Номер 32.12, страница 181, часть 2 - гдз по алгебре 8 класс учебник Мордкович, Александрова

Авторы: Мордкович А. Г., Александрова Л. А., Мишустина Т. Н., Тульчинская Е. Е., Семенов П. В.
Тип: Учебник
Издательство: Мнемозина
Год издания: 2019 - 2025
Часть: 2
Цвет обложки:
Допущено Министерством просвещения Российской Федерации
Популярные ГДЗ в 8 классе
Параграф 32. Теорема Виета и её применение. Глава 4. Квадратные уравнения. Часть 2 - номер 32.12, страница 181.
№32.12 (с. 181)
Условие. №32.12 (с. 181)
скриншот условия

32.12 a) $3x^2 + 5x - 2;$
б) $6x^2 + 5x + 1;$
в) $5x^2 + 2x - 3;$
г) $15x^2 - 8x + 1.$
Решение 1. №32.12 (с. 181)




Решение 2. №32.12 (с. 181)

Решение 3. №32.12 (с. 181)

Решение 4. №32.12 (с. 181)

Решение 6. №32.12 (с. 181)
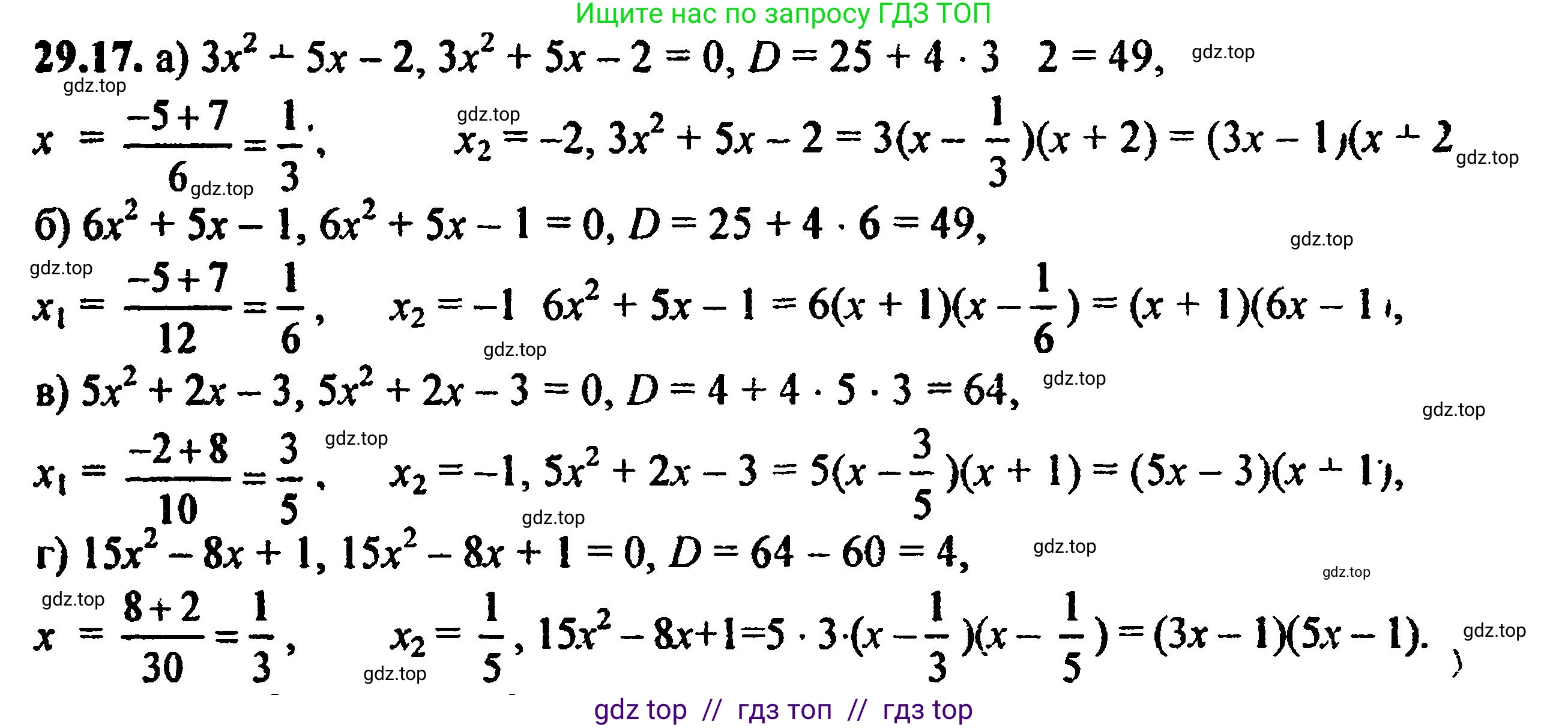
а) Чтобы разложить квадратный трехчлен $3x^2 + 5x - 2$ на множители, нужно найти его корни, решив квадратное уравнение $3x^2 + 5x - 2 = 0$.
Найдем дискриминант $D = b^2 - 4ac$:
$D = 5^2 - 4 \cdot 3 \cdot (-2) = 25 + 24 = 49 = 7^2$
Найдем корни уравнения по формуле $x_{1,2} = \frac{-b \pm \sqrt{D}}{2a}$:
$x_1 = \frac{-5 - 7}{2 \cdot 3} = \frac{-12}{6} = -2$
$x_2 = \frac{-5 + 7}{2 \cdot 3} = \frac{2}{6} = \frac{1}{3}$
Теперь воспользуемся формулой разложения квадратного трехчлена $ax^2 + bx + c = a(x - x_1)(x - x_2)$:
$3x^2 + 5x - 2 = 3(x - (-2))(x - \frac{1}{3}) = 3(x + 2)(x - \frac{1}{3})$
Внесем множитель 3 в скобку с дробью:
$(x + 2)(3(x - \frac{1}{3})) = (x + 2)(3x - 1)$
Ответ: $(x + 2)(3x - 1)$
б) Разложим на множители трехчлен $6x^2 + 5x + 1$. Для этого решим уравнение $6x^2 + 5x + 1 = 0$.
Найдем дискриминант $D = b^2 - 4ac$:
$D = 5^2 - 4 \cdot 6 \cdot 1 = 25 - 24 = 1 = 1^2$
Найдем корни уравнения:
$x_1 = \frac{-5 - 1}{2 \cdot 6} = \frac{-6}{12} = -\frac{1}{2}$
$x_2 = \frac{-5 + 1}{2 \cdot 6} = \frac{-4}{12} = -\frac{1}{3}$
Применим формулу разложения $ax^2 + bx + c = a(x - x_1)(x - x_2)$:
$6x^2 + 5x + 1 = 6(x - (-\frac{1}{2}))(x - (-\frac{1}{3})) = 6(x + \frac{1}{2})(x + \frac{1}{3})$
Представим множитель 6 как $2 \cdot 3$ и внесем каждый множитель в соответствующую скобку:
