Номер 32.16, страница 181, часть 2 - гдз по алгебре 8 класс учебник Мордкович, Александрова

Авторы: Мордкович А. Г., Александрова Л. А., Мишустина Т. Н., Тульчинская Е. Е., Семенов П. В.
Тип: Учебник
Издательство: Мнемозина
Год издания: 2019 - 2025
Часть: 2
Цвет обложки:
Допущено Министерством просвещения Российской Федерации
Популярные ГДЗ в 8 классе
Параграф 32. Теорема Виета и её применение. Глава 4. Квадратные уравнения. Часть 2 - номер 32.16, страница 181.
№32.16 (с. 181)
Условие. №32.16 (с. 181)
скриншот условия

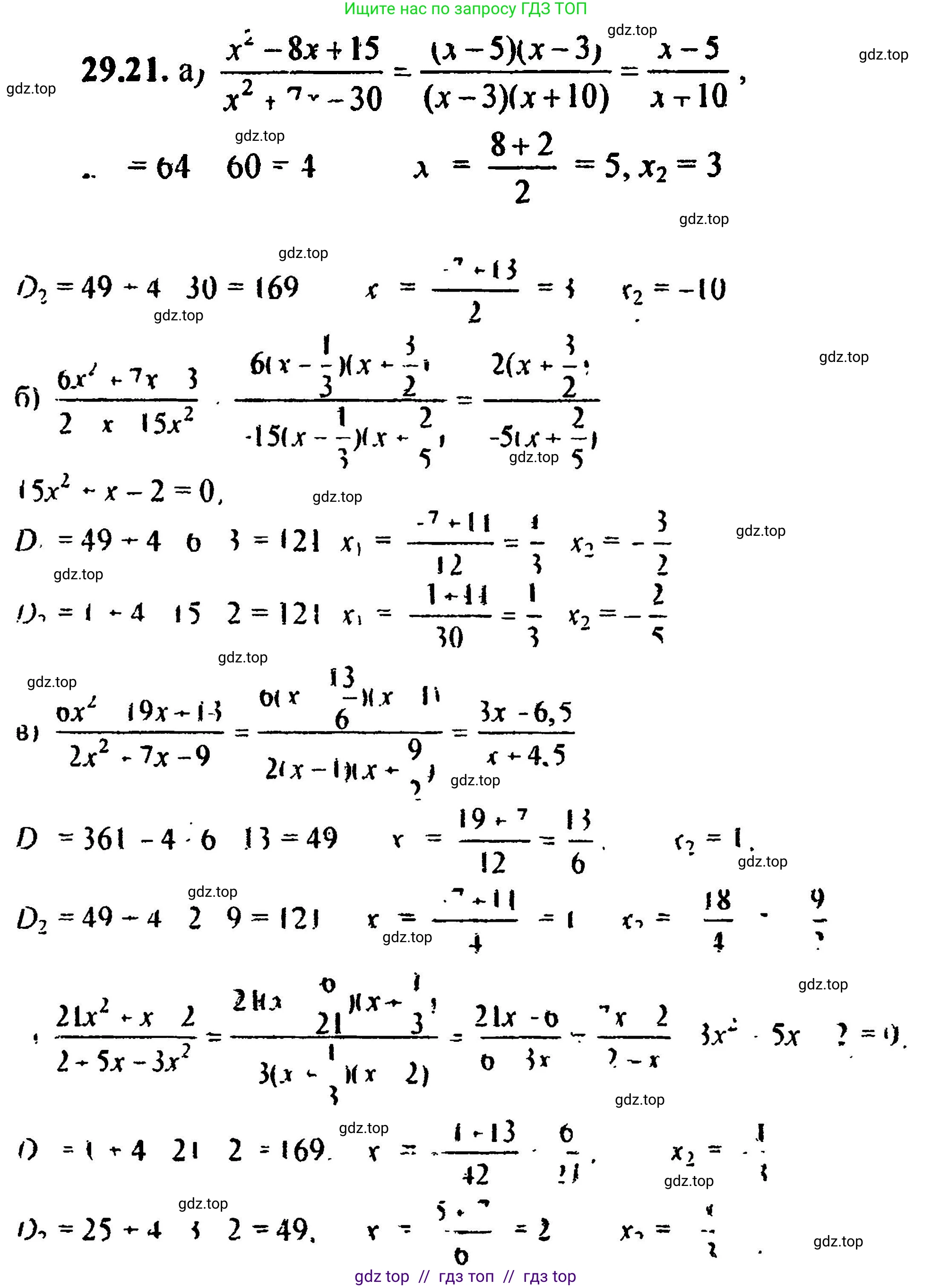
32.16 а) $\frac{x^2 - 8x + 15}{x^2 + 7x - 30}$;
б) $\frac{6x^2 + 7x - 3}{2 - x - 15x^2}$;
в) $\frac{6x^2 - 19x + 13}{2x^2 + 7x - 9}$;
г) $\frac{21x^2 + x - 2}{2 + 5x - 3x^2}$.
Решение 1. №32.16 (с. 181)




