Номер 29.19, страница 168, часть 2 - гдз по алгебре 8 класс учебник Мордкович, Александрова

Авторы: Мордкович А. Г., Александрова Л. А., Мишустина Т. Н., Тульчинская Е. Е., Семенов П. В.
Тип: Учебник
Издательство: Мнемозина
Год издания: 2019 - 2025
Часть: 2
Цвет обложки:
Допущено Министерством просвещения Российской Федерации
Популярные ГДЗ в 8 классе
Параграф 29. Рациональные уравнения. Глава 4. Квадратные уравнения. Часть 2 - номер 29.19, страница 168.
№29.19 (с. 168)
Условие. №29.19 (с. 168)
скриншот условия

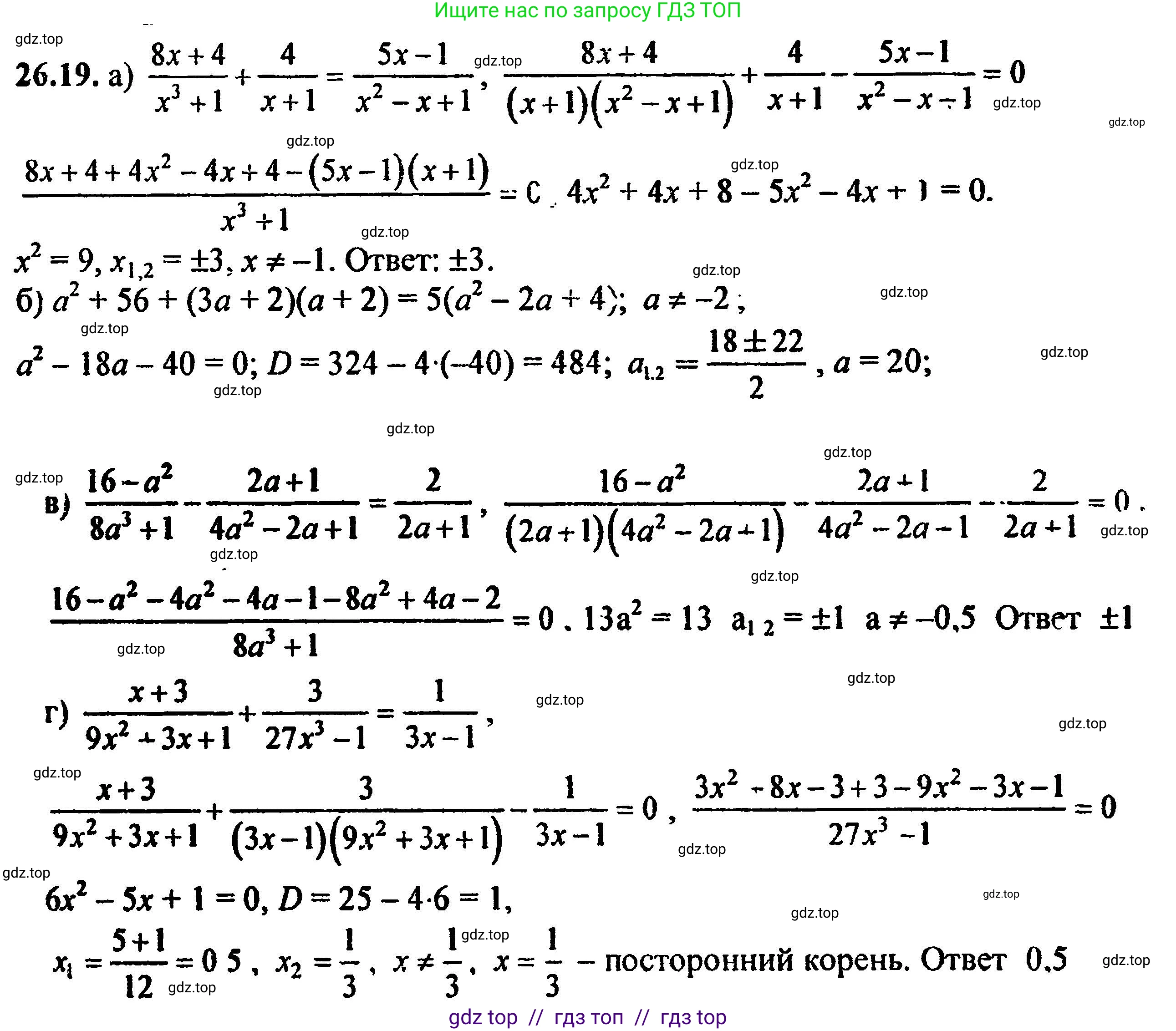
29.19 а) $\frac{8x + 4}{x^3 + 1} + \frac{4}{x + 1} = \frac{5x - 1}{x^2 - x + 1}$;
б) $\frac{a^2 + 56}{a^3 + 8} + \frac{3a + 2}{a^2 - 2a + 4} = \frac{5}{a + 2}$;
в) $\frac{16 - a^2}{8a^3 + 1} - \frac{2a + 1}{4a^2 - 2a + 1} = \frac{2}{2a + 1}$;
г) $\frac{x + 3}{9x^2 + 3x + 1} + \frac{3}{27x^3 - 1} = \frac{1}{3x - 1}$.
Решение 1. №29.19 (с. 168)




