Номер 29.17, страница 168, часть 2 - гдз по алгебре 8 класс учебник Мордкович, Александрова

Авторы: Мордкович А. Г., Александрова Л. А., Мишустина Т. Н., Тульчинская Е. Е., Семенов П. В.
Тип: Учебник
Издательство: Мнемозина
Год издания: 2019 - 2025
Часть: 2
Цвет обложки:
Допущено Министерством просвещения Российской Федерации
Популярные ГДЗ в 8 классе
Параграф 29. Рациональные уравнения. Глава 4. Квадратные уравнения. Часть 2 - номер 29.17, страница 168.
№29.17 (с. 168)
Условие. №29.17 (с. 168)
скриншот условия

Решите уравнение:
29.17 а)
$\frac{5}{x - 2} + 1 = \frac{14}{x^2 - 4x + 4}$
29.17 б)
$\frac{1}{3x + 1} + \frac{1}{9x^2 + 6x + 1} = 2$
29.17 в)
$\frac{2}{x - 3} + 1 = \frac{15}{x^2 - 6x + 9}$
29.17 г)
$\frac{2}{5x + 1} + \frac{3}{25x^2 + 10x + 1} = 1$
Решение 1. №29.17 (с. 168)




Решение 2. №29.17 (с. 168)

Решение 4. №29.17 (с. 168)


