Номер 16.91, страница 90, часть 2 - гдз по алгебре 8 класс учебник Мордкович, Александрова

Авторы: Мордкович А. Г., Александрова Л. А., Мишустина Т. Н., Тульчинская Е. Е., Семенов П. В.
Тип: Учебник
Издательство: Мнемозина
Год издания: 2019 - 2025
Часть: 2
Цвет обложки:
Допущено Министерством просвещения Российской Федерации
Популярные ГДЗ в 8 классе
Параграф 16. Преобразование выражений, содержащих операцию извлечения квадратного корня. Глава 2. Функция у =√х свойства квадратного корня. Часть 2 - номер 16.91, страница 90.
№16.91 (с. 90)
Условие. №16.91 (с. 90)
скриншот условия

Упростите выражение:
16.91 а) $\frac{a - 16}{\sqrt{a} + 3} \cdot \frac{1}{a + 4\sqrt{a}} - \frac{\sqrt{a} + 4}{a - 3\sqrt{a}}$
б) $\frac{1 - 2\sqrt{b}}{2\sqrt{b} + 1} + \frac{b + 3\sqrt{b}}{4b - 1} : \frac{3 + \sqrt{b}}{4\sqrt{b} + 2}$
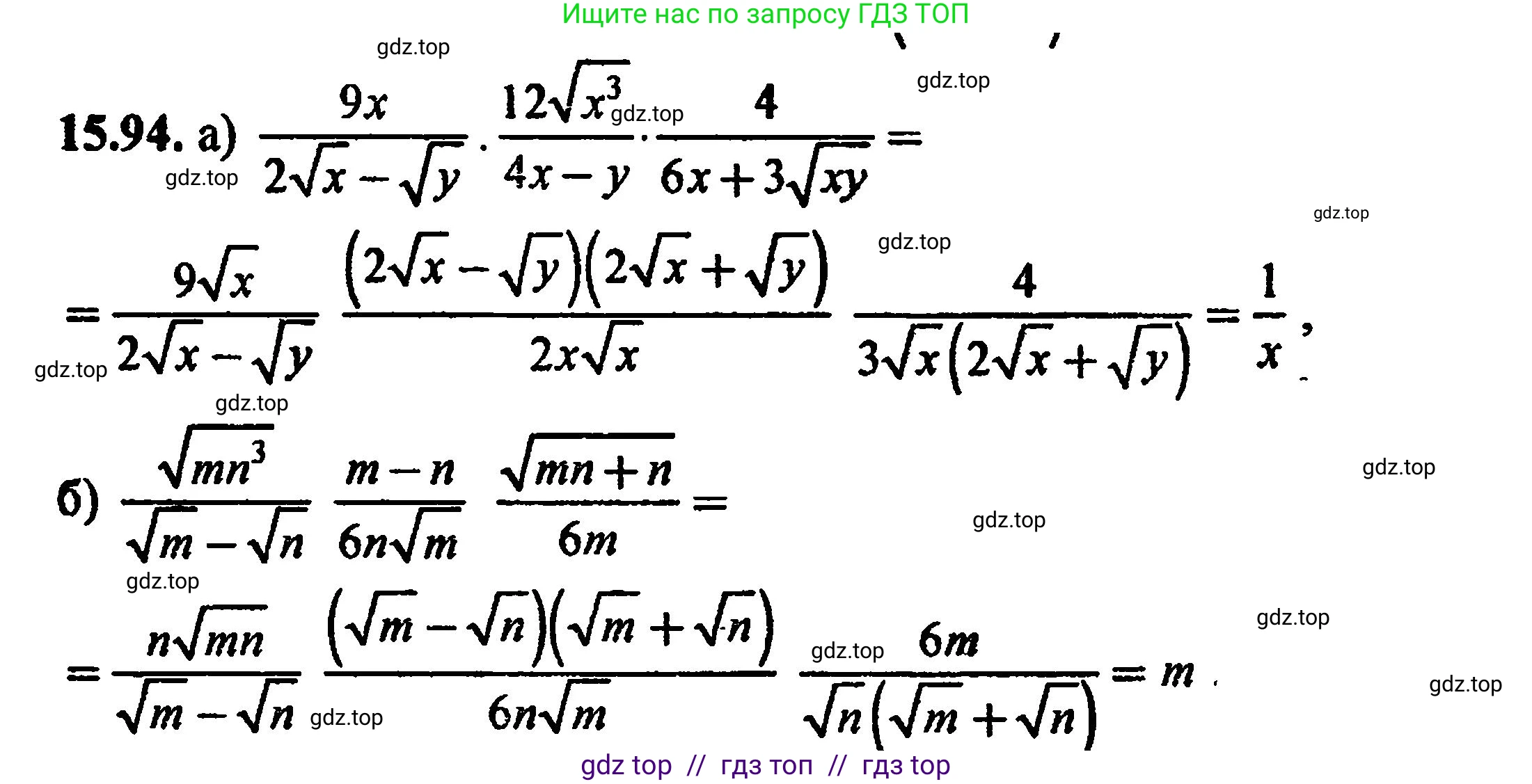
в) $\frac{9x}{2\sqrt{x} - \sqrt{y}} : \frac{12\sqrt{x^3}}{4x - y} \cdot \frac{4}{6x + 3\sqrt{xy}}$
г) $\frac{\sqrt{mn^3}}{\sqrt{m} - \sqrt{n}} \cdot \frac{m - n}{6n\sqrt{m}} : \frac{\sqrt{mn} + n}{6m}$
Решение 1. №16.91 (с. 90)




Решение 2. №16.91 (с. 90)


Решение 4. №16.91 (с. 90)


Решение 6. №16.91 (с. 90)
а)
Упростим выражение $ \frac{a - 16}{\sqrt{a} + 3} \cdot \frac{1}{a + 4\sqrt{a}} - \frac{\sqrt{a} + 4}{a - 3\sqrt{a}} $.