Решение 2. №29.19 (с. 168)

Решение 4. №29.19 (с. 168)


Решение 6. №29.19 (с. 168)
a) $\frac{8x + 4}{x^3 + 1} + \frac{4}{x + 1} = \frac{5x - 1}{x^2 - x + 1}$
Сначала разложим знаменатель $x^3 + 1$ на множители, используя формулу суммы кубов $a^3 + b^3 = (a + b)(a^2 - ab + b^2)$:
$x^3 + 1 = (x + 1)(x^2 - x + 1)$.
Уравнение принимает вид:
$\frac{8x + 4}{(x + 1)(x^2 - x + 1)} + \frac{4}{x + 1} = \frac{5x - 1}{x^2 - x + 1}$.
Область допустимых значений (ОДЗ) определяется условиями, что знаменатели не равны нулю.
$x + 1 \neq 0 \implies x \neq -1$.
Выражение $x^2 - x + 1$ не равно нулю для любых действительных $x$, так как его дискриминант $D = (-1)^2 - 4 \cdot 1 \cdot 1 = -3 < 0$.
Итак, ОДЗ: $x \neq -1$.
Приведем все дроби к общему знаменателю $(x + 1)(x^2 - x + 1)$:
$\frac{8x + 4}{(x + 1)(x^2 - x + 1)} + \frac{4(x^2 - x + 1)}{(x + 1)(x^2 - x + 1)} = \frac{(5x - 1)(x + 1)}{(x + 1)(x^2 - x + 1)}$.
Так как знаменатели равны и не обращаются в ноль в ОДЗ, мы можем приравнять числители:
$8x + 4 + 4(x^2 - x + 1) = (5x - 1)(x + 1)$
$8x + 4 + 4x^2 - 4x + 4 = 5x^2 + 5x - x - 1$
$4x^2 + 4x + 8 = 5x^2 + 4x - 1$
Перенесем все члены в одну сторону и упростим:
$5x^2 - 4x^2 + 4x - 4x - 1 - 8 = 0$
$x^2 - 9 = 0$
$(x - 3)(x + 3) = 0$.
Отсюда получаем два корня: $x_1 = 3$ и $x_2 = -3$.
Оба корня удовлетворяют ОДЗ ($x \neq -1$).
Ответ: $x = -3, x = 3$.
б) $\frac{a^2 + 56}{a^3 + 8} + \frac{3a + 2}{a^2 - 2a + 4} = \frac{5}{a + 2}$
Разложим знаменатель $a^3 + 8$ на множители по формуле суммы кубов:
$a^3 + 8 = a^3 + 2^3 = (a + 2)(a^2 - 2a + 4)$.
Уравнение переписывается в виде:
$\frac{a^2 + 56}{(a + 2)(a^2 - 2a + 4)} + \frac{3a + 2}{a^2 - 2a + 4} = \frac{5}{a + 2}$.
ОДЗ: $a + 2 \neq 0 \implies a \neq -2$. Выражение $a^2 - 2a + 4$ всегда положительно, так как его дискриминант $D = (-2)^2 - 4 \cdot 1 \cdot 4 = -12 < 0$.
Итак, ОДЗ: $a \neq -2$.
Приведем дроби к общему знаменателю $(a + 2)(a^2 - 2a + 4)$:
$\frac{a^2 + 56}{(a + 2)(a^2 - 2a + 4)} + \frac{(3a + 2)(a + 2)}{(a + 2)(a^2 - 2a + 4)} = \frac{5(a^2 - 2a + 4)}{(a + 2)(a^2 - 2a + 4)}$.
Приравниваем числители:
$a^2 + 56 + (3a + 2)(a + 2) = 5(a^2 - 2a + 4)$
$a^2 + 56 + 3a^2 + 6a + 2a + 4 = 5a^2 - 10a + 20$
$4a^2 + 8a + 60 = 5a^2 - 10a + 20$.
Переносим все члены в правую часть:
$5a^2 - 4a^2 - 10a - 8a + 20 - 60 = 0$
$a^2 - 18a - 40 = 0$.
Решим квадратное уравнение по теореме Виета. Ищем два числа, сумма которых равна 18, а произведение -40. Это числа 20 и -2.
$a_1 = 20$, $a_2 = -2$.
Проверяем корни по ОДЗ ($a \neq -2$). Корень $a_2 = -2$ является посторонним.
Следовательно, единственное решение - это $a = 20$.
Ответ: $a = 20$.
в) $\frac{16 - a^2}{8a^3 + 1} - \frac{2a + 1}{4a^2 - 2a + 1} = \frac{2}{2a + 1}$
Разложим знаменатель $8a^3 + 1$ на множители:
$8a^3 + 1 = (2a)^3 + 1^3 = (2a + 1)(4a^2 - 2a + 1)$.
Уравнение принимает вид:
$\frac{16 - a^2}{(2a + 1)(4a^2 - 2a + 1)} - \frac{2a + 1}{4a^2 - 2a + 1} = \frac{2}{2a + 1}$.
