Номер 29.21, страница 169, часть 2 - гдз по алгебре 8 класс учебник Мордкович, Александрова

Авторы: Мордкович А. Г., Александрова Л. А., Мишустина Т. Н., Тульчинская Е. Е., Семенов П. В.
Тип: Учебник
Издательство: Мнемозина
Год издания: 2019 - 2025
Часть: 2
Цвет обложки:
Допущено Министерством просвещения Российской Федерации
Популярные ГДЗ в 8 классе
Параграф 29. Рациональные уравнения. Глава 4. Квадратные уравнения. Часть 2 - номер 29.21, страница 169.
№29.21 (с. 169)
Условие. №29.21 (с. 169)
скриншот условия

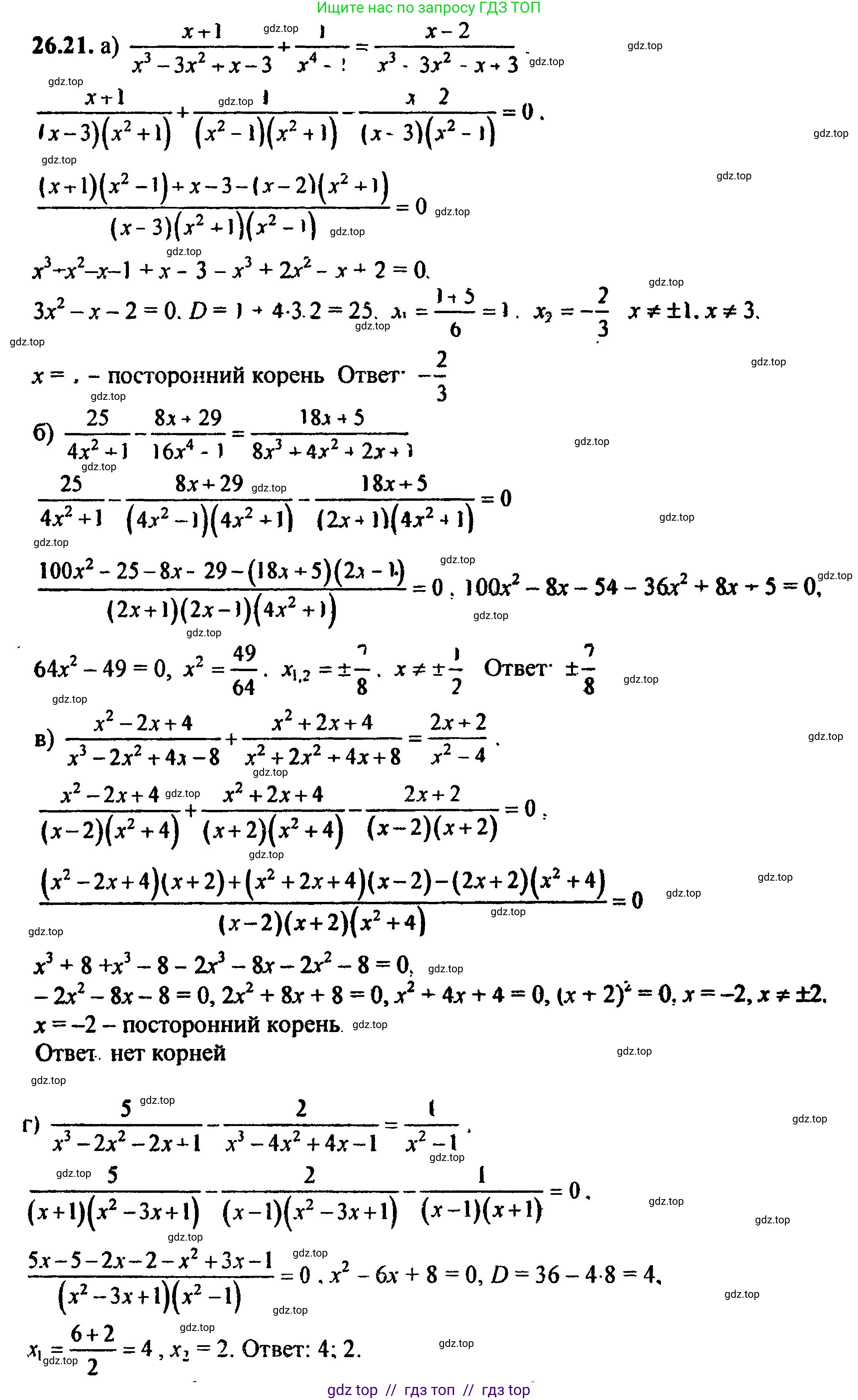
29.21 a) $\frac{x + 1}{x^3 - 3x^2 + x - 3} + \frac{1}{x^4 - 1} = \frac{x - 2}{x^3 - 3x^2 - x + 3}$
б) $\frac{25}{4x^2 + 1} - \frac{8x + 29}{16x^4 - 1} = \frac{18x + 5}{8x^3 + 4x^2 + 2x + 1}$
в) $\frac{x^2 - 2x + 4}{x^3 - 2x^2 + 4x - 8} + \frac{x^2 + 2x + 4}{x^3 + 2x^2 + 4x + 8} = \frac{2x + 2}{x^2 - 4}$
г) $\frac{5}{x^3 - 2x^2 - 2x + 1} - \frac{2}{x^3 - 4x^2 + 4x - 1} = \frac{1}{x^2 - 1}$
Решение 1. №29.21 (с. 169)




Решение 2. №29.21 (с. 169)

Решение 4. №29.21 (с. 169)


Решение 6. №29.21 (с. 169)
а) $\frac{x+1}{x^3 - 3x^2 + x - 3} + \frac{1}{x^4 - 1} = \frac{x-2}{x^3 - 3x^2 - x + 3}$
