Номер 108, страница 233, часть 2 - гдз по алгебре 8 класс учебник Мордкович, Александрова

Авторы: Мордкович А. Г., Александрова Л. А., Мишустина Т. Н., Тульчинская Е. Е., Семенов П. В.
Тип: Учебник
Издательство: Мнемозина
Год издания: 2019 - 2025
Часть: 2
Цвет обложки:
Допущено Министерством просвещения Российской Федерации
Популярные ГДЗ в 8 классе
Итоговое повторение. Часть 2 - номер 108, страница 233.
№108 (с. 233)
Условие. №108 (с. 233)
скриншот условия

108 a) $ \frac{x + 40}{x^3 - 16x} : \left( \frac{x - 4}{3x^2 + 11x - 4} - \frac{16}{16 - x^2} \right); $
б) $ \frac{y^3 - y}{y - 4} \cdot \left( \frac{y - 1}{2y^2 + 3y + 1} - \frac{1}{y^2 - 1} \right). $
Решение 1. №108 (с. 233)


Решение 2. №108 (с. 233)

Решение 3. №108 (с. 233)

Решение 4. №108 (с. 233)

Решение 6. №108 (с. 233)
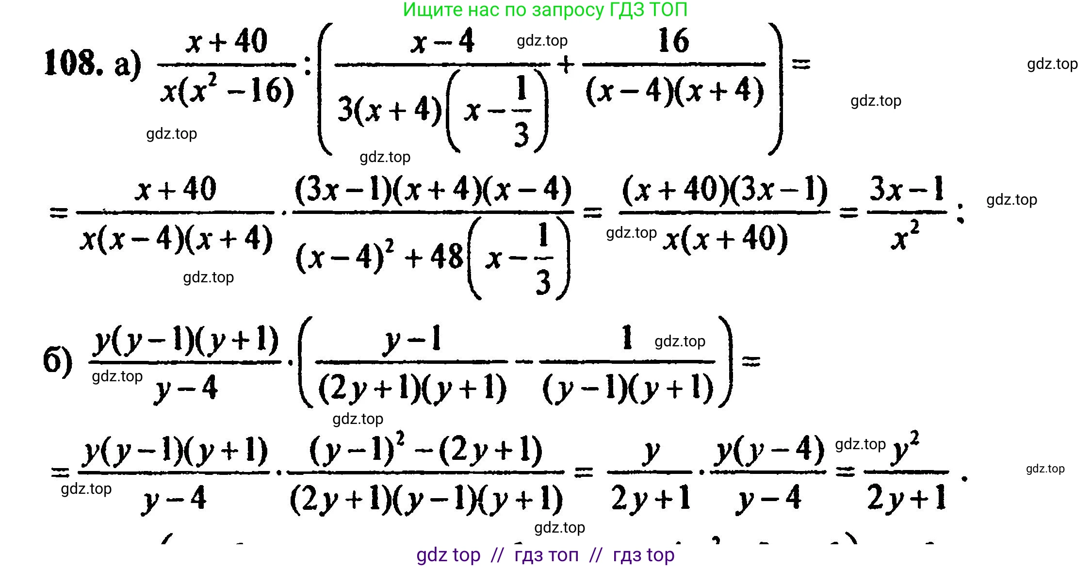
a)
Выполним решение по шагам. Исходное выражение: $ \frac{x+40}{x^3-16x} : (\frac{x-4}{3x^2+11x-4} - \frac{16}{16-x^2}) $.
1. Разложим на множители знаменатель первой дроби:$ x^3 - 16x = x(x^2 - 16) = x(x-4)(x+4) $.Первое выражение: $ \frac{x+40}{x(x-4)(x+4)} $.
2. Упростим выражение в скобках. Для этого разложим знаменатели на множители.Найдем корни квадратного трехчлена $ 3x^2+11x-4=0 $.Дискриминант $ D = b^2 - 4ac = 11^2 - 4 \cdot 3 \cdot (-4) = 121 + 48 = 169 = 13^2 $.Корни: $ x_1 = \frac{-11+13}{6} = \frac{2}{6} = \frac{1}{3} $; $ x_2 = \frac{-11-13}{6} = \frac{-24}{6} = -4 $.Следовательно, $ 3x^2+11x-4 = 3(x - \frac{1}{3})(x+4) = (3x-1)(x+4) $.Знаменатель второй дроби в скобках: $ 16-x^2 = (4-x)(4+x) = -(x-4)(x+4) $.
3. Перепишем выражение в скобках с разложенными знаменателями и выполним вычитание:$ \frac{x-4}{(3x-1)(x+4)} - \frac{16}{-(x-4)(x+4)} = \frac{x-4}{(3x-1)(x+4)} + \frac{16}{(x-4)(x+4)} $.Приведем к общему знаменателю $ (3x-1)(x-4)(x+4) $:$ \frac{(x-4)(x-4) + 16(3x-1)}{(3x-1)(x-4)(x+4)} = \frac{x^2 - 8x + 16 + 48x - 16}{(3x-1)(x-4)(x+4)} = \frac{x^2 + 40x}{(3x-1)(x-4)(x+4)} = \frac{x(x+40)}{(3x-1)(x-4)(x+4)} $.
4. Теперь выполним деление. Деление на дробь равносильно умножению на обратную ей дробь:$ \frac{x+40}{x(x-4)(x+4)} : \frac{x(x+40)}{(3x-1)(x-4)(x+4)} = \frac{x+40}{x(x-4)(x+4)} \cdot \frac{(3x-1)(x-4)(x+4)}{x(x+40)} $.