ОДЗ: $2a + 1 \neq 0 \implies a \neq -1/2$. Выражение $4a^2 - 2a + 1$ всегда положительно (дискриминант $D = (-2)^2 - 4 \cdot 4 \cdot 1 = -12 < 0$).
Итак, ОДЗ: $a \neq -1/2$.
Приводим к общему знаменателю $(2a + 1)(4a^2 - 2a + 1)$:
$\frac{16 - a^2}{(2a + 1)(4a^2 - 2a + 1)} - \frac{(2a + 1)(2a+1)}{(2a + 1)(4a^2 - 2a + 1)} = \frac{2(4a^2 - 2a + 1)}{(2a + 1)(4a^2 - 2a + 1)}$.
Приравниваем числители:
$16 - a^2 - (2a + 1)^2 = 2(4a^2 - 2a + 1)$
$16 - a^2 - (4a^2 + 4a + 1) = 8a^2 - 4a + 2$
$16 - a^2 - 4a^2 - 4a - 1 = 8a^2 - 4a + 2$
$-5a^2 - 4a + 15 = 8a^2 - 4a + 2$.
Собираем все члены в одну сторону:
$8a^2 + 5a^2 - 4a + 4a + 2 - 15 = 0$
$13a^2 - 13 = 0$
$13(a^2 - 1) = 0$
$a^2 = 1$.
Корни уравнения: $a_1 = 1$ и $a_2 = -1$.
Оба корня удовлетворяют ОДЗ ($a \neq -1/2$).
Ответ: $a = -1, a = 1$.
г) $\frac{x + 3}{9x^2 + 3x + 1} + \frac{3}{27x^3 - 1} = \frac{1}{3x - 1}$
Разложим знаменатель $27x^3 - 1$ на множители по формуле разности кубов $a^3 - b^3 = (a - b)(a^2 + ab + b^2)$:
$27x^3 - 1 = (3x)^3 - 1^3 = (3x - 1)(9x^2 + 3x + 1)$.
Перепишем уравнение:
$\frac{x + 3}{9x^2 + 3x + 1} + \frac{3}{(3x - 1)(9x^2 + 3x + 1)} = \frac{1}{3x - 1}$.
ОДЗ: $3x - 1 \neq 0 \implies x \neq 1/3$. Выражение $9x^2 + 3x + 1$ всегда положительно (дискриминант $D = 3^2 - 4 \cdot 9 \cdot 1 = -27 < 0$).
Итак, ОДЗ: $x \neq 1/3$.
Приведем дроби к общему знаменателю $(3x - 1)(9x^2 + 3x + 1)$. Для этого перенесем дробь из правой части налево:
$\frac{(x+3)(3x-1)}{(3x-1)(9x^2 + 3x + 1)} + \frac{3}{(3x - 1)(9x^2 + 3x + 1)} - \frac{9x^2 + 3x + 1}{(3x - 1)(9x^2 + 3x + 1)} = 0$.
Приравниваем числитель к нулю:
$(x + 3)(3x - 1) + 3 - (9x^2 + 3x + 1) = 0$
$3x^2 - x + 9x - 3 + 3 - 9x^2 - 3x - 1 = 0$
$(3x^2 - 9x^2) + (-x + 9x - 3x) + (-3 + 3 - 1) = 0$
$-6x^2 + 5x - 1 = 0$.
Умножим уравнение на -1 для удобства:
$6x^2 - 5x + 1 = 0$.
Решим квадратное уравнение через дискриминант:
$D = (-5)^2 - 4 \cdot 6 \cdot 1 = 25 - 24 = 1$
$x = \frac{-(-5) \pm \sqrt{1}}{2 \cdot 6} = \frac{5 \pm 1}{12}$.
Получаем два корня:
$x_1 = \frac{5 + 1}{12} = \frac{6}{12} = \frac{1}{2}$
$x_2 = \frac{5 - 1}{12} = \frac{4}{12} = \frac{1}{3}$.
Проверяем корни по ОДЗ ($x \neq 1/3$). Корень $x_2 = 1/3$ является посторонним.
Остается единственный корень $x = 1/2$.
Ответ: $x = 1/2$.
Другие задания:
Помогло решение? Оставьте отзыв в комментариях ниже.
Присоединяйтесь к Телеграм-группе @top_gdz
ПрисоединитьсяМы подготовили для вас ответ c подробным объяснением домашего задания по алгебре за 8 класс, для упражнения номер 29.19 расположенного на странице 168 для 2-й части к учебнику 2019 года издания для учащихся школ и гимназий.
Теперь на нашем сайте ГДЗ.ТОП вы всегда легко и бесплатно найдёте условие с правильным ответом на вопрос «Как решить ДЗ» и «Как сделать» задание по алгебре к упражнению №29.19 (с. 168), авторов: Мордкович (Александр Григорьевич), Александрова (Лилия Александровна), Мишустина (Татьяна Николаевна), Тульчинская (Елена Ефимовна), Семенов (Павел Владимирович), 2-й части учебного пособия издательства Мнемозина.