Номер 29.10, страница 167, часть 2 - гдз по алгебре 8 класс учебник Мордкович, Александрова

Авторы: Мордкович А. Г., Александрова Л. А., Мишустина Т. Н., Тульчинская Е. Е., Семенов П. В.
Тип: Учебник
Издательство: Мнемозина
Год издания: 2019 - 2025
Часть: 2
Цвет обложки:
Допущено Министерством просвещения Российской Федерации
Популярные ГДЗ в 8 классе
Параграф 29. Рациональные уравнения. Глава 4. Квадратные уравнения. Часть 2 - номер 29.10, страница 167.
№29.10 (с. 167)
Условие. №29.10 (с. 167)
скриншот условия

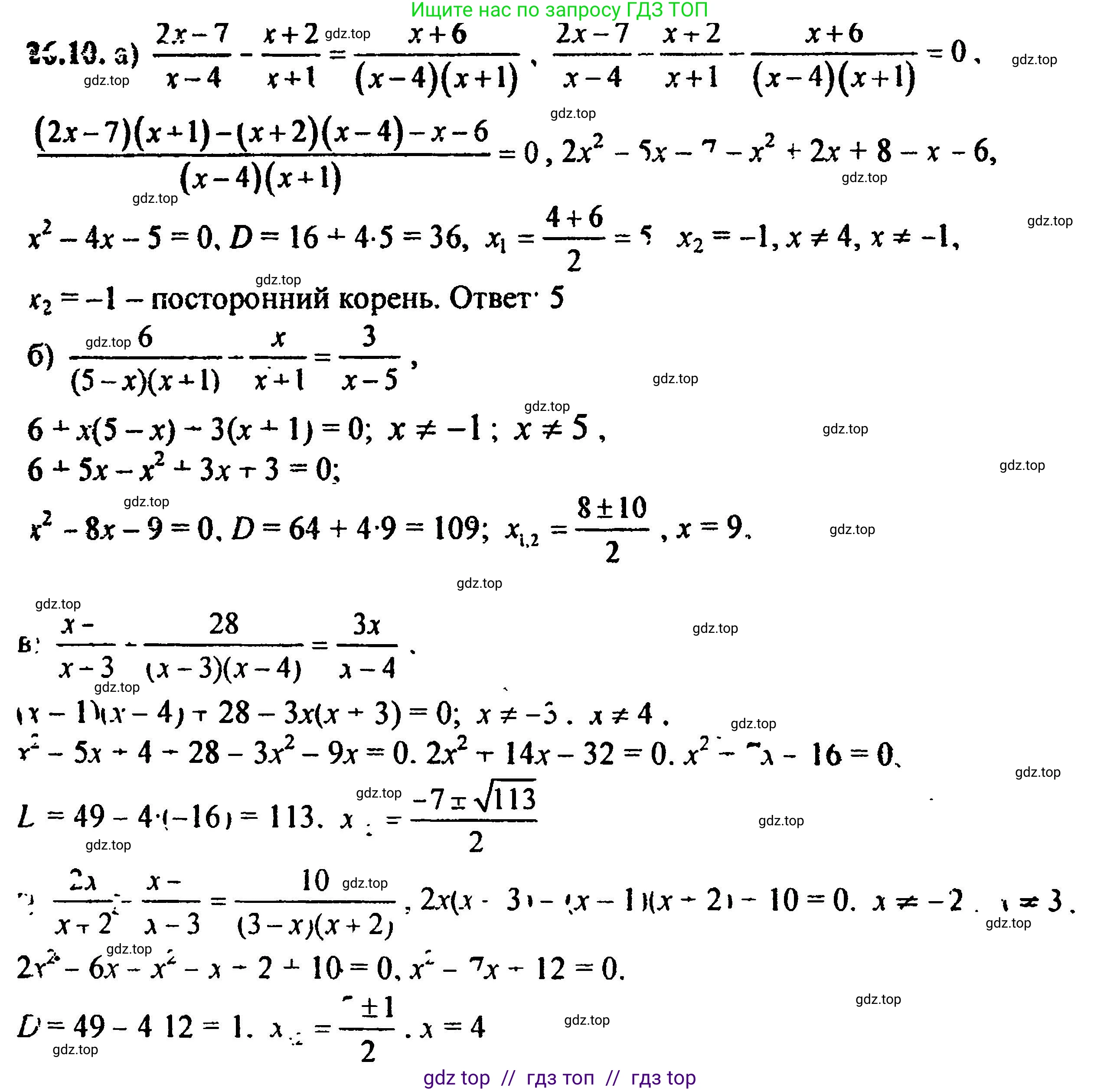
29.10 а) $\frac{2x - 7}{x - 4} - \frac{x + 2}{x + 1} = \frac{x + 6}{(x - 4)(x + 1)};$
б) $\frac{6}{(5 - x)(x + 1)} + \frac{x}{x + 1} = \frac{3}{x - 5};$
в) $\frac{x - 1}{x + 3} + \frac{28}{(x + 3)(x - 4)} = \frac{3x}{x - 4};$
г) $\frac{2x}{x + 2} - \frac{x - 1}{x - 3} = \frac{10}{(3 - x)(x + 2)}.$
Решение 1. №29.10 (с. 167)




