Номер 103, страница 232, часть 2 - гдз по алгебре 8 класс учебник Мордкович, Александрова

Авторы: Мордкович А. Г., Александрова Л. А., Мишустина Т. Н., Тульчинская Е. Е., Семенов П. В.
Тип: Учебник
Издательство: Мнемозина
Год издания: 2019 - 2025
Часть: 2
Цвет обложки:
Допущено Министерством просвещения Российской Федерации
Популярные ГДЗ в 8 классе
Итоговое повторение. Часть 2 - номер 103, страница 232.
№103 (с. 232)
Условие. №103 (с. 232)
скриншот условия

Упростите выражение:
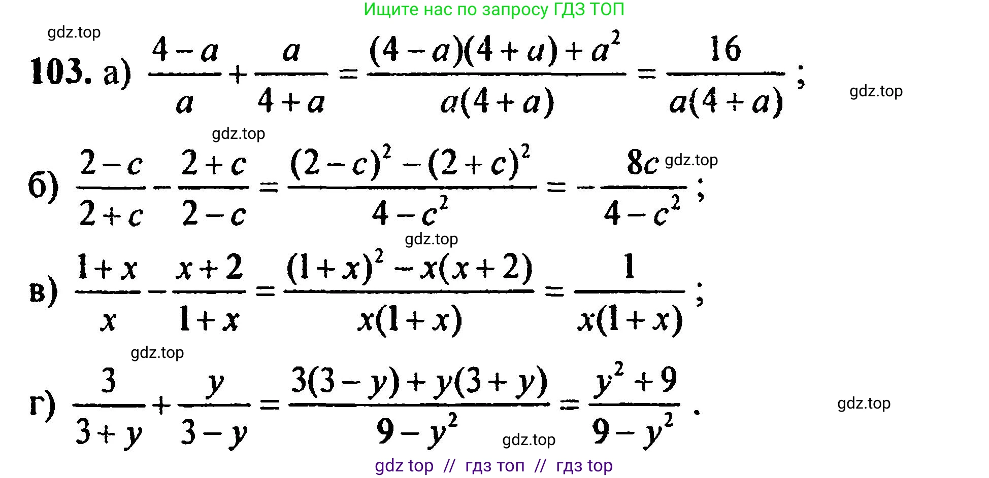
103 a) $\frac{4 - a}{a} + \frac{a}{4 + a}$
б) $\frac{2 - c}{2 + c} - \frac{2 + c}{2 - c}$
в) $\frac{1 + x}{x} - \frac{x + 2}{1 + x}$
г) $\frac{3}{3 + y} + \frac{y}{3 - y}$
Решение 1. №103 (с. 232)




Решение 2. №103 (с. 232)

Решение 3. №103 (с. 232)

Решение 4. №103 (с. 232)

Решение 6. №103 (с. 232)
а) $\frac{4-a}{a} + \frac{a}{4+a}$
Для сложения дробей их необходимо привести к общему знаменателю. В данном случае общий знаменатель равен произведению знаменателей исходных дробей: $a(4+a)$.
Домножим числитель и знаменатель первой дроби на $(4+a)$, а второй дроби — на $a$:
$\frac{(4-a)(4+a)}{a(4+a)} + \frac{a \cdot a}{a(4+a)}$
Теперь, когда знаменатели одинаковы, можно сложить числители:
$\frac{(4-a)(4+a) + a^2}{a(4+a)}$
В числителе применяем формулу разности квадратов $(x-y)(x+y) = x^2 - y^2$ для выражения $(4-a)(4+a)$:
$\frac{4^2 - a^2 + a^2}{a(4+a)} = \frac{16 - a^2 + a^2}{a(4+a)}$
Взаимно уничтожаем $-a^2$ и $+a^2$ в числителе:
$\frac{16}{a(4+a)}$
Ответ: $\frac{16}{a(4+a)}$
б) $\frac{2-c}{2+c} - \frac{2+c}{2-c}$
Приведем дроби к общему знаменателю, который равен $(2+c)(2-c)$. По формуле разности квадратов это выражение равно $4-c^2$.
Домножим первую дробь на $(2-c)$, а вторую — на $(2+c)$:
$\frac{(2-c)(2-c)}{(2+c)(2-c)} - \frac{(2+c)(2+c)}{(2+c)(2-c)} = \frac{(2-c)^2 - (2+c)^2}{(2+c)(2-c)}$
Числитель представляет собой разность квадратов, которую можно разложить по формуле $x^2 - y^2 = (x-y)(x+y)$, где $x = 2-c$ и $y = 2+c$:
$(2-c)^2 - (2+c)^2 = ((2-c) - (2+c))((2-c) + (2+c)) = (2-c-2-c)(2-c+2+c) = (-2c)(4) = -8c$
В качестве альтернативы можно раскрыть квадраты в числителе:
$(4-4c+c^2) - (4+4c+c^2) = 4-4c+c^2-4-4c-c^2 = -8c$
Подставим полученные выражения для числителя и знаменателя:
$\frac{-8c}{4-c^2}$
Ответ: $\frac{-8c}{4-c^2}$
в) $\frac{1+x}{x} - \frac{x+2}{1+x}$
Общий знаменатель для этих дробей равен $x(1+x)$. Приведем дроби к этому знаменателю:
$\frac{(1+x)(1+x)}{x(1+x)} - \frac{x(x+2)}{x(1+x)} = \frac{(1+x)^2 - x(x+2)}{x(1+x)}$
Раскроем скобки в числителе. $(1+x)^2$ - это квадрат суммы, равный $1+2x+x^2$. Выражение $x(x+2)$ равно $x^2+2x$.
$\frac{(1+2x+x^2) - (x^2+2x)}{x(1+x)}$
Раскроем вторые скобки в числителе и приведем подобные слагаемые:
$\frac{1+2x+x^2 - x^2 - 2x}{x(1+x)} = \frac{1}{x(1+x)}$
Ответ: $\frac{1}{x(1+x)}$
г) $\frac{3}{3+y} + \frac{y}{3-y}$
Общий знаменатель для дробей — $(3+y)(3-y)$, что по формуле разности квадратов равно $9-y^2$.
Приведем дроби к общему знаменателю:
$\frac{3(3-y)}{(3+y)(3-y)} + \frac{y(3+y)}{(3+y)(3-y)} = \frac{3(3-y) + y(3+y)}{(3+y)(3-y)}$
Раскроем скобки и упростим числитель:
$3(3-y) + y(3+y) = 9 - 3y + 3y + y^2 = 9 + y^2$
Теперь запишем итоговую дробь:
$\frac{9+y^2}{9-y^2}$
Ответ: $\frac{y^2+9}{9-y^2}$
Другие задания:
Помогло решение? Оставьте отзыв в комментариях ниже.
Присоединяйтесь к Телеграм-группе @top_gdz
ПрисоединитьсяМы подготовили для вас ответ c подробным объяснением домашего задания по алгебре за 8 класс, для упражнения номер 103 расположенного на странице 232 для 2-й части к учебнику 2019 года издания для учащихся школ и гимназий.
Теперь на нашем сайте ГДЗ.ТОП вы всегда легко и бесплатно найдёте условие с правильным ответом на вопрос «Как решить ДЗ» и «Как сделать» задание по алгебре к упражнению №103 (с. 232), авторов: Мордкович (Александр Григорьевич), Александрова (Лилия Александровна), Мишустина (Татьяна Николаевна), Тульчинская (Елена Ефимовна), Семенов (Павел Владимирович), 2-й части учебного пособия издательства Мнемозина.