Номер 102, страница 232, часть 2 - гдз по алгебре 8 класс учебник Мордкович, Александрова

Авторы: Мордкович А. Г., Александрова Л. А., Мишустина Т. Н., Тульчинская Е. Е., Семенов П. В.
Тип: Учебник
Издательство: Мнемозина
Год издания: 2019 - 2025
Часть: 2
Цвет обложки:
Допущено Министерством просвещения Российской Федерации
Популярные ГДЗ в 8 классе
Итоговое повторение. Часть 2 - номер 102, страница 232.
№102 (с. 232)
Условие. №102 (с. 232)
скриншот условия

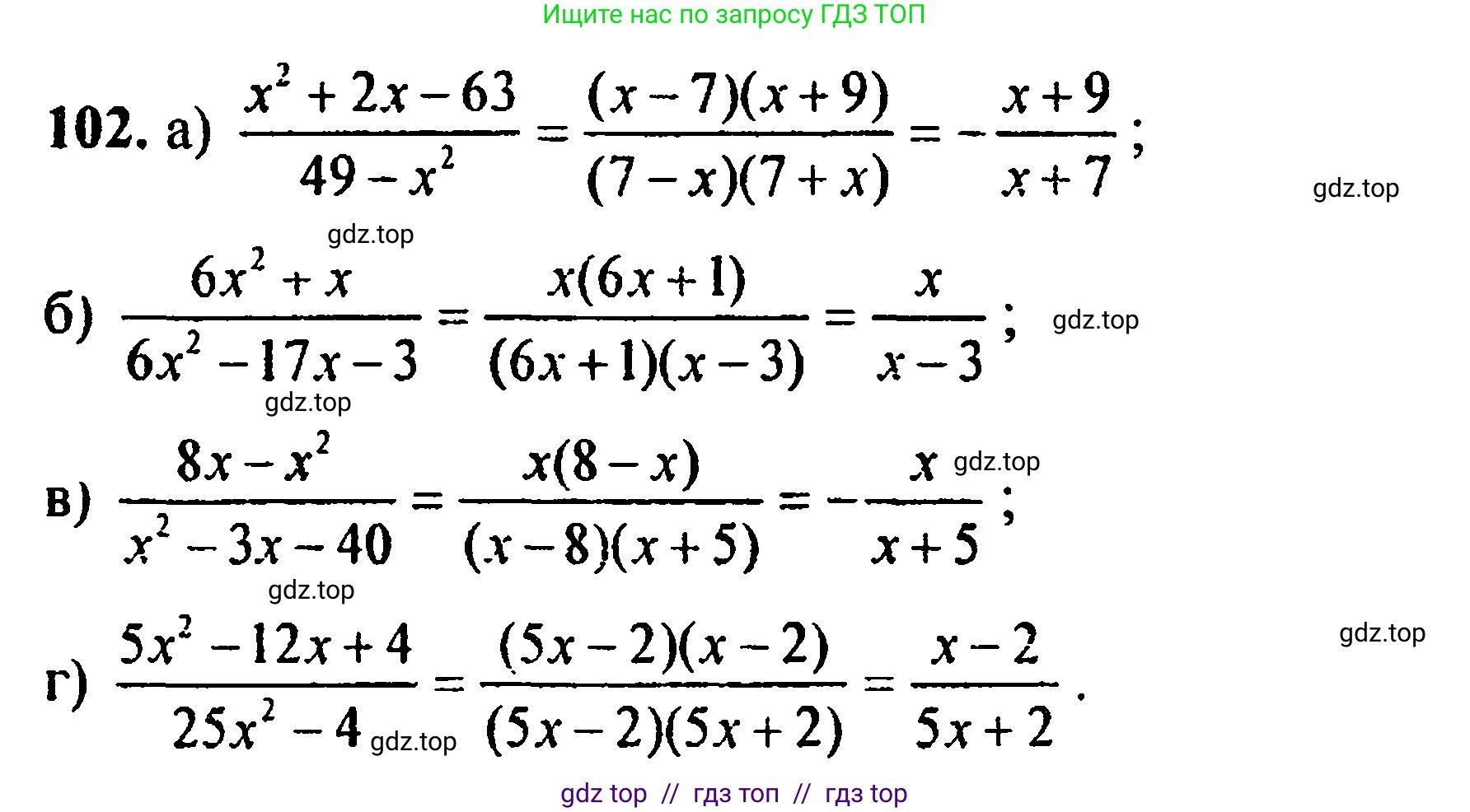
102 Сократите дробь:
а) $\frac{x^2 + 2x - 63}{49 - x^2}$;
б) $\frac{6x^2 + x}{6x^2 - 17x - 3}$;
в) $\frac{8x - x^2}{x^2 - 3x - 40}$;
г) $\frac{5x^2 - 12x + 4}{25x^2 - 4}$.
Решение 1. №102 (с. 232)