Решение 2. №32.16 (с. 181)

Решение 3. №32.16 (с. 181)

Решение 4. №32.16 (с. 181)


Решение 6. №32.16 (с. 181)
Чтобы сократить дробь $\frac{x^2 - 8x + 15}{x^2 + 7x - 30}$, необходимо разложить на множители её числитель и знаменатель. Для разложения квадратного трехчлена $ax^2 + bx + c$ на множители используется формула $a(x - x_1)(x - x_2)$, где $x_1$ и $x_2$ — корни уравнения $ax^2 + bx + c = 0$.
1. Разложим на множители числитель $x^2 - 8x + 15$.
Решим квадратное уравнение $x^2 - 8x + 15 = 0$. По теореме Виета, сумма корней $x_1 + x_2 = 8$, а их произведение $x_1 \cdot x_2 = 15$. Легко подобрать корни: $x_1 = 3$ и $x_2 = 5$.
Таким образом, $x^2 - 8x + 15 = (x - 3)(x - 5)$.
2. Разложим на множители знаменатель $x^2 + 7x - 30$.
Решим квадратное уравнение $x^2 + 7x - 30 = 0$.
Вычислим дискриминант: $D = b^2 - 4ac = 7^2 - 4 \cdot 1 \cdot (-30) = 49 + 120 = 169 = 13^2$.
Найдем корни: $x_1 = \frac{-7 + 13}{2} = \frac{6}{2} = 3$ и $x_2 = \frac{-7 - 13}{2} = \frac{-20}{2} = -10$.
Таким образом, $x^2 + 7x - 30 = (x - 3)(x - (-10)) = (x - 3)(x + 10)$.
3. Подставим полученные разложения в исходную дробь и выполним сокращение:
$\frac{x^2 - 8x + 15}{x^2 + 7x - 30} = \frac{(x - 3)(x - 5)}{(x - 3)(x + 10)} = \frac{x - 5}{x + 10}$.
Сокращение возможно при условии, что $x - 3 \neq 0$, то есть $x \neq 3$.
Ответ: $\frac{x - 5}{x + 10}$
б)Чтобы сократить дробь $\frac{6x^2 + 7x - 3}{2 - x - 15x^2}$, разложим на множители её числитель и знаменатель.
1. Разложим на множители числитель $6x^2 + 7x - 3$.
Решим уравнение $6x^2 + 7x - 3 = 0$.
$D = 7^2 - 4 \cdot 6 \cdot (-3) = 49 + 72 = 121 = 11^2$.
$x_1 = \frac{-7 + 11}{2 \cdot 6} = \frac{4}{12} = \frac{1}{3}$, $x_2 = \frac{-7 - 11}{12} = \frac{-18}{12} = -\frac{3}{2}$.
Таким образом, $6x^2 + 7x - 3 = 6(x - \frac{1}{3})(x + \frac{3}{2}) = 3(x - \frac{1}{3}) \cdot 2(x + \frac{3}{2}) = (3x - 1)(2x + 3)$.
2. Разложим на множители знаменатель $2 - x - 15x^2$.
Перепишем его в стандартном виде: $-15x^2 - x + 2$. Вынесем минус за скобки: $-(15x^2 + x - 2)$.
Решим уравнение $15x^2 + x - 2 = 0$.
$D = 1^2 - 4 \cdot 15 \cdot (-2) = 1 + 120 = 121 = 11^2$.
$x_1 = \frac{-1 + 11}{2 \cdot 15} = \frac{10}{30} = \frac{1}{3}$, $x_2 = \frac{-1 - 11}{30} = \frac{-12}{30} = -\frac{2}{5}$.
Таким образом, $15x^2 + x - 2 = 15(x - \frac{1}{3})(x + \frac{2}{5}) = 3(x - \frac{1}{3}) \cdot 5(x + \frac{2}{5}) = (3x - 1)(5x + 2)$.
Следовательно, $2 - x - 15x^2 = -(3x - 1)(5x + 2)$.
3. Подставим разложения в дробь и сократим:
$\frac{6x^2 + 7x - 3}{2 - x - 15x^2} = \frac{(3x - 1)(2x + 3)}{-(3x - 1)(5x + 2)} = -\frac{2x + 3}{5x + 2}$.
Сокращение возможно при $x \neq \frac{1}{3}$.
Ответ: $-\frac{2x + 3}{5x + 2}$
в)Сократим дробь $\frac{6x^2 - 19x + 13}{2x^2 + 7x - 9}$.
1. Разложим на множители числитель $6x^2 - 19x + 13$.
