Номер 29.24, страница 169, часть 2 - гдз по алгебре 8 класс учебник Мордкович, Александрова

Авторы: Мордкович А. Г., Александрова Л. А., Мишустина Т. Н., Тульчинская Е. Е., Семенов П. В.
Тип: Учебник
Издательство: Мнемозина
Год издания: 2019 - 2025
Часть: 2
Цвет обложки:
Допущено Министерством просвещения Российской Федерации
Популярные ГДЗ в 8 классе
Параграф 29. Рациональные уравнения. Глава 4. Квадратные уравнения. Часть 2 - номер 29.24, страница 169.
№29.24 (с. 169)
Условие. №29.24 (с. 169)
скриншот условия

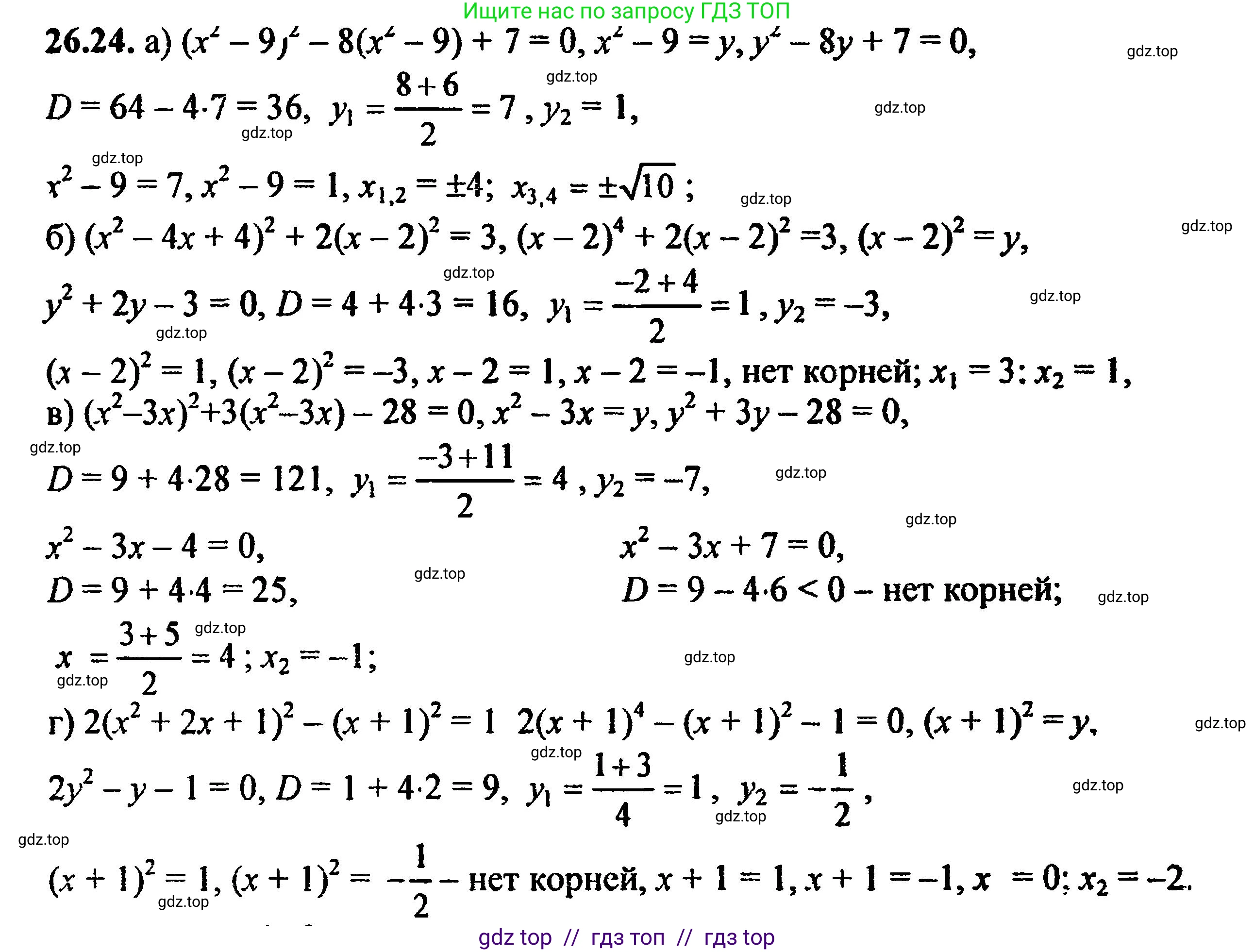
29.24 a) $(x^2 - 9)^2 - 8(x^2 - 9) + 7 = 0;$
б) $(x^2 - 4x + 4)^2 + 2(x - 2)^2 = 3;$
в) $(x^2 - 3x)^2 + 3(x^2 - 3x) - 28 = 0;$
г) $2(x^2 + 2x + 1)^2 - (x + 1)^2 = 1.$
Решение 1. №29.24 (с. 169)




Решение 2. №29.24 (с. 169)

Решение 4. №29.24 (с. 169)