Решение 6. №29.17 (с. 168)
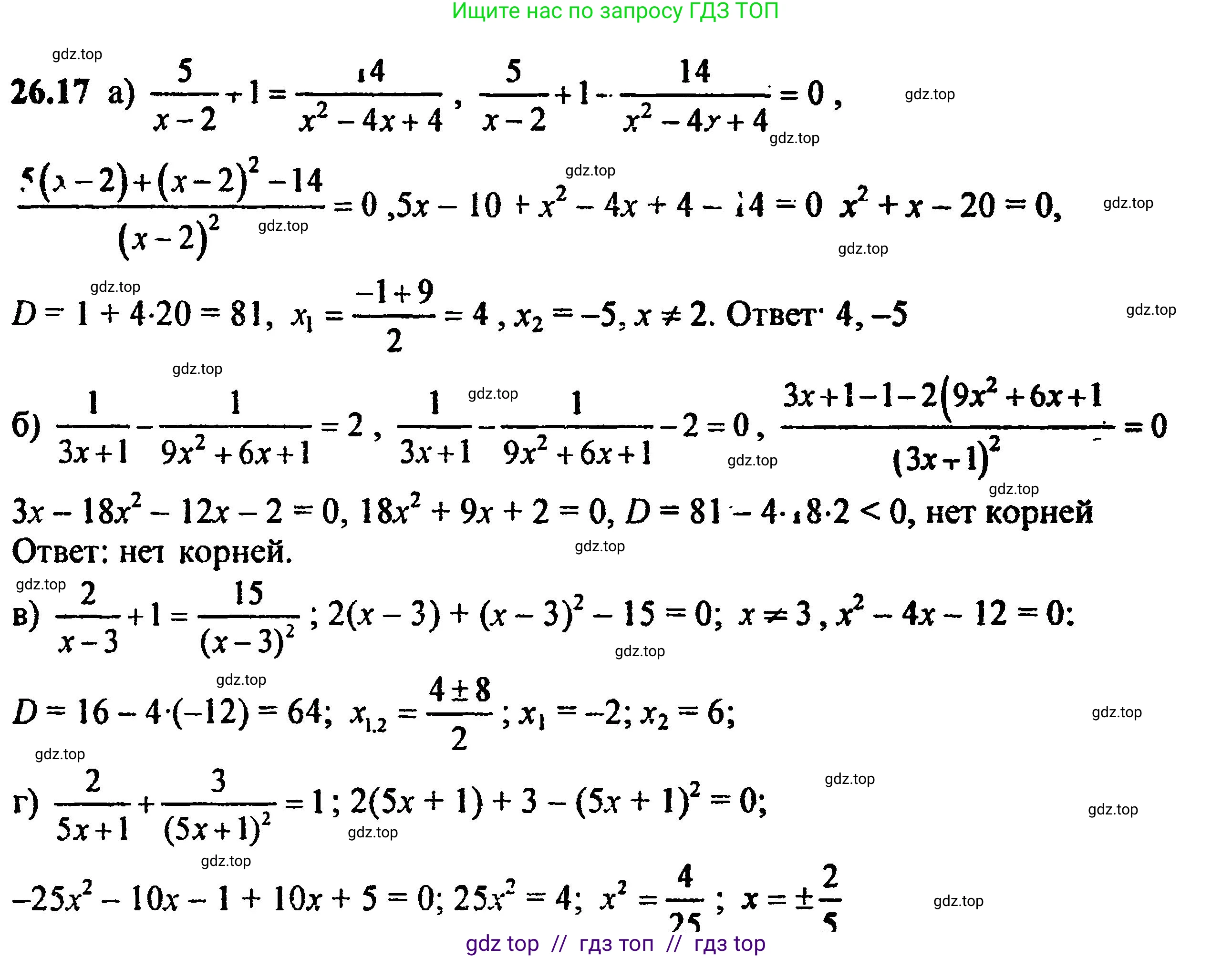
а) Дано уравнение: $\frac{5}{x-2} + 1 = \frac{14}{x^2 - 4x + 4}$.
Первым шагом заметим, что знаменатель в правой части уравнения является полным квадратом разности: $x^2 - 4x + 4 = (x-2)^2$.
Перепишем уравнение в виде: $\frac{5}{x-2} + 1 = \frac{14}{(x-2)^2}$.
Найдем область допустимых значений (ОДЗ). Знаменатели дробей не могут быть равны нулю, поэтому $x-2 \neq 0$, что означает $x \neq 2$.
Приведем все члены уравнения к общему знаменателю $(x-2)^2$:
$\frac{5(x-2)}{(x-2)^2} + \frac{(x-2)^2}{(x-2)^2} = \frac{14}{(x-2)^2}$.
Теперь мы можем отбросить знаменатели, умножив обе части уравнения на $(x-2)^2$, так как $x \neq 2$:
$5(x-2) + (x-2)^2 = 14$.
Раскроем скобки и упростим выражение:
$5x - 10 + x^2 - 4x + 4 = 14$.
Приведем подобные слагаемые и перенесем все члены в левую часть, чтобы получить стандартное квадратное уравнение:
$x^2 + (5x - 4x) + (-10 + 4 - 14) = 0$
$x^2 + x - 20 = 0$.
Решим полученное квадратное уравнение. Можно использовать теорему Виета: сумма корней равна -1, а их произведение равно -20. Подбором находим корни: $x_1 = -5$ и $x_2 = 4$.
Проверим, удовлетворяют ли найденные корни ОДЗ ($x \neq 2$). Оба корня, -5 и 4, не равны 2, следовательно, они являются решениями исходного уравнения.
Ответ: -5; 4.
б) Дано уравнение: $\frac{1}{3x+1} + \frac{1}{9x^2 + 6x + 1} = 2$.
Знаменатель второй дроби является полным квадратом суммы: $9x^2 + 6x + 1 = (3x+1)^2$.
Уравнение можно переписать как: $\frac{1}{3x+1} + \frac{1}{(3x+1)^2} = 2$.
ОДЗ: знаменатель не должен быть равен нулю, то есть $3x+1 \neq 0$, откуда $x \neq -\frac{1}{3}$.
Приведем дроби к общему знаменателю $(3x+1)^2$:
$\frac{3x+1}{(3x+1)^2} + \frac{1}{(3x+1)^2} = \frac{2(3x+1)^2}{(3x+1)^2}$.
Умножим обе части на $(3x+1)^2$ (с учетом ОДЗ):
$3x + 1 + 1 = 2(3x+1)^2$.
Раскроем скобки и упростим:
$3x + 2 = 2(9x^2 + 6x + 1)$
$3x + 2 = 18x^2 + 12x + 2$.
Перенесем все члены в одну сторону:
$18x^2 + 12x - 3x + 2 - 2 = 0$
$18x^2 + 9x = 0$.
Вынесем общий множитель $9x$ за скобки:
$9x(2x + 1) = 0$.
Произведение равно нулю, когда один из множителей равен нулю:
$9x = 0 \implies x_1 = 0$
$2x + 1 = 0 \implies 2x = -1 \implies x_2 = -0.5$.
Оба корня (0 и -0.5) удовлетворяют ОДЗ ($x \neq -\frac{1}{3}$).
Ответ: -0.5; 0.
в) Дано уравнение: $\frac{2}{x-3} + 1 = \frac{15}{x^2 - 6x + 9}$.