Решение 2. №29.10 (с. 167)

Решение 4. №29.10 (с. 167)


Решение 6. №29.10 (с. 167)
а)
Дано уравнение: $ \frac{2x-7}{x-4} - \frac{x+2}{x+1} = \frac{x+6}{(x-4)(x+1)} $.
1. Область допустимых значений (ОДЗ). Знаменатели дробей не могут быть равны нулю:
$ x-4 \neq 0 \implies x \neq 4 $
$ x+1 \neq 0 \implies x \neq -1 $
Таким образом, ОДЗ: $ x \neq 4 $ и $ x \neq -1 $.
2. Приведем все дроби к общему знаменателю $ (x-4)(x+1) $ и умножим обе части уравнения на него, чтобы избавиться от дробей:
$ (2x-7)(x+1) - (x+2)(x-4) = x+6 $
3. Раскроем скобки в левой части уравнения:
$ (2x^2 + 2x - 7x - 7) - (x^2 - 4x + 2x - 8) = x+6 $
$ (2x^2 - 5x - 7) - (x^2 - 2x - 8) = x+6 $
4. Упростим выражение:
$ 2x^2 - 5x - 7 - x^2 + 2x + 8 = x+6 $
$ x^2 - 3x + 1 = x+6 $
5. Перенесем все слагаемые в одну сторону, чтобы получить стандартное квадратное уравнение:
$ x^2 - 3x - x + 1 - 6 = 0 $
$ x^2 - 4x - 5 = 0 $
6. Решим полученное квадратное уравнение. Можно использовать теорему Виета:
Сумма корней $ x_1 + x_2 = 4 $.
Произведение корней $ x_1 \cdot x_2 = -5 $.
Отсюда находим корни: $ x_1 = 5 $ и $ x_2 = -1 $.
7. Проверим, соответствуют ли найденные корни ОДЗ ($ x \neq 4, x \neq -1 $).
Корень $ x_1 = 5 $ удовлетворяет условиям ОДЗ.
Корень $ x_2 = -1 $ не удовлетворяет ОДЗ, так как при $ x=-1 $ один из знаменателей исходного уравнения обращается в ноль. Следовательно, $ x=-1 $ является посторонним корнем.
Ответ: 5.
б)
Дано уравнение: $ \frac{6}{(5-x)(x+1)} + \frac{x}{x+1} = \frac{3}{x-5} $.
1. Заметим, что $ 5-x = -(x-5) $. Перепишем уравнение:
$ \frac{6}{-(x-5)(x+1)} + \frac{x}{x+1} = \frac{3}{x-5} $
$ -\frac{6}{(x-5)(x+1)} + \frac{x}{x+1} = \frac{3}{x-5} $
2. ОДЗ: $ x-5 \neq 0 \implies x \neq 5 $ и $ x+1 \neq 0 \implies x \neq -1 $.
3. Общий знаменатель $ (x-5)(x+1) $. Умножим обе части на него:
$ -6 + x(x-5) = 3(x+1) $
4. Раскроем скобки и упростим:
$ -6 + x^2 - 5x = 3x + 3 $
5. Приведем к стандартному квадратному уравнению:
$ x^2 - 5x - 3x - 6 - 3 = 0 $
$ x^2 - 8x - 9 = 0 $
6. Решим уравнение по теореме Виета:
$ x_1 + x_2 = 8 $
$ x_1 \cdot x_2 = -9 $
Корни: $ x_1 = 9 $ и $ x_2 = -1 $.
7. Проверим корни по ОДЗ ($ x \neq 5, x \neq -1 $).
Корень $ x_1 = 9 $ удовлетворяет ОДЗ.
Корень $ x_2 = -1 $ не удовлетворяет ОДЗ, является посторонним.
Ответ: 9.
в)
Дано уравнение: $ \frac{x-1}{x+3} + \frac{28}{(x+3)(x-4)} = \frac{3x}{x-4} $.
1. ОДЗ: $ x+3 \neq 0 \implies x \neq -3 $ и $ x-4 \neq 0 \implies x \neq 4 $.
