Номер 31.6, страница 177, часть 2 - гдз по алгебре 8 класс учебник Мордкович, Александрова

Авторы: Мордкович А. Г., Александрова Л. А., Мишустина Т. Н., Тульчинская Е. Е., Семенов П. В.
Тип: Учебник
Издательство: Мнемозина
Год издания: 2019 - 2025
Часть: 2
Цвет обложки:
Допущено Министерством просвещения Российской Федерации
Популярные ГДЗ в 8 классе
Параграф 31. Ещё одна формула корней квадратного уравнения. Глава 4. Квадратные уравнения. Часть 2 - номер 31.6, страница 177.
№31.6 (с. 177)
Условие. №31.6 (с. 177)
скриншот условия

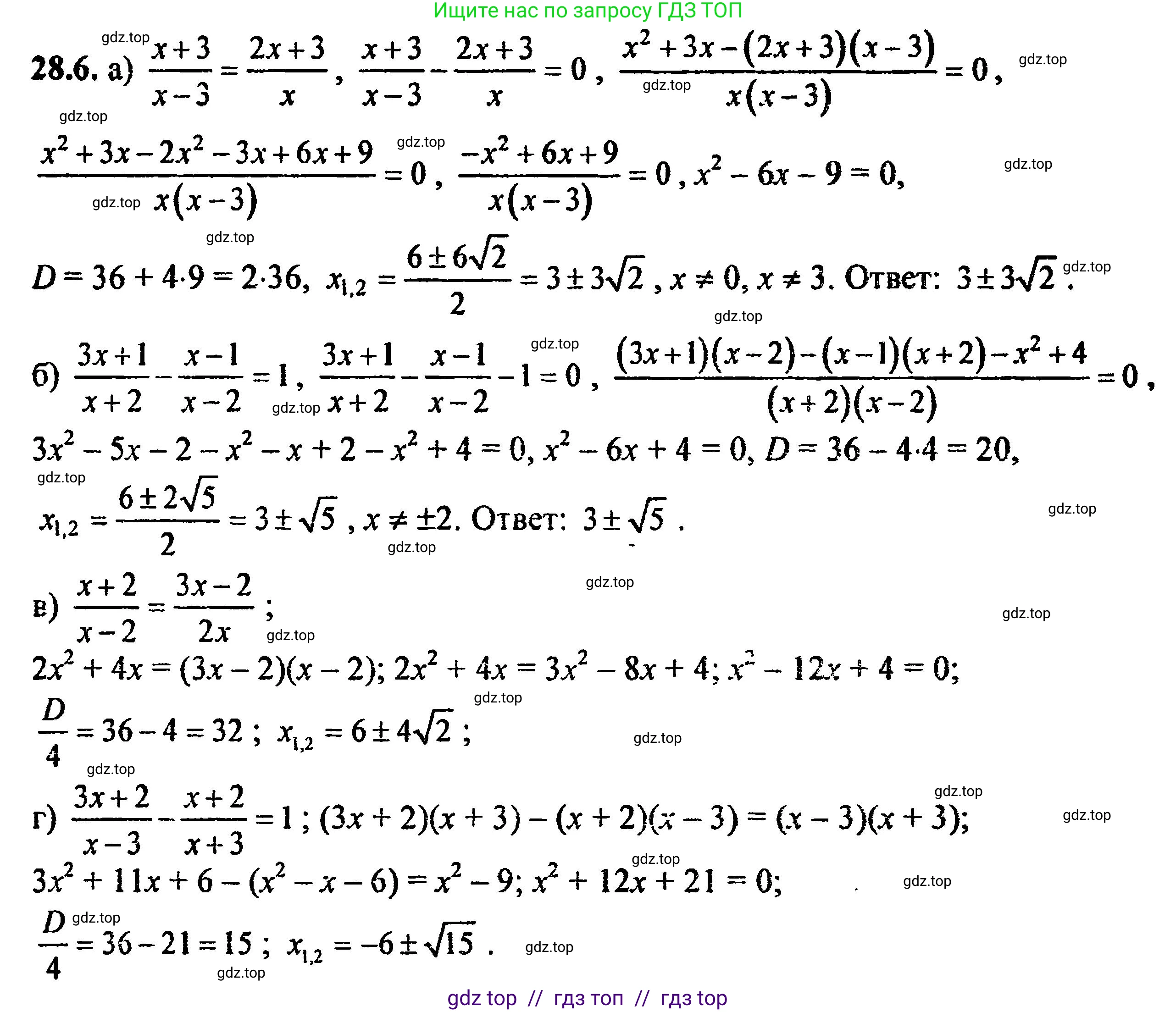
31.6 a) $\frac{x+3}{x-3} = \frac{2x+3}{x}$;
б) $\frac{3x+1}{x+2} - \frac{x-1}{x-2} = 1$;
в) $\frac{x+2}{x-2} = \frac{3x-2}{2x}$;
г) $\frac{3x+2}{x-3} - \frac{x+2}{x+3} = 1.$
Решение 1. №31.6 (с. 177)