1. Разложим знаменатели на множители.
$x^3 - 3x^2 + x - 3 = x^2(x - 3) + 1(x - 3) = (x^2 + 1)(x - 3)$
$x^4 - 1 = (x^2 - 1)(x^2 + 1) = (x - 1)(x + 1)(x^2 + 1)$
$x^3 - 3x^2 - x + 3 = x^2(x - 3) - 1(x - 3) = (x^2 - 1)(x - 3) = (x - 1)(x + 1)(x - 3)$
2. Перепишем уравнение с разложенными знаменателями:
$\frac{x+1}{(x^2+1)(x-3)} + \frac{1}{(x-1)(x+1)(x^2+1)} = \frac{x-2}{(x-1)(x+1)(x-3)}$
3. Область допустимых значений (ОДЗ) определяется условиями, что знаменатели не равны нулю: $x - 3 \neq 0 \implies x \neq 3$ $x - 1 \neq 0 \implies x \neq 1$ $x + 1 \neq 0 \implies x \neq -1$ ($x^2+1 \neq 0$ для всех действительных $x$). Итак, ОДЗ: $x \neq \pm 1, x \neq 3$.
4. Умножим обе части уравнения на общий знаменатель $(x^2+1)(x-3)(x-1)(x+1)$:
$(x+1)(x-1)(x+1) + 1(x-3) = (x-2)(x^2+1)$
5. Упростим и решим полученное уравнение:
$(x+1)^2(x-1) + x - 3 = x^3 + x - 2x^2 - 2$
$(x^2 + 2x + 1)(x - 1) + x - 3 = x^3 - 2x^2 + x - 2$
$x^3 - x^2 + 2x^2 - 2x + x - 1 + x - 3 = x^3 - 2x^2 + x - 2$
$x^3 + x^2 - 4 = x^3 - 2x^2 + x - 2$
$x^2 + 2x^2 - x - 4 + 2 = 0$
$3x^2 - x - 2 = 0$
6. Решим квадратное уравнение. Дискриминант $D = b^2 - 4ac = (-1)^2 - 4(3)(-2) = 1 + 24 = 25$.
