{y}} = \frac{x + \sqrt{xy} - x - y}{\sqrt{x} + \sqrt{y}} = \frac{\sqrt{xy} - y}{\sqrt{x} + \sqrt{y}} = \frac{\sqrt{y}(\sqrt{x} - \sqrt{y})}{\sqrt{x} + \sqrt{y}}$
3. Выполним деление:
$\frac{\sqrt{x} - \sqrt{y}}{\sqrt{y}(\sqrt{x} + \sqrt{y})} : \frac{\sqrt{y}(\sqrt{x} - \sqrt{y})}{\sqrt{x} + \sqrt{y}} = \frac{\sqrt{x} - \sqrt{y}}{\sqrt{y}(\sqrt{x} + \sqrt{y})} \cdot \frac{\sqrt{x} + \sqrt{y}}{\sqrt{y}(\sqrt{x} - \sqrt{y})} = \frac{1}{\sqrt{y} \cdot \sqrt{y}} = \frac{1}{y}$
Тождество доказано.
Ответ: $\frac{1}{y}$.
г) Докажем тождество $\frac{z + 2\sqrt{z}}{\sqrt{z} - 2} : (\frac{\sqrt{z}}{\sqrt{z} - 2} - \frac{z - 12}{z - 4} - \frac{4}{z + 2\sqrt{z}}) = \frac{z}{2}$.
1. Упростим выражение в скобках. Сначала преобразуем знаменатели: $z - 4 = (\sqrt{z} - 2)(\sqrt{z} + 2)$ и $z + 2\sqrt{z} = \sqrt{z}(\sqrt{z} + 2)$. Общий знаменатель: $\sqrt{z}(\sqrt{z} - 2)(\sqrt{z} + 2)$.
$\frac{\sqrt{z} \cdot \sqrt{z}(\sqrt{z} + 2) - (z - 12)\sqrt{z} - 4(\sqrt{z} - 2)}{\sqrt{z}(\sqrt{z} - 2)(\sqrt{z} + 2)} = \frac{z(\sqrt{z} + 2) - z\sqrt{z} + 12\sqrt{z} - 4\sqrt{z} + 8}{\sqrt{z}(z - 4)} = \frac{z\sqrt{z} + 2z - z\sqrt{z} + 8\sqrt{z} + 8}{\sqrt{z}(z - 4)} = \frac{2z + 8\sqrt{z} + 8}{\sqrt{z}(z - 4)}$
2. В числителе вынесем 2 за скобки и свернем по формуле квадрата суммы: $2(z + 4\sqrt{z} + 4) = 2(\sqrt{z} + 2)^2$.
Выражение в скобках равно: $\frac{2(\sqrt{z} + 2)^2}{\sqrt{z}(\sqrt{z} - 2)(\sqrt{z} + 2)} = \frac{2(\sqrt{z} + 2)}{\sqrt{z}(\sqrt{z} - 2)}$
3. Упростим делимое: $\frac{z + 2\sqrt{z}}{\sqrt{z} - 2} = \frac{\sqrt{z}(\sqrt{z} + 2)}{\sqrt{z} - 2}$.
4. Выполним деление:
$\frac{\sqrt{z}(\sqrt{z} + 2)}{\sqrt{z} - 2} : \frac{2(\sqrt{z} + 2)}{\sqrt{z}(\sqrt{z} - 2)} = \frac{\sqrt{z}(\sqrt{z} + 2)}{\sqrt{z} - 2} \cdot \frac{\sqrt{z}(\sqrt{z} - 2)}{2(\sqrt{z} + 2)} = \frac{\sqrt{z} \cdot \sqrt{z}}{2} = \frac{z}{2}$
Тождество доказано.
Ответ: $\frac{z}{2}$.
Другие задания:
Помогло решение? Оставьте отзыв в комментариях ниже.
Присоединяйтесь к Телеграм-группе @top_gdz
ПрисоединитьсяМы подготовили для вас ответ c подробным объяснением домашего задания по алгебре за 8 класс, для упражнения номер 16.90 расположенного на странице 90 для 2-й части к учебнику 2019 года издания для учащихся школ и гимназий.
Теперь на нашем сайте ГДЗ.ТОП вы всегда легко и бесплатно найдёте условие с правильным ответом на вопрос «Как решить ДЗ» и «Как сделать» задание по алгебре к упражнению №16.90 (с. 90), авторов: Мордкович (Александр Григорьевич), Александрова (Лилия Александровна), Мишустина (Татьяна Николаевна), Тульчинская (Елена Ефимовна), Семенов (Павел Владимирович), 2-й части учебного пособия издательства Мнемозина.