Номер 104, страница 232, часть 2 - гдз по алгебре 8 класс учебник Мордкович, Александрова

Авторы: Мордкович А. Г., Александрова Л. А., Мишустина Т. Н., Тульчинская Е. Е., Семенов П. В.
Тип: Учебник
Издательство: Мнемозина
Год издания: 2019 - 2025
Часть: 2
Цвет обложки:
Допущено Министерством просвещения Российской Федерации
Популярные ГДЗ в 8 классе
Итоговое повторение. Часть 2 - номер 104, страница 232.
№104 (с. 232)
Условие. №104 (с. 232)
скриншот условия

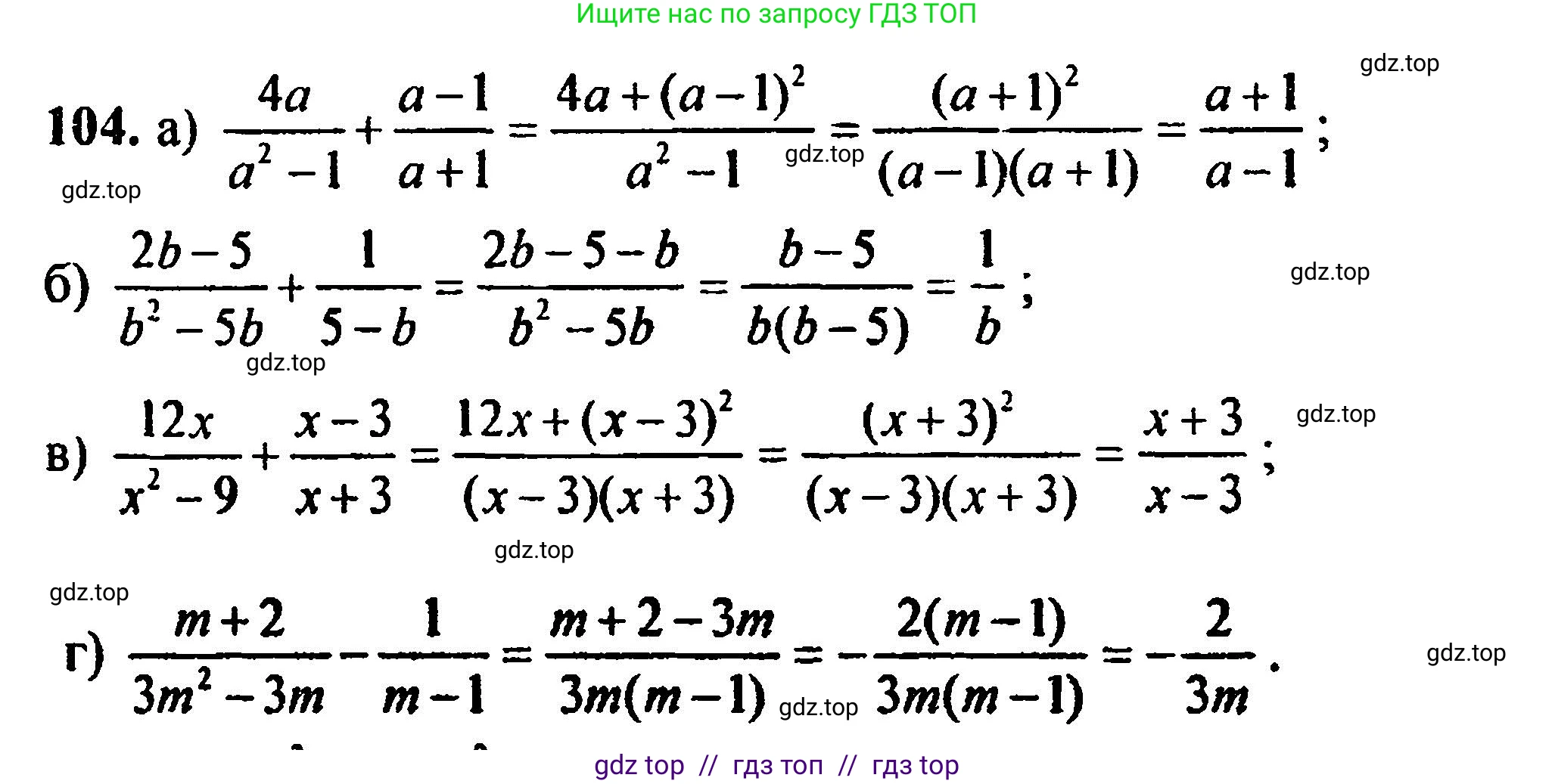
104 a) $ \frac{4a}{a^2 - 1} + \frac{a - 1}{a + 1}; $
б) $ \frac{2b - 5}{b^2 - 5b} + \frac{1}{5 - b}; $
в) $ \frac{12x}{x^2 - 9} + \frac{x - 3}{x + 3}; $
г) $ \frac{m + 2}{3m^2 - 3m} - \frac{1}{m - 1}. $
Решение 1. №104 (с. 232)




Решение 2. №104 (с. 232)

Решение 3. №104 (с. 232)

Решение 4. №104 (с. 232)

