Номер 29.7, страница 166, часть 2 - гдз по алгебре 8 класс учебник Мордкович, Александрова

Авторы: Мордкович А. Г., Александрова Л. А., Мишустина Т. Н., Тульчинская Е. Е., Семенов П. В.
Тип: Учебник
Издательство: Мнемозина
Год издания: 2019 - 2025
Часть: 2
Цвет обложки:
Допущено Министерством просвещения Российской Федерации
Популярные ГДЗ в 8 классе
Параграф 29. Рациональные уравнения. Глава 4. Квадратные уравнения. Часть 2 - номер 29.7, страница 166.
№29.7 (с. 166)
Условие. №29.7 (с. 166)
скриншот условия

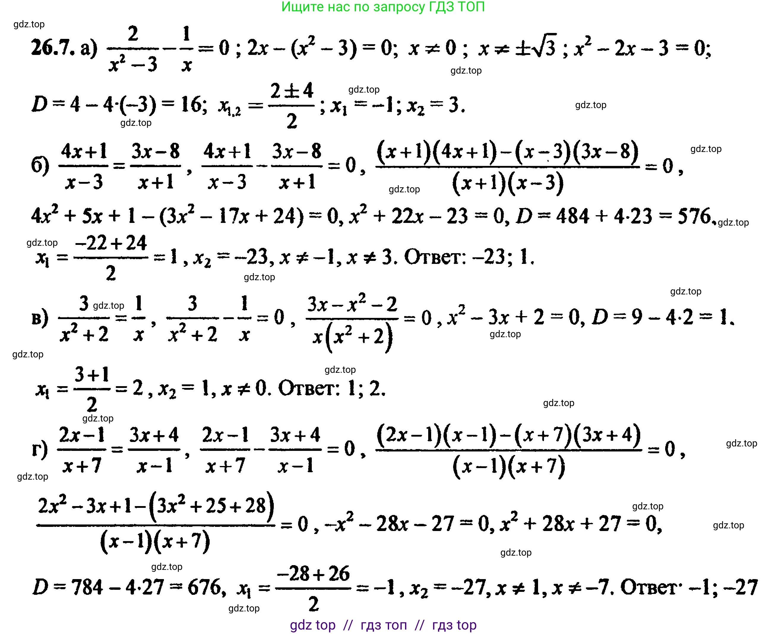
29.7 a) $ \frac{2}{x^2 - 3} = \frac{1}{x} $;
б) $ \frac{4x + 1}{x - 3} = \frac{3x - 8}{x + 1} $;
в) $ \frac{3}{x^2 + 2} = \frac{1}{x} $;
г) $ \frac{2x - 1}{x + 7} = \frac{3x + 4}{x - 1} $.
Решение 1. №29.7 (с. 166)




Решение 2. №29.7 (с. 166)

Решение 3. №29.7 (с. 166)

Решение 4. №29.7 (с. 166)