2. Общий знаменатель $ (x+3)(x-4) $. Умножим обе части на него:
$ (x-1)(x-4) + 28 = 3x(x+3) $
3. Раскроем скобки:
$ (x^2 - 4x - x + 4) + 28 = 3x^2 + 9x $
$ x^2 - 5x + 32 = 3x^2 + 9x $
4. Перенесем все в одну сторону:
$ 3x^2 - x^2 + 9x + 5x - 32 = 0 $
$ 2x^2 + 14x - 32 = 0 $
Разделим уравнение на 2:
$ x^2 + 7x - 16 = 0 $
5. Решим квадратное уравнение через дискриминант:
$ D = b^2 - 4ac = 7^2 - 4 \cdot 1 \cdot (-16) = 49 + 64 = 113 $
Поскольку $ D > 0 $, уравнение имеет два действительных корня:
$ x = \frac{-b \pm \sqrt{D}}{2a} = \frac{-7 \pm \sqrt{113}}{2} $
$ x_1 = \frac{-7 - \sqrt{113}}{2} $, $ x_2 = \frac{-7 + \sqrt{113}}{2} $.
6. Оба корня не равны -3 или 4, поэтому они удовлетворяют ОДЗ.
Ответ: $ \frac{-7 \pm \sqrt{113}}{2} $.
г)
Дано уравнение: $ \frac{2x}{x+2} - \frac{x-1}{x-3} = \frac{10}{(3-x)(x+2)} $.
1. Заметим, что $ 3-x = -(x-3) $. Перепишем уравнение:
$ \frac{2x}{x+2} - \frac{x-1}{x-3} = \frac{10}{-(x-3)(x+2)} $
$ \frac{2x}{x+2} - \frac{x-1}{x-3} = -\frac{10}{(x-3)(x+2)} $
2. ОДЗ: $ x+2 \neq 0 \implies x \neq -2 $ и $ x-3 \neq 0 \implies x \neq 3 $.
3. Общий знаменатель $ (x+2)(x-3) $. Умножим обе части на него:
$ 2x(x-3) - (x-1)(x+2) = -10 $
4. Раскроем скобки:
$ (2x^2 - 6x) - (x^2 + 2x - x - 2) = -10 $
$ 2x^2 - 6x - (x^2 + x - 2) = -10 $
$ 2x^2 - 6x - x^2 - x + 2 = -10 $
5. Упростим и приведем к стандартному виду:
$ x^2 - 7x + 2 + 10 = 0 $
$ x^2 - 7x + 12 = 0 $
6. Решим уравнение по теореме Виета:
$ x_1 + x_2 = 7 $
$ x_1 \cdot x_2 = 12 $
Корни: $ x_1 = 3 $ и $ x_2 = 4 $.
7. Проверим корни по ОДЗ ($ x \neq -2, x \neq 3 $).
Корень $ x_1 = 3 $ не удовлетворяет ОДЗ, является посторонним.
Корень $ x_2 = 4 $ удовлетворяет ОДЗ.
Ответ: 4.
Другие задания:
Помогло решение? Оставьте отзыв в комментариях ниже.
Присоединяйтесь к Телеграм-группе @top_gdz
ПрисоединитьсяМы подготовили для вас ответ c подробным объяснением домашего задания по алгебре за 8 класс, для упражнения номер 29.10 расположенного на странице 167 для 2-й части к учебнику 2019 года издания для учащихся школ и гимназий.
Теперь на нашем сайте ГДЗ.ТОП вы всегда легко и бесплатно найдёте условие с правильным ответом на вопрос «Как решить ДЗ» и «Как сделать» задание по алгебре к упражнению №29.10 (с. 167), авторов: Мордкович (Александр Григорьевич), Александрова (Лилия Александровна), Мишустина (Татьяна Николаевна), Тульчинская (Елена Ефимовна), Семенов (Павел Владимирович), 2-й части учебного пособия издательства Мнемозина.