Номер 6.11, страница 37, часть 2 - гдз по алгебре 9 класс учебник Мордкович, Семенов


Авторы: Мордкович А. Г., Семенов П. В.
Тип: Учебник
Издательство: Мнемозина
Год издания: 2019 - 2025
Часть: 2
Цвет обложки:
ISBN: 978-5-04642-4
Допущено Министерством просвещения Российской Федерации
Популярные ГДЗ в 9 классе
§ 6. Методы решения систем уравнений. Глава 2. Системы уравнений. ч. 2 - номер 6.11, страница 37.
№6.11 (с. 37)
Условие. №6.11 (с. 37)
скриншот условия

Решите систему уравнений, используя разные методы:
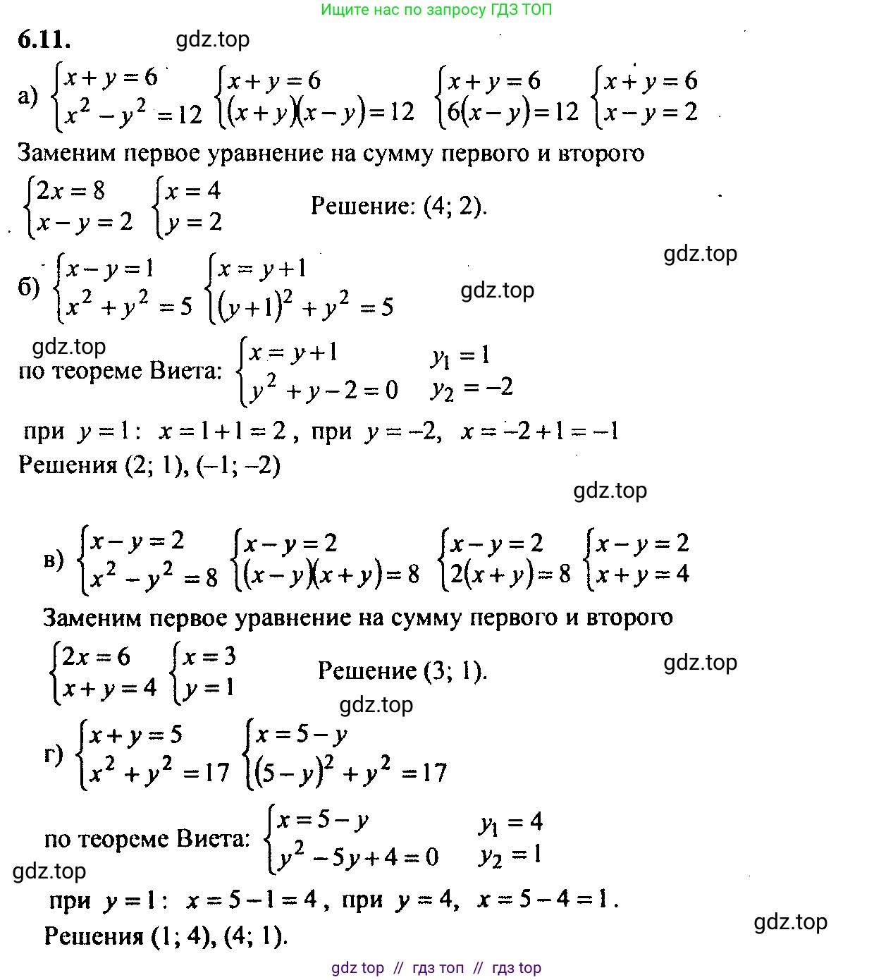
6.11 a) $\begin{cases} x + y = 6, \\ x^2 - y^2 = 12; \end{cases}$
б) $\begin{cases} x - y = 1, \\ x^2 + y^2 = 5; \end{cases}$
в) $\begin{cases} x - y = 2, \\ x^2 - y^2 = 8; \end{cases}$
г) $\begin{cases} x + y = 5, \\ x^2 + y^2 = 17. \end{cases}$
Решение 1. №6.11 (с. 37)




Решение 3. №6.11 (с. 37)