Решение 2. №31.6 (с. 177)

Решение 3. №31.6 (с. 177)

Решение 4. №31.6 (с. 177)


Решение 6. №31.6 (с. 177)
Решим уравнение $\frac{x+3}{x-3} = \frac{2x+3}{x}$.
Область допустимых значений (ОДЗ) определяется условиями, при которых знаменатели не равны нулю: $x-3 \neq 0$ и $x \neq 0$, следовательно, $x \neq 3$ и $x \neq 0$.
Это пропорция, поэтому мы можем использовать правило перекрестного умножения: $(x+3) \cdot x = (2x+3) \cdot (x-3)$.
Раскроем скобки в обеих частях уравнения:
$x^2 + 3x = 2x^2 - 6x + 3x - 9$
$x^2 + 3x = 2x^2 - 3x - 9$
Перенесем все члены уравнения в одну сторону, чтобы получить квадратное уравнение вида $ax^2+bx+c=0$:
$2x^2 - x^2 - 3x - 3x - 9 = 0$
$x^2 - 6x - 9 = 0$
Решим полученное квадратное уравнение с помощью дискриминанта $D = b^2 - 4ac$:
$D = (-6)^2 - 4 \cdot 1 \cdot (-9) = 36 + 36 = 72$.
Так как $D > 0$, уравнение имеет два действительных корня, которые найдем по формуле $x_{1,2} = \frac{-b \pm \sqrt{D}}{2a}$:
$x = \frac{6 \pm \sqrt{72}}{2} = \frac{6 \pm \sqrt{36 \cdot 2}}{2} = \frac{6 \pm 6\sqrt{2}}{2} = 3 \pm 3\sqrt{2}$.
Оба корня, $x_1 = 3 + 3\sqrt{2}$ и $x_2 = 3 - 3\sqrt{2}$, не равны 0 или 3, следовательно, они удовлетворяют ОДЗ.
Ответ: $3 \pm 3\sqrt{2}$.
б)Решим уравнение $\frac{3x+1}{x+2} - \frac{x-1}{x-2} = 1$.
ОДЗ: $x+2 \neq 0$ и $x-2 \neq 0$, то есть $x \neq -2$ и $x \neq 2$.
Приведем дроби в левой части к общему знаменателю $(x+2)(x-2) = x^2-4$ и умножим обе части уравнения на этот знаменатель, чтобы избавиться от дробей:
$(3x+1)(x-2) - (x-1)(x+2) = 1 \cdot (x^2-4)$.
Раскроем скобки:
$(3x^2 - 6x + x - 2) - (x^2 + 2x - x - 2) = x^2 - 4$
$(3x^2 - 5x - 2) - (x^2 + x - 2) = x^2 - 4$
$3x^2 - 5x - 2 - x^2 - x + 2 = x^2 - 4$
Приведем подобные слагаемые:
$2x^2 - 6x = x^2 - 4$
Перенесем все в левую часть:
$x^2 - 6x + 4 = 0$.
Решим квадратное уравнение. Найдем дискриминант: $D = (-6)^2 - 4 \cdot 1 \cdot 4 = 36 - 16 = 20$.
Найдем корни уравнения:
$x = \frac{6 \pm \sqrt{20}}{2} = \frac{6 \pm \sqrt{4 \cdot 5}}{2} = \frac{6 \pm 2\sqrt{5}}{2} = 3 \pm \sqrt{5}$.
Полученные корни $x_1 = 3 + \sqrt{5}$ и $x_2 = 3 - \sqrt{5}$ удовлетворяют ОДЗ.
Ответ: $3 \pm \sqrt{5}$.
в)Решим уравнение $\frac{x+2}{x-2} = \frac{3x-2}{2x}$.