$2(x + \frac{1}{2}) \cdot 3(x + \frac{1}{3}) = (2x + 1)(3x + 1)$
Ответ: $(2x + 1)(3x + 1)$
в) Разложим на множители трехчлен $5x^2 + 2x - 3$. Решим уравнение $5x^2 + 2x - 3 = 0$.
Найдем дискриминант $D = b^2 - 4ac$:
$D = 2^2 - 4 \cdot 5 \cdot (-3) = 4 + 60 = 64 = 8^2$
Найдем корни уравнения:
$x_1 = \frac{-2 - 8}{2 \cdot 5} = \frac{-10}{10} = -1$
$x_2 = \frac{-2 + 8}{2 \cdot 5} = \frac{6}{10} = \frac{3}{5}$
Применим формулу разложения $ax^2 + bx + c = a(x - x_1)(x - x_2)$:
$5x^2 + 2x - 3 = 5(x - (-1))(x - \frac{3}{5}) = 5(x + 1)(x - \frac{3}{5})$
Внесем множитель 5 во вторую скобку:
$(x + 1)(5(x - \frac{3}{5})) = (x + 1)(5x - 3)$
Ответ: $(x + 1)(5x - 3)$
г) Разложим на множители трехчлен $15x^2 - 8x + 1$. Решим уравнение $15x^2 - 8x + 1 = 0$.
Найдем дискриминант $D = b^2 - 4ac$:
$D = (-8)^2 - 4 \cdot 15 \cdot 1 = 64 - 60 = 4 = 2^2$
Найдем корни уравнения:
$x_1 = \frac{8 - 2}{2 \cdot 15} = \frac{6}{30} = \frac{1}{5}$
$x_2 = \frac{8 + 2}{2 \cdot 15} = \frac{10}{30} = \frac{1}{3}$
Применим формулу разложения $ax^2 + bx + c = a(x - x_1)(x - x_2)$:
$15x^2 - 8x + 1 = 15(x - \frac{1}{5})(x - \frac{1}{3})$
Представим множитель 15 как $5 \cdot 3$ и внесем каждый множитель в соответствующую скобку:
$5(x - \frac{1}{5}) \cdot 3(x - \frac{1}{3}) = (5x - 1)(3x - 1)$
Ответ: $(5x - 1)(3x - 1)$
Другие задания:
Помогло решение? Оставьте отзыв в комментариях ниже.
Присоединяйтесь к Телеграм-группе @top_gdz
ПрисоединитьсяМы подготовили для вас ответ c подробным объяснением домашего задания по алгебре за 8 класс, для упражнения номер 32.12 расположенного на странице 181 для 2-й части к учебнику 2019 года издания для учащихся школ и гимназий.
Теперь на нашем сайте ГДЗ.ТОП вы всегда легко и бесплатно найдёте условие с правильным ответом на вопрос «Как решить ДЗ» и «Как сделать» задание по алгебре к упражнению №32.12 (с. 181), авторов: Мордкович (Александр Григорьевич), Александрова (Лилия Александровна), Мишустина (Татьяна Николаевна), Тульчинская (Елена Ефимовна), Семенов (Павел Владимирович), 2-й части учебного пособия издательства Мнемозина.