Номер 6.12, страница 37, часть 2 - гдз по алгебре 9 класс учебник Мордкович, Семенов


Авторы: Мордкович А. Г., Семенов П. В.
Тип: Учебник
Издательство: Мнемозина
Год издания: 2019 - 2025
Часть: 2
Цвет обложки:
ISBN: 978-5-04642-4
Допущено Министерством просвещения Российской Федерации
Популярные ГДЗ в 9 классе
§ 6. Методы решения систем уравнений. Глава 2. Системы уравнений. ч. 2 - номер 6.12, страница 37.
№6.12 (с. 37)
Условие. №6.12 (с. 37)
скриншот условия

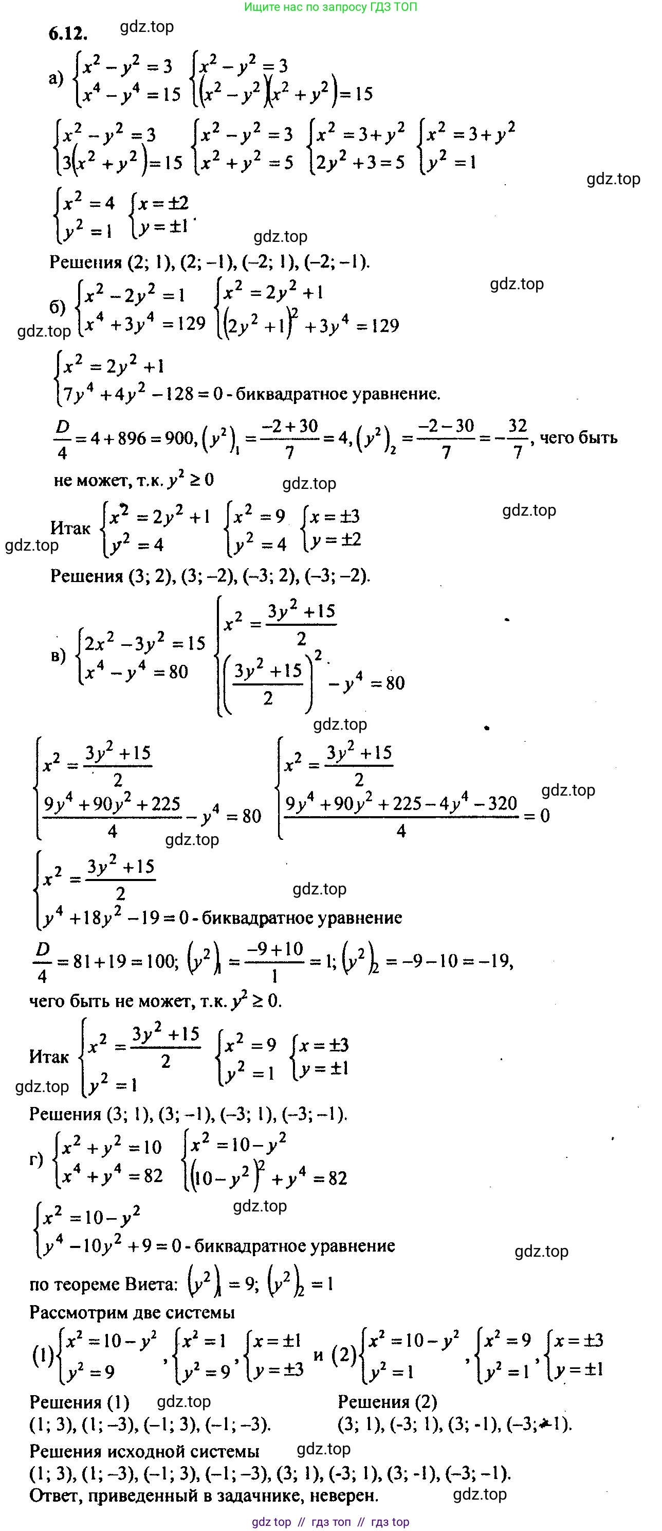
6.12 a) $\begin{cases} x^2 - y^2 = 3, \\ x^4 - y^4 = 15; \end{cases}$
б) $\begin{cases} x^2 - 2y^2 = 1, \\ x^4 + 3y^4 = 129; \end{cases}$
В) $\begin{cases} 2x^2 - 3y^2 = 15, \\ x^4 - y^4 = 80; \end{cases}$
Г) $\begin{cases} x^2 + y^2 = 10, \\ x^4 + y^4 = 82. \end{cases}$
Решение 1. №6.12 (с. 37)