Решение 6. №29.7 (с. 166)
a) $\frac{2}{x^2 - 3} = \frac{1}{x}$
Найдем область допустимых значений (ОДЗ). Знаменатели дробей не могут быть равны нулю:
$x^2 - 3 \neq 0 \implies x^2 \neq 3 \implies x \neq \pm\sqrt{3}$
$x \neq 0$
Применим правило пропорции (перекрестное умножение):
$2 \cdot x = 1 \cdot (x^2 - 3)$
$2x = x^2 - 3$
Перенесем все слагаемые в одну часть, чтобы получить стандартное квадратное уравнение:
$x^2 - 2x - 3 = 0$
Решим полученное квадратное уравнение. Воспользуемся теоремой Виета:
Сумма корней: $x_1 + x_2 = 2$
Произведение корней: $x_1 \cdot x_2 = -3$
Подбором находим корни: $x_1 = 3$ и $x_2 = -1$.
Оба корня удовлетворяют ОДЗ ($x \neq 0, x \neq \pm\sqrt{3}$), следовательно, являются решениями исходного уравнения.
Ответ: -1; 3.
б) $\frac{4x + 1}{x - 3} = \frac{3x - 8}{x + 1}$
Найдем ОДЗ:
$x - 3 \neq 0 \implies x \neq 3$
$x + 1 \neq 0 \implies x \neq -1$
Применим правило пропорции:
$(4x + 1)(x + 1) = (3x - 8)(x - 3)$
Раскроем скобки в обеих частях уравнения:
$4x^2 + 4x + x + 1 = 3x^2 - 9x - 8x + 24$
$4x^2 + 5x + 1 = 3x^2 - 17x + 24$
Перенесем все слагаемые в левую часть и приведем подобные:
$4x^2 - 3x^2 + 5x + 17x + 1 - 24 = 0$
$x^2 + 22x - 23 = 0$
Решим квадратное уравнение по теореме Виета:
Сумма корней: $x_1 + x_2 = -22$
Произведение корней: $x_1 \cdot x_2 = -23$
Корни: $x_1 = 1$ и $x_2 = -23$.
Оба корня удовлетворяют ОДЗ ($x \neq 3, x \neq -1$).
Ответ: -23; 1.
в) $\frac{3}{x^2 + 2} = \frac{1}{x}$
Найдем ОДЗ:
$x^2 + 2 \neq 0$. Это выражение всегда положительно, так как $x^2 \ge 0$, значит $x^2 + 2 \ge 2$.
$x \neq 0$
Применим правило пропорции:
$3 \cdot x = 1 \cdot (x^2 + 2)$
$3x = x^2 + 2$
Приведем к стандартному виду квадратного уравнения:
$x^2 - 3x + 2 = 0$
Решим по теореме Виета:
Сумма корней: $x_1 + x_2 = 3$
Произведение корней: $x_1 \cdot x_2 = 2$
Корни: $x_1 = 1$ и $x_2 = 2$.
Оба корня удовлетворяют ОДЗ ($x \neq 0$).
Ответ: 1; 2.
г) $\frac{2x - 1}{x + 7} = \frac{3x + 4}{x - 1}$
Найдем ОДЗ:
$x + 7 \neq 0 \implies x \neq -7$
$x - 1 \neq 0 \implies x \neq 1$
Применим правило пропорции:
$(2x - 1)(x - 1) = (3x + 4)(x + 7)$
Раскроем скобки:
$2x^2 - 2x - x + 1 = 3x^2 + 21x + 4x + 28$
$2x^2 - 3x + 1 = 3x^2 + 25x + 28$
Перенесем все слагаемые в правую часть:
$0 = 3x^2 - 2x^2 + 25x + 3x + 28 - 1$
$x^2 + 28x + 27 = 0$
Решим по теореме Виета:
Сумма корней: $x_1 + x_2 = -28$
Произведение корней: $x_1 \cdot x_2 = 27$
Корни: $x_1 = -1$ и $x_2 = -27$.
Оба корня удовлетворяют ОДЗ ($x \neq -7, x \neq 1$).
Ответ: -27; -1.
Другие задания:
Помогло решение? Оставьте отзыв в комментариях ниже.
Присоединяйтесь к Телеграм-группе @top_gdz
ПрисоединитьсяМы подготовили для вас ответ c подробным объяснением домашего задания по алгебре за 8 класс, для упражнения номер 29.7 расположенного на странице 166 для 2-й части к учебнику 2019 года издания для учащихся школ и гимназий.
Теперь на нашем сайте ГДЗ.ТОП вы всегда легко и бесплатно найдёте условие с правильным ответом на вопрос «Как решить ДЗ» и «Как сделать» задание по алгебре к упражнению №29.7 (с. 166), авторов: Мордкович (Александр Григорьевич), Александрова (Лилия Александровна), Мишустина (Татьяна Николаевна), Тульчинская (Елена Ефимовна), Семенов (Павел Владимирович), 2-й части учебного пособия издательства Мнемозина.