Номер 29.23, страница 169, часть 2 - гдз по алгебре 8 класс учебник Мордкович, Александрова

Авторы: Мордкович А. Г., Александрова Л. А., Мишустина Т. Н., Тульчинская Е. Е., Семенов П. В.
Тип: Учебник
Издательство: Мнемозина
Год издания: 2019 - 2025
Часть: 2
Цвет обложки:
Допущено Министерством просвещения Российской Федерации
Популярные ГДЗ в 8 классе
Параграф 29. Рациональные уравнения. Глава 4. Квадратные уравнения. Часть 2 - номер 29.23, страница 169.
№29.23 (с. 169)
Условие. №29.23 (с. 169)
скриншот условия

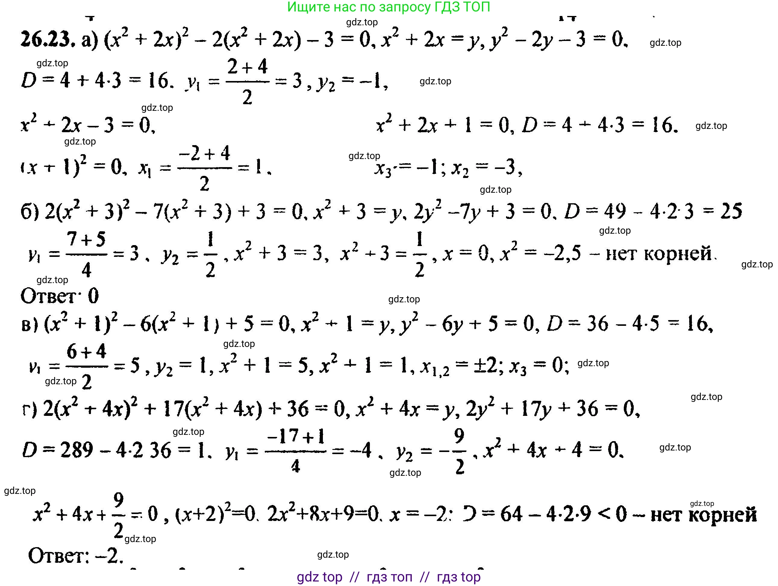
29.23 a) $(x^2 + 2x)^2 - 2(x^2 + 2x) - 3 = 0;$
б) $2(x^2 + 3)^2 - 7(x^2 + 3) + 3 = 0;$
в) $(x^2 + 1)^2 - 6(x^2 + 1) + 5 = 0;$
г) $2(x^2 + 4x)^2 + 17(x^2 + 4x) + 36 = 0.$
Решение 1. №29.23 (с. 169)




Решение 2. №29.23 (с. 169)

Решение 4. №29.23 (с. 169)