$x_1 = \frac{-b + \sqrt{D}}{2a} = \frac{1 + 5}{6} = 1$
$x_2 = \frac{-b - \sqrt{D}}{2a} = \frac{1 - 5}{6} = -\frac{4}{6} = -\frac{2}{3}$
7. Проверим корни на соответствие ОДЗ. Корень $x_1 = 1$ не входит в ОДЗ, так как $x \neq 1$. Корень $x_2 = -2/3$ входит в ОДЗ. Следовательно, единственным решением является $x = -2/3$.
Ответ: $-\frac{2}{3}$.
б) $\frac{25}{4x^2 + 1} - \frac{8x + 29}{16x^4 - 1} = \frac{18x + 5}{8x^3 + 4x^2 + 2x + 1}$
1. Разложим знаменатели на множители.
$16x^4 - 1 = (4x^2 - 1)(4x^2 + 1) = (2x - 1)(2x + 1)(4x^2 + 1)$
$8x^3 + 4x^2 + 2x + 1 = 4x^2(2x + 1) + 1(2x + 1) = (4x^2 + 1)(2x + 1)$
2. Перепишем уравнение:
$\frac{25}{4x^2 + 1} - \frac{8x + 29}{(2x - 1)(2x + 1)(4x^2 + 1)} = \frac{18x + 5}{(4x^2 + 1)(2x + 1)}$
3. ОДЗ: $2x - 1 \neq 0 \implies x \neq 1/2$; $2x + 1 \neq 0 \implies x \neq -1/2$. Итак, $x \neq \pm 1/2$.
4. Умножим обе части уравнения на общий знаменатель $(2x - 1)(2x + 1)(4x^2 + 1)$:
$25(2x - 1)(2x + 1) - (8x + 29) = (18x + 5)(2x - 1)$
5. Упростим и решим уравнение:
$25(4x^2 - 1) - 8x - 29 = 36x^2 - 18x + 10x - 5$
$100x^2 - 25 - 8x - 29 = 36x^2 - 8x - 5$
$100x^2 - 8x - 54 = 36x^2 - 8x - 5$
$100x^2 - 36x^2 - 8x + 8x - 54 + 5 = 0$
$64x^2 - 49 = 0$
$64x^2 = 49$
$x^2 = \frac{49}{64}$
$x = \pm \sqrt{\frac{49}{64}} \implies x = \pm \frac{7}{8}$
6. Оба корня, $x = 7/8$ и $x = -7/8$, входят в ОДЗ.
Ответ: $\pm\frac{7}{8}$.
в) $\frac{x^2 - 2x + 4}{x^3 - 2x^2 + 4x - 8} + \frac{x^2 + 2x + 4}{x^3 + 2x^2 + 4x + 8} = \frac{2x + 2}{x^2 - 4}$
1. Разложим знаменатели на множители.
$x^3 - 2x^2 + 4x - 8 = x^2(x - 2) + 4(x - 2) = (x^2 + 4)(x - 2)$
$x^3 + 2x^2 + 4x + 8 = x^2(x + 2) + 4(x + 2) = (x^2 + 4)(x + 2)$
$x^2 - 4 = (x - 2)(x + 2)$
2. Перепишем уравнение:
$\frac{x^2 - 2x + 4}{(x^2 + 4)(x - 2)} + \frac{x^2 + 2x + 4}{(x^2 + 4)(x + 2)} = \frac{2x + 2}{(x - 2)(x + 2)}$
3. ОДЗ: $x - 2 \neq 0 \implies x \neq 2$; $x + 2 \neq 0 \implies x \neq -2$. Итак, $x \neq \pm 2$.