Решим уравнение $6x^2 - 19x + 13 = 0$. Сумма коэффициентов $6 - 19 + 13 = 0$, значит, один из корней $x_1 = 1$.
По теореме Виета, произведение корней $x_1 \cdot x_2 = \frac{c}{a}$, то есть $1 \cdot x_2 = \frac{13}{6}$, откуда $x_2 = \frac{13}{6}$.
Следовательно, $6x^2 - 19x + 13 = 6(x-1)(x-\frac{13}{6}) = (x-1)(6x-13)$.
2. Разложим на множители знаменатель $2x^2 + 7x - 9$.
Решим уравнение $2x^2 + 7x - 9 = 0$. Сумма коэффициентов $2 + 7 - 9 = 0$, значит, один из корней $x_1 = 1$.
По теореме Виета, $x_1 \cdot x_2 = \frac{c}{a}$, то есть $1 \cdot x_2 = \frac{-9}{2}$, откуда $x_2 = -\frac{9}{2}$.
Следовательно, $2x^2 + 7x - 9 = 2(x-1)(x-(-\frac{9}{2})) = 2(x-1)(x+\frac{9}{2}) = (x-1)(2x+9)$.
3. Подставим разложения в дробь и сократим:
$\frac{6x^2 - 19x + 13}{2x^2 + 7x - 9} = \frac{(x-1)(6x-13)}{(x-1)(2x+9)} = \frac{6x-13}{2x+9}$.
Сокращение возможно при $x \neq 1$.
Ответ: $\frac{6x - 13}{2x + 9}$
г)Сократим дробь $\frac{21x^2 + x - 2}{2 + 5x - 3x^2}$.
1. Разложим на множители числитель $21x^2 + x - 2$.
Решим уравнение $21x^2 + x - 2 = 0$.
$D = 1^2 - 4 \cdot 21 \cdot (-2) = 1 + 168 = 169 = 13^2$.
$x_1 = \frac{-1 + 13}{2 \cdot 21} = \frac{12}{42} = \frac{2}{7}$, $x_2 = \frac{-1 - 13}{42} = \frac{-14}{42} = -\frac{1}{3}$.
Таким образом, $21x^2 + x - 2 = 21(x - \frac{2}{7})(x + \frac{1}{3}) = 7(x - \frac{2}{7}) \cdot 3(x + \frac{1}{3}) = (7x - 2)(3x + 1)$.
2. Разложим на множители знаменатель $2 + 5x - 3x^2$.
Перепишем его как $-(3x^2 - 5x - 2)$. Решим уравнение $3x^2 - 5x - 2 = 0$.
$D = (-5)^2 - 4 \cdot 3 \cdot (-2) = 25 + 24 = 49 = 7^2$.
$x_1 = \frac{5 + 7}{2 \cdot 3} = \frac{12}{6} = 2$, $x_2 = \frac{5 - 7}{6} = \frac{-2}{6} = -\frac{1}{3}$.
Таким образом, $3x^2 - 5x - 2 = 3(x - 2)(x + \frac{1}{3}) = (x - 2)(3x + 1)$.
Следовательно, $2 + 5x - 3x^2 = -(x - 2)(3x + 1) = (2 - x)(3x + 1)$.
3. Подставим разложения в дробь и сократим:
$\frac{21x^2 + x - 2}{2 + 5x - 3x^2} = \frac{(7x - 2)(3x + 1)}{(2 - x)(3x + 1)} = \frac{7x - 2}{2 - x}$.
Сокращение возможно при $x \neq -\frac{1}{3}$.
Ответ: $\frac{7x - 2}{2 - x}$
Другие задания:
Помогло решение? Оставьте отзыв в комментариях ниже.
Присоединяйтесь к Телеграм-группе @top_gdz
ПрисоединитьсяМы подготовили для вас ответ c подробным объяснением домашего задания по алгебре за 8 класс, для упражнения номер 32.16 расположенного на странице 181 для 2-й части к учебнику 2019 года издания для учащихся школ и гимназий.
Теперь на нашем сайте ГДЗ.ТОП вы всегда легко и бесплатно найдёте условие с правильным ответом на вопрос «Как решить ДЗ» и «Как сделать» задание по алгебре к упражнению №32.16 (с. 181), авторов: Мордкович (Александр Григорьевич), Александрова (Лилия Александровна), Мишустина (Татьяна Николаевна), Тульчинская (Елена Ефимовна), Семенов (Павел Владимирович), 2-й части учебного пособия издательства Мнемозина.