1. Разложим на множители числители и знаменатели, где это возможно. $ a - 16 = (\sqrt{a})^2 - 4^2 = (\sqrt{a} - 4)(\sqrt{a} + 4) $ (разность квадратов).
$ a + 4\sqrt{a} = \sqrt{a}(\sqrt{a} + 4) $ (вынесение общего множителя).
$ a - 3\sqrt{a} = \sqrt{a}(\sqrt{a} - 3) $ (вынесение общего множителя).
2. Подставим разложенные выражения в исходное: $ \frac{(\sqrt{a} - 4)(\sqrt{a} + 4)}{\sqrt{a} + 3} \cdot \frac{1}{\sqrt{a}(\sqrt{a} + 4)} - \frac{\sqrt{a} + 4}{\sqrt{a}(\sqrt{a} - 3)} $.
3. Упростим первое слагаемое, сократив общий множитель $ (\sqrt{a} + 4) $: $ \frac{\sqrt{a} - 4}{\sqrt{a}(\sqrt{a} + 3)} - \frac{\sqrt{a} + 4}{\sqrt{a}(\sqrt{a} - 3)} $.
4. Приведем дроби к общему знаменателю $ \sqrt{a}(\sqrt{a} + 3)(\sqrt{a} - 3) = \sqrt{a}(a - 9) $: $ \frac{(\sqrt{a} - 4)(\sqrt{a} - 3) - (\sqrt{a} + 4)(\sqrt{a} + 3)}{\sqrt{a}(\sqrt{a} + 3)(\sqrt{a} - 3)} $.
5. Раскроем скобки в числителе: $ (\sqrt{a} - 4)(\sqrt{a} - 3) = a - 3\sqrt{a} - 4\sqrt{a} + 12 = a - 7\sqrt{a} + 12 $.
$ (\sqrt{a} + 4)(\sqrt{a} + 3) = a + 3\sqrt{a} + 4\sqrt{a} + 12 = a + 7\sqrt{a} + 12 $.
6. Подставим раскрытые выражения в числитель и упростим: $ (a - 7\sqrt{a} + 12) - (a + 7\sqrt{a} + 12) = a - 7\sqrt{a} + 12 - a - 7\sqrt{a} - 12 = -14\sqrt{a} $.