Решение 6. №29.24 (с. 169)
а) $(x^2 - 9)^2 - 8(x^2 - 9) + 7 = 0;$
Это биквадратное уравнение относительно выражения $(x^2 - 9)$. Введем замену переменной. Пусть $y = x^2 - 9$. Тогда уравнение примет вид:
$y^2 - 8y + 7 = 0$
Решим это квадратное уравнение относительно $y$. Можно использовать теорему Виета. Сумма корней равна 8, а их произведение равно 7. Легко подобрать корни:
$y_1 = 1$
$y_2 = 7$
Теперь вернемся к исходной переменной $x$, рассмотрев два случая.
Случай 1: $y_1 = 1$
$x^2 - 9 = 1$
$x^2 = 10$
$x = \pm\sqrt{10}$
Случай 2: $y_2 = 7$
$x^2 - 9 = 7$
$x^2 = 16$
$x = \pm\sqrt{16}$
$x = \pm 4$
Таким образом, уравнение имеет четыре корня.
Ответ: $x_1 = -\sqrt{10}, x_2 = \sqrt{10}, x_3 = -4, x_4 = 4$.
б) $(x^2 - 4x + 4)^2 + 2(x - 2)^2 = 3;$
Заметим, что выражение в первой скобке является полным квадратом: $x^2 - 4x + 4 = (x - 2)^2$. Подставим это в исходное уравнение:
$((x - 2)^2)^2 + 2(x - 2)^2 = 3$
$(x - 2)^4 + 2(x - 2)^2 - 3 = 0$
Введем замену переменной. Пусть $y = (x - 2)^2$. Так как $y$ представляет собой квадрат выражения, то $y \ge 0$. Уравнение примет вид:
$y^2 + 2y - 3 = 0$
Решим это квадратное уравнение. По теореме Виета, сумма корней равна -2, а произведение равно -3. Корни:
$y_1 = 1$
$y_2 = -3$
Корень $y_2 = -3$ не удовлетворяет условию $y \ge 0$, поэтому он является посторонним. Рассматриваем только $y_1 = 1$.
Вернемся к исходной переменной $x$:
$(x - 2)^2 = 1$
Это уравнение распадается на два:
1) $x - 2 = 1 \implies x = 3$
2) $x - 2 = -1 \implies x = 1$
Уравнение имеет два корня.
Ответ: $x_1 = 1, x_2 = 3$.
в) $(x^2 - 3x)^2 + 3(x^2 - 3x) - 28 = 0;$
Это уравнение также решается методом замены переменной. Пусть $y = x^2 - 3x$. Тогда уравнение можно переписать в виде:
$y^2 + 3y - 28 = 0$
Решим полученное квадратное уравнение. По теореме Виета, сумма корней равна -3, а произведение -28. Корни:
$y_1 = 4$
$y_2 = -7$
Теперь выполним обратную замену для каждого найденного значения $y$.
Случай 1: $y_1 = 4$
$x^2 - 3x = 4$
$x^2 - 3x - 4 = 0$
По теореме Виета, сумма корней этого уравнения равна 3, а произведение -4. Корни:
$x_1 = 4$
$x_2 = -1$
Случай 2: $y_2 = -7$
$x^2 - 3x = -7$
$x^2 - 3x + 7 = 0$
Найдем дискриминант этого уравнения: $D = b^2 - 4ac = (-3)^2 - 4 \cdot 1 \cdot 7 = 9 - 28 = -19$.
Поскольку дискриминант $D < 0$, это уравнение не имеет действительных корней.
Следовательно, исходное уравнение имеет только два корня.
Ответ: $x_1 = -1, x_2 = 4$.
г) $2(x^2 + 2x + 1)^2 - (x + 1)^2 = 1.$
Заметим, что выражение в первой скобке является полным квадратом: $x^2 + 2x + 1 = (x + 1)^2$. Подставим это в уравнение:
$2((x + 1)^2)^2 - (x + 1)^2 = 1$
$2(x + 1)^4 - (x + 1)^2 - 1 = 0$
Введем замену переменной. Пусть $y = (x + 1)^2$. Учитываем, что $y \ge 0$. Уравнение примет вид:
$2y^2 - y - 1 = 0$
Решим это квадратное уравнение с помощью дискриминанта:
$D = b^2 - 4ac = (-1)^2 - 4 \cdot 2 \cdot (-1) = 1 + 8 = 9 = 3^2$
$y = \frac{-b \pm \sqrt{D}}{2a} = \frac{1 \pm 3}{2 \cdot 2} = \frac{1 \pm 3}{4}$
$y_1 = \frac{1 + 3}{4} = 1$
$y_2 = \frac{1 - 3}{4} = -\frac{2}{4} = -\frac{1}{2}$
Корень $y_2 = -1/2$ не удовлетворяет условию $y \ge 0$, поэтому отбрасываем его. Остается только $y_1 = 1$.
Выполним обратную замену:
$(x + 1)^2 = 1$
Это уравнение распадается на два:
1) $x + 1 = 1 \implies x = 0$
2) $x + 1 = -1 \implies x = -2$
Уравнение имеет два корня.
Ответ: $x_1 = -2, x_2 = 0$.
Другие задания:
Помогло решение? Оставьте отзыв в комментариях ниже.
Присоединяйтесь к Телеграм-группе @top_gdz
ПрисоединитьсяМы подготовили для вас ответ c подробным объяснением домашего задания по алгебре за 8 класс, для упражнения номер 29.24 расположенного на странице 169 для 2-й части к учебнику 2019 года издания для учащихся школ и гимназий.
Теперь на нашем сайте ГДЗ.ТОП вы всегда легко и бесплатно найдёте условие с правильным ответом на вопрос «Как решить ДЗ» и «Как сделать» задание по алгебре к упражнению №29.24 (с. 169), авторов: Мордкович (Александр Григорьевич), Александрова (Лилия Александровна), Мишустина (Татьяна Николаевна), Тульчинская (Елена Ефимовна), Семенов (Павел Владимирович), 2-й части учебного пособия издательства Мнемозина.