ОДЗ: $x-2 \neq 0$ и $2x \neq 0$, то есть $x \neq 2$ и $x \neq 0$.
Применим правило перекрестного умножения:
$(x+2) \cdot 2x = (3x-2) \cdot (x-2)$.
Раскроем скобки:
$2x^2 + 4x = 3x^2 - 6x - 2x + 4$
$2x^2 + 4x = 3x^2 - 8x + 4$
Перенесем все члены в правую часть:
$3x^2 - 2x^2 - 8x - 4x + 4 = 0$
$x^2 - 12x + 4 = 0$.
Решим квадратное уравнение. Дискриминант: $D = (-12)^2 - 4 \cdot 1 \cdot 4 = 144 - 16 = 128$.
Найдем корни:
$x = \frac{12 \pm \sqrt{128}}{2} = \frac{12 \pm \sqrt{64 \cdot 2}}{2} = \frac{12 \pm 8\sqrt{2}}{2} = 6 \pm 4\sqrt{2}$.
Корни $x_1 = 6 + 4\sqrt{2}$ и $x_2 = 6 - 4\sqrt{2}$ удовлетворяют ОДЗ.
Ответ: $6 \pm 4\sqrt{2}$.
г)Решим уравнение $\frac{3x+2}{x-3} - \frac{x+2}{x+3} = 1$.
ОДЗ: $x-3 \neq 0$ и $x+3 \neq 0$, то есть $x \neq 3$ и $x \neq -3$.
Умножим обе части уравнения на общий знаменатель $(x-3)(x+3) = x^2-9$:
$(3x+2)(x+3) - (x+2)(x-3) = 1 \cdot (x^2-9)$.
Раскроем скобки:
$(3x^2 + 9x + 2x + 6) - (x^2 - 3x + 2x - 6) = x^2 - 9$
$(3x^2 + 11x + 6) - (x^2 - x - 6) = x^2 - 9$
$3x^2 + 11x + 6 - x^2 + x + 6 = x^2 - 9$
Приведем подобные слагаемые:
$2x^2 + 12x + 12 = x^2 - 9$
Перенесем все в левую часть:
$x^2 + 12x + 21 = 0$.
Решим квадратное уравнение. Дискриминант: $D = (12)^2 - 4 \cdot 1 \cdot 21 = 144 - 84 = 60$.
Найдем корни:
$x = \frac{-12 \pm \sqrt{60}}{2} = \frac{-12 \pm \sqrt{4 \cdot 15}}{2} = \frac{-12 \pm 2\sqrt{15}}{2} = -6 \pm \sqrt{15}$.
Корни $x_1 = -6 + \sqrt{15}$ и $x_2 = -6 - \sqrt{15}$ удовлетворяют ОДЗ.
Ответ: $-6 \pm \sqrt{15}$.
Другие задания:
Помогло решение? Оставьте отзыв в комментариях ниже.
Присоединяйтесь к Телеграм-группе @top_gdz
ПрисоединитьсяМы подготовили для вас ответ c подробным объяснением домашего задания по алгебре за 8 класс, для упражнения номер 31.6 расположенного на странице 177 для 2-й части к учебнику 2019 года издания для учащихся школ и гимназий.
Теперь на нашем сайте ГДЗ.ТОП вы всегда легко и бесплатно найдёте условие с правильным ответом на вопрос «Как решить ДЗ» и «Как сделать» задание по алгебре к упражнению №31.6 (с. 177), авторов: Мордкович (Александр Григорьевич), Александрова (Лилия Александровна), Мишустина (Татьяна Николаевна), Тульчинская (Елена Ефимовна), Семенов (Павел Владимирович), 2-й части учебного пособия издательства Мнемозина.