7. Получим итоговую дробь и сократим ее: $ \frac{-14\sqrt{a}}{\sqrt{a}(a-9)} = \frac{-14}{a-9} = \frac{14}{9-a} $.
Ответ: $ \frac{14}{9-a} $
б)
Упростим выражение $ \frac{1 - 2\sqrt{b}}{2\sqrt{b} + 1} + \frac{b + 3\sqrt{b}}{4b - 1} : \frac{3 + \sqrt{b}}{4\sqrt{b} + 2} $.
1. Сначала выполним деление. Заменим деление на умножение, перевернув вторую дробь: $ \frac{b + 3\sqrt{b}}{4b - 1} \cdot \frac{4\sqrt{b} + 2}{3 + \sqrt{b}} $.
2. Разложим на множители числители и знаменатели: $ b + 3\sqrt{b} = \sqrt{b}(\sqrt{b} + 3) $.
$ 4b - 1 = (2\sqrt{b})^2 - 1^2 = (2\sqrt{b} - 1)(2\sqrt{b} + 1) $.
$ 4\sqrt{b} + 2 = 2(2\sqrt{b} + 1) $.
3. Подставим разложения и сократим общие множители $ (\sqrt{b} + 3) $ и $ (2\sqrt{b} + 1) $: $ \frac{\sqrt{b}(\sqrt{b} + 3)}{(2\sqrt{b} - 1)(2\sqrt{b} + 1)} \cdot \frac{2(2\sqrt{b} + 1)}{\sqrt{b} + 3} = \frac{2\sqrt{b}}{2\sqrt{b} - 1} $.
4. Теперь выполним сложение с первой дробью: $ \frac{1 - 2\sqrt{b}}{2\sqrt{b} + 1} + \frac{2\sqrt{b}}{2\sqrt{b} - 1} $.
5. Приведем дроби к общему знаменателю $ (2\sqrt{b} + 1)(2\sqrt{b} - 1) = 4b - 1 $: $ \frac{(1 - 2\sqrt{b})(2\sqrt{b} - 1) + 2\sqrt{b}(2\sqrt{b} + 1)}{(2\sqrt{b} + 1)(2\sqrt{b} - 1)} $.
6. Упростим числитель. Заметим, что $ 1 - 2\sqrt{b} = -(2\sqrt{b} - 1) $, поэтому $ (1 - 2\sqrt{b})(2\sqrt{b} - 1) = -(2\sqrt{b} - 1)^2 = -(4b - 4\sqrt{b} + 1) $. Числитель примет вид: $ -(4b - 4\sqrt{b} + 1) + 2\sqrt{b}(2\sqrt{b} + 1) = -4b + 4\sqrt{b} - 1 + 4b + 2\sqrt{b} = 6\sqrt{b} - 1 $.
7. Итоговое выражение: $ \frac{6\sqrt{b} - 1}{4b - 1} $.
Ответ: $ \frac{6\sqrt{b} - 1}{4b - 1} $
в)
Упростим выражение $ \frac{9x}{2\sqrt{x} - \sqrt{y}} : \frac{12\sqrt{x^3}}{4x - y} \cdot \frac{4}{6x + 3\sqrt{xy}} $.
1. Выполним действия по порядку. Сначала деление, заменив его умножением на обратную дробь: $ \frac{9x}{2\sqrt{x} - \sqrt{y}} \cdot \frac{4x - y}{12\sqrt{x^3}} \cdot \frac{4}{6x + 3\sqrt{xy}} $.
2. Разложим на множители выражения в числителях и знаменателях: $ 4x - y = (2\sqrt{x} - \sqrt{y})(2\sqrt{x} + \sqrt{y}) $.
$ \sqrt{x^3} = \sqrt{x^2 \cdot x} = x\sqrt{x} $.
$ 6x + 3\sqrt{xy} = 3\sqrt{x} \cdot 2\sqrt{x} + 3\sqrt{x}\sqrt{y} = 3\sqrt{x}(2\sqrt{x} + \sqrt{y}) $.