Решение 4. №6.11 (с. 37)
а) Дана система уравнений:
$ \begin{cases} x + y = 6, \\ x^2 - y^2 = 12. \end{cases} $
Во втором уравнении используем формулу разности квадратов $a^2 - b^2 = (a-b)(a+b)$:
$(x - y)(x + y) = 12$.
Из первого уравнения известно, что $x + y = 6$. Подставим это значение во второе уравнение:
$(x - y) \cdot 6 = 12$.
Разделим обе части на 6:
$x - y = 2$.
Теперь у нас есть система из двух линейных уравнений:
$ \begin{cases} x + y = 6, \\ x - y = 2. \end{cases} $
Сложим два уравнения, чтобы найти $x$:
$(x + y) + (x - y) = 6 + 2$
$2x = 8$
$x = 4$.
Подставим значение $x$ в первое уравнение, чтобы найти $y$:
$4 + y = 6$
$y = 6 - 4$
$y = 2$.
Проверка: $4^2 - 2^2 = 16 - 4 = 12$. Верно.
Ответ: $(4; 2)$.
б) Дана система уравнений:
$ \begin{cases} x - y = 1, \\ x^2 + y^2 = 5. \end{cases} $
Используем метод подстановки. Выразим $x$ из первого уравнения:
$x = y + 1$.
Подставим это выражение во второе уравнение:
$(y + 1)^2 + y^2 = 5$.
Раскроем скобки и приведем подобные слагаемые:
$y^2 + 2y + 1 + y^2 = 5$
$2y^2 + 2y - 4 = 0$.
Разделим уравнение на 2, чтобы упростить:
$y^2 + y - 2 = 0$.
Решим полученное квадратное уравнение. По теореме Виета, корни $y_1 = -2$ и $y_2 = 1$.
Теперь найдем соответствующие значения $x$ для каждого $y$.
1) Если $y_1 = -2$, то $x_1 = y_1 + 1 = -2 + 1 = -1$.
2) Если $y_2 = 1$, то $x_2 = y_2 + 1 = 1 + 1 = 2$.
Таким образом, система имеет два решения.
Ответ: $(-1; -2)$, $(2; 1)$.
в) Дана система уравнений:
$ \begin{cases} x - y = 2, \\ x^2 - y^2 = 8. \end{cases} $
Как и в пункте а), применим формулу разности квадратов ко второму уравнению:
$(x - y)(x + y) = 8$.
Из первого уравнения $x - y = 2$. Подставим это значение:
$2 \cdot (x + y) = 8$.
Отсюда $x + y = 4$.
Получаем систему линейных уравнений:
$ \begin{cases} x - y = 2, \\ x + y = 4. \end{cases} $
Сложим уравнения:
$(x - y) + (x + y) = 2 + 4$
$2x = 6$
$x = 3$.
Подставим $x=3$ в уравнение $x+y=4$:
$3 + y = 4$
$y = 1$.
Проверка: $3^2 - 1^2 = 9 - 1 = 8$. Верно.
Ответ: $(3; 1)$.
г) Дана система уравнений:
$ \begin{cases} x + y = 5, \\ x^2 + y^2 = 17. \end{cases} $
Возведем первое уравнение в квадрат:
$(x + y)^2 = 5^2$
$x^2 + 2xy + y^2 = 25$.
Мы знаем, что $x^2 + y^2 = 17$. Подставим это в полученное уравнение:
$17 + 2xy = 25$
$2xy = 25 - 17$
$2xy = 8$
$xy = 4$.
Теперь мы имеем новую систему:
$ \begin{cases} x + y = 5, \\ xy = 4. \end{cases} $
Согласно теореме, обратной теореме Виета, $x$ и $y$ являются корнями квадратного уравнения $t^2 - (x+y)t + xy = 0$.
$t^2 - 5t + 4 = 0$.
Корни этого уравнения: $t_1 = 1$, $t_2 = 4$.
Следовательно, решения системы — это пары $(x, y)$, где $x$ и $y$ принимают значения 1 и 4.
1) $x = 1$, $y = 4$.
2) $x = 4$, $y = 1$.
Ответ: $(1; 4)$, $(4; 1)$.
Другие задания:
Помогло решение? Оставьте отзыв в комментариях ниже.
Мы подготовили для вас ответ c подробным объяснением домашего задания по алгебре за 9 класс, для упражнения номер 6.11 расположенного на странице 37 для 2-й части к учебнику 2019 года издания для учащихся школ и гимназий.
Теперь на нашем сайте ГДЗ.ТОП вы всегда легко и бесплатно найдёте условие с правильным ответом на вопрос «Как решить ДЗ» и «Как сделать» задание по алгебре к упражнению №6.11 (с. 37), авторов: Мордкович (Александр Григорьевич), Семенов (Павел Владимирович), 2-й части учебного пособия издательства Мнемозина.