Знаменатель в правой части является полным квадратом разности: $x^2 - 6x + 9 = (x-3)^2$.
Перепишем уравнение: $\frac{2}{x-3} + 1 = \frac{15}{(x-3)^2}$.
ОДЗ: $x-3 \neq 0$, то есть $x \neq 3$.
Приведем к общему знаменателю $(x-3)^2$:
$\frac{2(x-3)}{(x-3)^2} + \frac{(x-3)^2}{(x-3)^2} = \frac{15}{(x-3)^2}$.
Умножим обе части на $(x-3)^2$ (с учетом ОДЗ):
$2(x-3) + (x-3)^2 = 15$.
Раскроем скобки:
$2x - 6 + x^2 - 6x + 9 = 15$.
Приведем подобные слагаемые и получим квадратное уравнение:
$x^2 - 4x + 3 = 15$
$x^2 - 4x - 12 = 0$.
Решим уравнение по теореме Виета: сумма корней равна 4, произведение равно -12. Корни: $x_1 = 6$ и $x_2 = -2$.
Проверяем корни по ОДЗ ($x \neq 3$). Оба корня подходят.
Ответ: -2; 6.
г) Дано уравнение: $\frac{2}{5x+1} + \frac{3}{25x^2 + 10x + 1} = 1$.
Знаменатель второй дроби является полным квадратом: $25x^2 + 10x + 1 = (5x+1)^2$.
Перепишем уравнение: $\frac{2}{5x+1} + \frac{3}{(5x+1)^2} = 1$.
ОДЗ: $5x+1 \neq 0$, откуда $x \neq -\frac{1}{5}$ или $x \neq -0.2$.
Приведем к общему знаменателю $(5x+1)^2$:
$\frac{2(5x+1)}{(5x+1)^2} + \frac{3}{(5x+1)^2} = \frac{(5x+1)^2}{(5x+1)^2}$.
Умножим обе части на $(5x+1)^2$ (с учетом ОДЗ):
$2(5x+1) + 3 = (5x+1)^2$.
Раскроем скобки:
$10x + 2 + 3 = 25x^2 + 10x + 1$
$10x + 5 = 25x^2 + 10x + 1$.
Перенесем все члены в правую часть:
$25x^2 + 10x - 10x + 1 - 5 = 0$
$25x^2 - 4 = 0$.
Это неполное квадратное уравнение.
$25x^2 = 4$
$x^2 = \frac{4}{25}$.
$x = \pm \sqrt{\frac{4}{25}}$
$x_1 = \frac{2}{5} = 0.4$ и $x_2 = -\frac{2}{5} = -0.4$.
Оба корня (0.4 и -0.4) не равны -0.2, поэтому они удовлетворяют ОДЗ.
Ответ: -0.4; 0.4.
Другие задания:
Помогло решение? Оставьте отзыв в комментариях ниже.
Присоединяйтесь к Телеграм-группе @top_gdz
ПрисоединитьсяМы подготовили для вас ответ c подробным объяснением домашего задания по алгебре за 8 класс, для упражнения номер 29.17 расположенного на странице 168 для 2-й части к учебнику 2019 года издания для учащихся школ и гимназий.
Теперь на нашем сайте ГДЗ.ТОП вы всегда легко и бесплатно найдёте условие с правильным ответом на вопрос «Как решить ДЗ» и «Как сделать» задание по алгебре к упражнению №29.17 (с. 168), авторов: Мордкович (Александр Григорьевич), Александрова (Лилия Александровна), Мишустина (Татьяна Николаевна), Тульчинская (Елена Ефимовна), Семенов (Павел Владимирович), 2-й части учебного пособия издательства Мнемозина.