4. Умножим обе части на общий знаменатель $(x^2 + 4)(x - 2)(x + 2)$:
$(x^2 - 2x + 4)(x + 2) + (x^2 + 2x + 4)(x - 2) = (2x + 2)(x^2 + 4)$
5. Левая часть представляет собой сумму формул суммы и разности кубов:
$(x^3 + 2^3) + (x^3 - 2^3) = (2x + 2)(x^2 + 4)$
$x^3 + 8 + x^3 - 8 = 2x^3 + 8x + 2x^2 + 8$
$2x^3 = 2x^3 + 2x^2 + 8x + 8$
$0 = 2x^2 + 8x + 8$
6. Разделим уравнение на 2:
$x^2 + 4x + 4 = 0$
$(x + 2)^2 = 0$
$x + 2 = 0 \implies x = -2$
7. Проверим корень на соответствие ОДЗ. Корень $x = -2$ не входит в ОДЗ ($x \neq -2$), поэтому является посторонним.
Ответ: корней нет.
г) $\frac{5}{x^3 - 2x^2 - 2x + 1} - \frac{2}{x^3 - 4x^2 + 4x - 1} = \frac{1}{x^2 - 1}$
1. Разложим знаменатели на множители. Для кубических многочленов найдем рациональные корни.
Для $P(x) = x^3 - 2x^2 - 2x + 1$: $P(-1) = -1 - 2 + 2 + 1 = 0$, значит $(x+1)$ является множителем. Делением в столбик получаем: $x^3 - 2x^2 - 2x + 1 = (x + 1)(x^2 - 3x + 1)$.
Для $Q(x) = x^3 - 4x^2 + 4x - 1$: $Q(1) = 1 - 4 + 4 - 1 = 0$, значит $(x-1)$ является множителем. Делением в столбик получаем: $x^3 - 4x^2 + 4x - 1 = (x - 1)(x^2 - 3x + 1)$.
$x^2 - 1 = (x - 1)(x + 1)$
2. Перепишем уравнение:
$\frac{5}{(x + 1)(x^2 - 3x + 1)} - \frac{2}{(x - 1)(x^2 - 3x + 1)} = \frac{1}{(x - 1)(x + 1)}$
3. ОДЗ: $x \neq \pm 1$ и $x^2 - 3x + 1 \neq 0$. Корни $x^2 - 3x + 1 = 0$ равны $x = \frac{3 \pm \sqrt{9-4}}{2} = \frac{3 \pm \sqrt{5}}{2}$. Итак, ОДЗ: $x \neq \pm 1, x \neq \frac{3 \pm \sqrt{5}}{2}$.
4. Умножим обе части на общий знаменатель $(x - 1)(x + 1)(x^2 - 3x + 1)$:
$5(x - 1) - 2(x + 1) = 1(x^2 - 3x + 1)$
5. Упростим и решим уравнение:
$5x - 5 - 2x - 2 = x^2 - 3x + 1$
$3x - 7 = x^2 - 3x + 1$
$0 = x^2 - 3x - 3x + 1 + 7$
$x^2 - 6x + 8 = 0$
6. Решим квадратное уравнение. По теореме Виета, корни $x_1 = 2, x_2 = 4$.
7. Оба корня $x = 2$ и $x = 4$ входят в ОДЗ, так как они не равны $\pm 1$ и $\frac{3 \pm \sqrt{5}}{2}$.
Ответ: $2; 4$.
Другие задания:
Помогло решение? Оставьте отзыв в комментариях ниже.
Присоединяйтесь к Телеграм-группе @top_gdz
ПрисоединитьсяМы подготовили для вас ответ c подробным объяснением домашего задания по алгебре за 8 класс, для упражнения номер 29.21 расположенного на странице 169 для 2-й части к учебнику 2019 года издания для учащихся школ и гимназий.
Теперь на нашем сайте ГДЗ.ТОП вы всегда легко и бесплатно найдёте условие с правильным ответом на вопрос «Как решить ДЗ» и «Как сделать» задание по алгебре к упражнению №29.21 (с. 169), авторов: Мордкович (Александр Григорьевич), Александрова (Лилия Александровна), Мишустина (Татьяна Николаевна), Тульчинская (Елена Ефимовна), Семенов (Павел Владимирович), 2-й части учебного пособия издательства Мнемозина.