Решение 6. №104 (с. 232)
а) $\frac{4a}{a^2 - 1} + \frac{a - 1}{a + 1}$
Чтобы сложить дроби, их нужно привести к общему знаменателю. Сначала разложим знаменатель первой дроби на множители по формуле разности квадратов: $a^2 - 1 = (a - 1)(a + 1)$.
$\frac{4a}{(a - 1)(a + 1)} + \frac{a - 1}{a + 1}$
Общий знаменатель для этих дробей - это $(a - 1)(a + 1)$. Домножим числитель и знаменатель второй дроби на дополнительный множитель $(a - 1)$:
$\frac{4a}{(a - 1)(a + 1)} + \frac{(a - 1)(a - 1)}{(a + 1)(a - 1)} = \frac{4a + (a - 1)^2}{(a - 1)(a + 1)}$
Теперь раскроем скобки в числителе, используя формулу квадрата разности $(x-y)^2 = x^2 - 2xy + y^2$:
$\frac{4a + a^2 - 2a + 1}{(a - 1)(a + 1)} = \frac{a^2 + 2a + 1}{(a - 1)(a + 1)}$
Выражение в числителе является полным квадратом. Свернем его по формуле квадрата суммы $(x+y)^2 = x^2 + 2xy + y^2$:
$\frac{(a + 1)^2}{(a - 1)(a + 1)}$
Сократим дробь на общий множитель $(a + 1)$:
$\frac{a + 1}{a - 1}$
Ответ: $\frac{a + 1}{a - 1}$
б) $\frac{2b - 5}{b^2 - 5b} + \frac{1}{5 - b}$
Разложим на множители знаменатель первой дроби, вынеся общий множитель $b$ за скобки: $b^2 - 5b = b(b - 5)$.
$\frac{2b - 5}{b(b - 5)} + \frac{1}{5 - b}$
Заметим, что знаменатель второй дроби $5 - b$ можно представить как $-(b - 5)$. Вынесем минус из знаменателя и поменяем знак перед дробью:
$\frac{2b - 5}{b(b - 5)} - \frac{1}{b - 5}$
Теперь приведем дроби к общему знаменателю $b(b - 5)$. Дополнительный множитель для второй дроби - $b$.
$\frac{2b - 5}{b(b - 5)} - \frac{1 \cdot b}{(b - 5) \cdot b} = \frac{2b - 5 - b}{b(b - 5)}$
Приведем подобные слагаемые в числителе:
$\frac{b - 5}{b(b - 5)}$
Сократим дробь на общий множитель $(b - 5)$:
$\frac{1}{b}$
Ответ: $\frac{1}{b}$
в) $\frac{12x}{x^2 - 9} + \frac{x - 3}{x + 3}$
Разложим знаменатель первой дроби по формуле разности квадратов: $x^2 - 9 = (x - 3)(x + 3)$.
$\frac{12x}{(x - 3)(x + 3)} + \frac{x - 3}{x + 3}$
Общий знаменатель - $(x - 3)(x + 3)$. Дополнительный множитель для второй дроби - $(x - 3)$.
$\frac{12x}{(x - 3)(x + 3)} + \frac{(x - 3)(x - 3)}{(x + 3)(x - 3)} = \frac{12x + (x - 3)^2}{(x - 3)(x + 3)}$
Раскроем скобки в числителе:
$\frac{12x + x^2 - 6x + 9}{(x - 3)(x + 3)} = \frac{x^2 + 6x + 9}{(x - 3)(x + 3)}$
Свернем числитель по формуле квадрата суммы:
$\frac{(x + 3)^2}{(x - 3)(x + 3)}$
Сократим дробь на $(x + 3)$:
$\frac{x + 3}{x - 3}$
Ответ: $\frac{x + 3}{x - 3}$
г) $\frac{m + 2}{3m^2 - 3m} - \frac{1}{m - 1}$
Разложим на множители знаменатель первой дроби, вынеся за скобки $3m$: $3m^2 - 3m = 3m(m - 1)$.
$\frac{m + 2}{3m(m - 1)} - \frac{1}{m - 1}$
Общий знаменатель - $3m(m - 1)$. Дополнительный множитель для второй дроби - $3m$.
$\frac{m + 2}{3m(m - 1)} - \frac{1 \cdot 3m}{(m - 1) \cdot 3m} = \frac{m + 2 - 3m}{3m(m - 1)}$
Упростим числитель:
$\frac{2 - 2m}{3m(m - 1)}$
В числителе вынесем общий множитель 2 за скобки:
$\frac{2(1 - m)}{3m(m - 1)}$
Чтобы можно было сократить дробь, в числителе вынесем -1 за скобки: $1 - m = -(m - 1)$.
$\frac{-2(m - 1)}{3m(m - 1)}$
Сократим дробь на общий множитель $(m - 1)$:
$-\frac{2}{3m}$
Ответ: $-\frac{2}{3m}$
Другие задания:
Помогло решение? Оставьте отзыв в комментариях ниже.
Присоединяйтесь к Телеграм-группе @top_gdz
ПрисоединитьсяМы подготовили для вас ответ c подробным объяснением домашего задания по алгебре за 8 класс, для упражнения номер 104 расположенного на странице 232 для 2-й части к учебнику 2019 года издания для учащихся школ и гимназий.
Теперь на нашем сайте ГДЗ.ТОП вы всегда легко и бесплатно найдёте условие с правильным ответом на вопрос «Как решить ДЗ» и «Как сделать» задание по алгебре к упражнению №104 (с. 232), авторов: Мордкович (Александр Григорьевич), Александрова (Лилия Александровна), Мишустина (Татьяна Николаевна), Тульчинская (Елена Ефимовна), Семенов (Павел Владимирович), 2-й части учебного пособия издательства Мнемозина.