Решение 6. №29.23 (с. 169)
а) $(x^2 + 2x)^2 - 2(x^2 + 2x) - 3 = 0$
Данное уравнение решается методом введения новой переменной. Заметим, что выражение $(x^2 + 2x)$ повторяется.
Пусть $t = x^2 + 2x$. Тогда исходное уравнение можно переписать в виде квадратного уравнения относительно $t$:
$t^2 - 2t - 3 = 0$
Найдем корни этого уравнения. По теореме Виета:
$t_1 + t_2 = 2$
$t_1 \cdot t_2 = -3$
Отсюда получаем $t_1 = 3$ и $t_2 = -1$.
Теперь выполним обратную замену для каждого найденного значения $t$.
1. Если $t = 3$, то:
$x^2 + 2x = 3$
$x^2 + 2x - 3 = 0$
Решим это квадратное уравнение. По теореме Виета, его корни: $x_1 = 1$ и $x_2 = -3$.
2. Если $t = -1$, то:
$x^2 + 2x = -1$
$x^2 + 2x + 1 = 0$
Это формула квадрата суммы: $(x+1)^2 = 0$.
Отсюда получаем корень $x_3 = -1$.
Объединяя все найденные корни, получаем решение исходного уравнения.
Ответ: $-3; -1; 1$.
б) $2(x^2 + 3)^2 - 7(x^2 + 3) + 3 = 0$
Введем замену переменной. Пусть $t = x^2 + 3$. Тогда уравнение примет вид:
$2t^2 - 7t + 3 = 0$
Решим это квадратное уравнение с помощью дискриминанта:
$D = b^2 - 4ac = (-7)^2 - 4 \cdot 2 \cdot 3 = 49 - 24 = 25$
$t_1 = \frac{-b + \sqrt{D}}{2a} = \frac{7 + \sqrt{25}}{2 \cdot 2} = \frac{7 + 5}{4} = \frac{12}{4} = 3$
$t_2 = \frac{-b - \sqrt{D}}{2a} = \frac{7 - \sqrt{25}}{2 \cdot 2} = \frac{7 - 5}{4} = \frac{2}{4} = \frac{1}{2}$
Выполним обратную замену.
1. Если $t = 3$, то:
$x^2 + 3 = 3$
$x^2 = 0$
$x_1 = 0$
2. Если $t = \frac{1}{2}$, то:
$x^2 + 3 = \frac{1}{2}$
$x^2 = \frac{1}{2} - 3$
$x^2 = -\frac{5}{2}$
Так как квадрат действительного числа не может быть отрицательным, в этом случае действительных корней нет.
Следовательно, уравнение имеет единственный корень.
Ответ: $0$.
в) $(x^2 + 1)^2 - 6(x^2 + 1) + 5 = 0$
Используем метод замены переменной. Пусть $t = x^2 + 1$. Уравнение преобразуется к виду:
$t^2 - 6t + 5 = 0$
По теореме Виета, корни этого уравнения $t_1 = 1$ и $t_2 = 5$.
Выполним обратную замену.
1. Если $t = 1$, то:
$x^2 + 1 = 1$
$x^2 = 0$
$x_1 = 0$
2. Если $t = 5$, то:
$x^2 + 1 = 5$
$x^2 = 4$
Отсюда $x_2 = 2$ и $x_3 = -2$.
Таким образом, получаем три корня.
Ответ: $-2; 0; 2$.
г) $2(x^2 + 4x)^2 + 17(x^2 + 4x) + 36 = 0$
Введем замену переменной. Пусть $t = x^2 + 4x$. Уравнение примет вид:
$2t^2 + 17t + 36 = 0$
Найдем корни через дискриминант:
$D = b^2 - 4ac = 17^2 - 4 \cdot 2 \cdot 36 = 289 - 288 = 1$
$t_1 = \frac{-b + \sqrt{D}}{2a} = \frac{-17 + \sqrt{1}}{2 \cdot 2} = \frac{-17 + 1}{4} = \frac{-16}{4} = -4$
$t_2 = \frac{-b - \sqrt{D}}{2a} = \frac{-17 - \sqrt{1}}{2 \cdot 2} = \frac{-17 - 1}{4} = \frac{-18}{4} = -\frac{9}{2}$
Выполним обратную замену.
1. Если $t = -4$, то:
$x^2 + 4x = -4$
$x^2 + 4x + 4 = 0$
$(x+2)^2 = 0$
$x_1 = -2$
2. Если $t = -\frac{9}{2}$, то:
$x^2 + 4x = -\frac{9}{2}$
$x^2 + 4x + \frac{9}{2} = 0$
Найдем дискриминант этого уравнения: $D_x = 4^2 - 4 \cdot 1 \cdot \frac{9}{2} = 16 - 18 = -2$.
Так как $D_x < 0$, действительных корней нет.
Следовательно, исходное уравнение имеет один корень.
Ответ: $-2$.
Другие задания:
Помогло решение? Оставьте отзыв в комментариях ниже.
Присоединяйтесь к Телеграм-группе @top_gdz
ПрисоединитьсяМы подготовили для вас ответ c подробным объяснением домашего задания по алгебре за 8 класс, для упражнения номер 29.23 расположенного на странице 169 для 2-й части к учебнику 2019 года издания для учащихся школ и гимназий.
Теперь на нашем сайте ГДЗ.ТОП вы всегда легко и бесплатно найдёте условие с правильным ответом на вопрос «Как решить ДЗ» и «Как сделать» задание по алгебре к упражнению №29.23 (с. 169), авторов: Мордкович (Александр Григорьевич), Александрова (Лилия Александровна), Мишустина (Татьяна Николаевна), Тульчинская (Елена Ефимовна), Семенов (Павел Владимирович), 2-й части учебного пособия издательства Мнемозина.