5. Сократим общие множители:$ \frac{\cancel{x+40}}{x\cancel{(x-4)}\cancel{(x+4)}} \cdot \frac{(3x-1)\cancel{(x-4)}\cancel{(x+4)}}{x\cancel{(x+40)}} = \frac{3x-1}{x \cdot x} = \frac{3x-1}{x^2} $.
Ответ: $ \frac{3x-1}{x^2} $
б)
Выполним решение по шагам. Исходное выражение: $ \frac{y^3-y}{y-4} \cdot (\frac{y-1}{2y^2+3y+1} - \frac{1}{y^2-1}) $.
1. Разложим на множители числитель первого множителя:$ y^3 - y = y(y^2-1) = y(y-1)(y+1) $.Первый множитель: $ \frac{y(y-1)(y+1)}{y-4} $.
2. Упростим выражение в скобках. Разложим знаменатели на множители.Найдем корни квадратного трехчлена $ 2y^2+3y+1=0 $.Дискриминант $ D = b^2 - 4ac = 3^2 - 4 \cdot 2 \cdot 1 = 9 - 8 = 1 $.Корни: $ y_1 = \frac{-3+1}{4} = -\frac{1}{2} $; $ y_2 = \frac{-3-1}{4} = -1 $.Следовательно, $ 2y^2+3y+1 = 2(y+\frac{1}{2})(y+1) = (2y+1)(y+1) $.Знаменатель второй дроби в скобках: $ y^2-1 = (y-1)(y+1) $.
3. Перепишем выражение в скобках с разложенными знаменателями и выполним вычитание:$ \frac{y-1}{(2y+1)(y+1)} - \frac{1}{(y-1)(y+1)} $.Приведем к общему знаменателю $ (2y+1)(y-1)(y+1) $:$ \frac{(y-1)(y-1) - 1(2y+1)}{(2y+1)(y-1)(y+1)} = \frac{y^2-2y+1 - 2y-1}{(2y+1)(y-1)(y+1)} = \frac{y^2-4y}{(2y+1)(y-1)(y+1)} = \frac{y(y-4)}{(2y+1)(y-1)(y+1)} $.
4. Теперь выполним умножение:$ \frac{y(y-1)(y+1)}{y-4} \cdot \frac{y(y-4)}{(2y+1)(y-1)(y+1)} $.
5. Сократим общие множители:$ \frac{y\cancel{(y-1)}\cancel{(y+1)}}{\cancel{y-4}} \cdot \frac{y\cancel{(y-4)}}{(2y+1)\cancel{(y-1)}\cancel{(y+1)}} = \frac{y \cdot y}{2y+1} = \frac{y^2}{2y+1} $.
Ответ: $ \frac{y^2}{2y+1} $
Другие задания:
Помогло решение? Оставьте отзыв в комментариях ниже.
Присоединяйтесь к Телеграм-группе @top_gdz
ПрисоединитьсяМы подготовили для вас ответ c подробным объяснением домашего задания по алгебре за 8 класс, для упражнения номер 108 расположенного на странице 233 для 2-й части к учебнику 2019 года издания для учащихся школ и гимназий.
Теперь на нашем сайте ГДЗ.ТОП вы всегда легко и бесплатно найдёте условие с правильным ответом на вопрос «Как решить ДЗ» и «Как сделать» задание по алгебре к упражнению №108 (с. 233), авторов: Мордкович (Александр Григорьевич), Александрова (Лилия Александровна), Мишустина (Татьяна Николаевна), Тульчинская (Елена Ефимовна), Семенов (Павел Владимирович), 2-й части учебного пособия издательства Мнемозина.