Решение 2. №102 (с. 232)

Решение 3. №102 (с. 232)

Решение 4. №102 (с. 232)

Решение 6. №102 (с. 232)
а) $ \frac{x^2 + 2x - 63}{49 - x^2} $
Чтобы сократить дробь, необходимо разложить числитель и знаменатель на множители.
1. Разложим на множители числитель $x^2 + 2x - 63$. Для этого найдем корни квадратного уравнения $x^2 + 2x - 63 = 0$.
Воспользуемся формулой для нахождения корней квадратного уравнения через дискриминант:
$D = b^2 - 4ac = 2^2 - 4 \cdot 1 \cdot (-63) = 4 + 252 = 256$.
$x_1 = \frac{-b + \sqrt{D}}{2a} = \frac{-2 + \sqrt{256}}{2 \cdot 1} = \frac{-2 + 16}{2} = \frac{14}{2} = 7$.
$x_2 = \frac{-b - \sqrt{D}}{2a} = \frac{-2 - \sqrt{256}}{2 \cdot 1} = \frac{-2 - 16}{2} = \frac{-18}{2} = -9$.
Таким образом, числитель раскладывается на множители: $x^2 + 2x - 63 = (x - x_1)(x - x_2) = (x - 7)(x - (-9)) = (x - 7)(x + 9)$.
2. Разложим на множители знаменатель $49 - x^2$. Это формула разности квадратов $a^2 - b^2 = (a-b)(a+b)$.
$49 - x^2 = 7^2 - x^2 = (7 - x)(7 + x)$.
3. Запишем исходную дробь с разложенными числителем и знаменателем:
$ \frac{(x - 7)(x + 9)}{(7 - x)(7 + x)} $.
Заметим, что множители $(x-7)$ и $(7-x)$ являются противоположными, то есть $(x - 7) = -(7 - x)$.
$ \frac{-(7 - x)(x + 9)}{(7 - x)(7 + x)} $.
Сократим общий множитель $(7-x)$ в числителе и знаменателе:
$ -\frac{x + 9}{7 + x} = -\frac{x+9}{x+7} $.
Ответ: $ -\frac{x+9}{x+7} $
б) $ \frac{6x^2 + x}{6x^2 - 17x - 3} $
1. В числителе $6x^2 + x$ вынесем общий множитель $x$ за скобки:
$6x^2 + x = x(6x + 1)$.
2. Разложим на множители знаменатель $6x^2 - 17x - 3$, решив квадратное уравнение $6x^2 - 17x - 3 = 0$.
$D = b^2 - 4ac = (-17)^2 - 4 \cdot 6 \cdot (-3) = 289 + 72 = 361$.
$x_1 = \frac{-b + \sqrt{D}}{2a} = \frac{17 + \sqrt{361}}{2 \cdot 6} = \frac{17 + 19}{12} = \frac{36}{12} = 3$.
$x_2 = \frac{-b - \sqrt{D}}{2a} = \frac{17 - \sqrt{361}}{12} = \frac{17 - 19}{12} = \frac{-2}{12} = -\frac{1}{6}$.
Разложение имеет вид: $a(x-x_1)(x-x_2) = 6(x-3)(x-(-\frac{1}{6})) = 6(x-3)(x+\frac{1}{6})$. Для удобства умножим второй множитель на 6: $(x-3)(6x+1)$.
3. Подставим полученные выражения в дробь и выполним сокращение:
$ \frac{x(6x + 1)}{(x - 3)(6x + 1)} = \frac{x}{x-3} $.
Ответ: $ \frac{x}{x-3} $
в) $ \frac{8x - x^2}{x^2 - 3x - 40} $
1. Разложим числитель $8x - x^2$, вынеся $x$ за скобки:
$8x - x^2 = x(8 - x)$.
2. Разложим знаменатель $x^2 - 3x - 40$, решив уравнение $x^2 - 3x - 40 = 0$.
По теореме Виета, сумма корней $x_1 + x_2 = 3$, а их произведение $x_1 \cdot x_2 = -40$. Подбором находим корни: $x_1 = 8$ и $x_2 = -5$.
Следовательно, $x^2 - 3x - 40 = (x - 8)(x - (-5)) = (x - 8)(x + 5)$.
3. Запишем дробь с разложенными частями:
$ \frac{x(8 - x)}{(x - 8)(x + 5)} $.
Так как $(8 - x) = -(x - 8)$, то:
$ \frac{-x(x - 8)}{(x - 8)(x + 5)} $.
Сокращаем на $(x-8)$:
$ -\frac{x}{x+5} $.
Ответ: $ -\frac{x}{x+5} $
г) $ \frac{5x^2 - 12x + 4}{25x^2 - 4} $
1. Разложим числитель $5x^2 - 12x + 4$. Найдем корни уравнения $5x^2 - 12x + 4 = 0$.
$D = b^2 - 4ac = (-12)^2 - 4 \cdot 5 \cdot 4 = 144 - 80 = 64$.
$x_1 = \frac{12 + \sqrt{64}}{2 \cdot 5} = \frac{12 + 8}{10} = \frac{20}{10} = 2$.
$x_2 = \frac{12 - \sqrt{64}}{10} = \frac{12 - 8}{10} = \frac{4}{10} = \frac{2}{5}$.
Разложение: $5x^2 - 12x + 4 = 5(x-2)(x-\frac{2}{5}) = (x-2)(5x-2)$.
2. Знаменатель $25x^2 - 4$ — это разность квадратов:
$25x^2 - 4 = (5x)^2 - 2^2 = (5x - 2)(5x + 2)$.
3. Подставим выражения в дробь и сократим общий множитель $(5x-2)$:
$ \frac{(x - 2)(5x - 2)}{(5x - 2)(5x + 2)} = \frac{x - 2}{5x + 2} $.
Ответ: $ \frac{x-2}{5x+2} $
Другие задания:
Помогло решение? Оставьте отзыв в комментариях ниже.
Присоединяйтесь к Телеграм-группе @top_gdz
ПрисоединитьсяМы подготовили для вас ответ c подробным объяснением домашего задания по алгебре за 8 класс, для упражнения номер 102 расположенного на странице 232 для 2-й части к учебнику 2019 года издания для учащихся школ и гимназий.
Теперь на нашем сайте ГДЗ.ТОП вы всегда легко и бесплатно найдёте условие с правильным ответом на вопрос «Как решить ДЗ» и «Как сделать» задание по алгебре к упражнению №102 (с. 232), авторов: Мордкович (Александр Григорьевич), Александрова (Лилия Александровна), Мишустина (Татьяна Николаевна), Тульчинская (Елена Ефимовна), Семенов (Павел Владимирович), 2-й части учебного пособия издательства Мнемозина.