3. Подставим разложения в выражение: $ \frac{9x}{2\sqrt{x} - \sqrt{y}} \cdot \frac{(2\sqrt{x} - \sqrt{y})(2\sqrt{x} + \sqrt{y})}{12x\sqrt{x}} \cdot \frac{4}{3\sqrt{x}(2\sqrt{x} + \sqrt{y})} $.
4. Сократим общие множители: $ (2\sqrt{x} - \sqrt{y}) $ в числителе и знаменателе.
$ (2\sqrt{x} + \sqrt{y}) $ в числителе и знаменателе.
$ x $ в числителе и знаменателе.
$ \frac{9}{1} \cdot \frac{1}{12\sqrt{x}} \cdot \frac{4}{3\sqrt{x}} $.
5. Перемножим оставшиеся числовые коэффициенты и переменные: $ \frac{9 \cdot 4}{12 \cdot 3 \cdot \sqrt{x} \cdot \sqrt{x}} = \frac{36}{36x} = \frac{1}{x} $.
Ответ: $ \frac{1}{x} $
г)
Упростим выражение $ \frac{\sqrt{mn^3}}{\sqrt{m} - \sqrt{n}} \cdot \frac{m - n}{6n\sqrt{m}} : \frac{\sqrt{mn} + n}{6m} $.
1. Заменим деление на умножение на обратную дробь: $ \frac{\sqrt{mn^3}}{\sqrt{m} - \sqrt{n}} \cdot \frac{m - n}{6n\sqrt{m}} \cdot \frac{6m}{\sqrt{mn} + n} $.
2. Разложим на множители выражения в числителях и знаменателях: $ \sqrt{mn^3} = \sqrt{m \cdot n^2 \cdot n} = n\sqrt{mn} $.
$ m - n = (\sqrt{m} - \sqrt{n})(\sqrt{m} + \sqrt{n}) $.
$ \sqrt{mn} + n = \sqrt{n}\sqrt{m} + \sqrt{n}\sqrt{n} = \sqrt{n}(\sqrt{m} + \sqrt{n}) $.
3. Подставим разложения в выражение: $ \frac{n\sqrt{mn}}{\sqrt{m} - \sqrt{n}} \cdot \frac{(\sqrt{m} - \sqrt{n})(\sqrt{m} + \sqrt{n})}{6n\sqrt{m}} \cdot \frac{6m}{\sqrt{n}(\sqrt{m} + \sqrt{n})} $.
4. Сократим общие множители: $ (\sqrt{m} - \sqrt{n}) $, $ (\sqrt{m} + \sqrt{n}) $, $ n $ и $ 6 $.
$ \frac{\sqrt{mn}}{1} \cdot \frac{1}{\sqrt{m}} \cdot \frac{m}{\sqrt{n}} $.
5. Перемножим оставшиеся части: $ \frac{\sqrt{mn} \cdot m}{\sqrt{m} \cdot \sqrt{n}} $.
6. Так как $ \sqrt{m} \cdot \sqrt{n} = \sqrt{mn} $, то: $ \frac{\sqrt{mn} \cdot m}{\sqrt{mn}} = m $.
Ответ: $ m $
Другие задания:
Помогло решение? Оставьте отзыв в комментариях ниже.
Присоединяйтесь к Телеграм-группе @top_gdz
ПрисоединитьсяМы подготовили для вас ответ c подробным объяснением домашего задания по алгебре за 8 класс, для упражнения номер 16.91 расположенного на странице 90 для 2-й части к учебнику 2019 года издания для учащихся школ и гимназий.
Теперь на нашем сайте ГДЗ.ТОП вы всегда легко и бесплатно найдёте условие с правильным ответом на вопрос «Как решить ДЗ» и «Как сделать» задание по алгебре к упражнению №16.91 (с. 90), авторов: Мордкович (Александр Григорьевич), Александрова (Лилия Александровна), Мишустина (Татьяна Николаевна), Тульчинская (Елена Ефимовна), Семенов (Павел Владимирович), 2-й части учебного пособия издательства Мнемозина.