Решение 3. №6.12 (с. 37)

Решение 4. №6.12 (с. 37)
а)
Дана система уравнений: $$ \begin{cases} x^2 - y^2 = 3, \\ x^4 - y^4 = 15; \end{cases} $$ Второе уравнение можно преобразовать, используя формулу разности квадратов $a^2 - b^2 = (a-b)(a+b)$: $$ x^4 - y^4 = (x^2)^2 - (y^2)^2 = (x^2 - y^2)(x^2 + y^2) = 15 $$ Подставим в это уравнение значение $x^2 - y^2 = 3$ из первого уравнения системы: $$ 3 \cdot (x^2 + y^2) = 15 $$ Разделим обе части на 3: $$ x^2 + y^2 = 5 $$ Теперь мы имеем новую, более простую систему уравнений относительно $x^2$ и $y^2$: $$ \begin{cases} x^2 - y^2 = 3, \\ x^2 + y^2 = 5. \end{cases} $$ Сложим два уравнения: $$ (x^2 - y^2) + (x^2 + y^2) = 3 + 5 $$ $$ 2x^2 = 8 $$ $$ x^2 = 4 \implies x = \pm 2 $$ Теперь вычтем первое уравнение из второго: $$ (x^2 + y^2) - (x^2 - y^2) = 5 - 3 $$ $$ 2y^2 = 2 $$ $$ y^2 = 1 \implies y = \pm 1 $$ Таким образом, решениями являются все возможные комбинации найденных значений $x$ и $y$.
Ответ: $(\pm 2; \pm 1)$.
б)
Дана система уравнений: $$ \begin{cases} x^2 - 2y^2 = 1, \\ x^4 + 3y^4 = 129; \end{cases} $$ Из первого уравнения выразим $x^2$: $$ x^2 = 1 + 2y^2 $$ Подставим это выражение во второе уравнение, учитывая, что $x^4 = (x^2)^2$: $$ (1 + 2y^2)^2 + 3y^4 = 129 $$ Раскроем скобки: $$ 1 + 4y^2 + 4y^4 + 3y^4 = 129 $$ Приведем подобные члены: $$ 7y^4 + 4y^2 - 128 = 0 $$ Сделаем замену $u = y^2$. Поскольку $y^2 \ge 0$, то и $u \ge 0$. $$ 7u^2 + 4u - 128 = 0 $$ Решим это квадратное уравнение относительно $u$ с помощью дискриминанта: $$ D = 4^2 - 4 \cdot 7 \cdot (-128) = 16 + 3584 = 3600 = 60^2 $$ $$ u = \frac{-4 \pm \sqrt{3600}}{2 \cdot 7} = \frac{-4 \pm 60}{14} $$ Получаем два корня: $$ u_1 = \frac{-4 + 60}{14} = \frac{56}{14} = 4 $$ $$ u_2 = \frac{-4 - 60}{14} = -\frac{64}{14} $$ Так как $u = y^2 \ge 0$, второй корень $u_2$ не подходит. Итак, $y^2 = 4$, откуда $y = \pm 2$. Теперь найдем $x^2$: $$ x^2 = 1 + 2y^2 = 1 + 2(4) = 1 + 8 = 9 $$ Отсюда $x = \pm 3$.
Ответ: $(\pm 3; \pm 2)$.
в)
Дана система уравнений: $$ \begin{cases} 2x^2 - 3y^2 = 15, \\ x^4 - y^4 = 80; \end{cases} $$ Сделаем замену $a = x^2$ и $b = y^2$, где $a \ge 0, b \ge 0$. Система примет вид: $$ \begin{cases} 2a - 3b = 15, \\ a^2 - b^2 = 80. \end{cases} $$ Из первого уравнения выразим $a$: $$ 2a = 15 + 3b \implies a = \frac{15 + 3b}{2} $$ Подставим это во второе уравнение: $$ \left(\frac{15 + 3b}{2}\right)^2 - b^2 = 80 $$ $$ \frac{225 + 90b + 9b^2}{4} - b^2 = 80 $$ Умножим обе части на 4, чтобы избавиться от знаменателя: $$ 225 + 90b + 9b^2 - 4b^2 = 320 $$ $$ 5b^2 + 90b - 95 = 0 $$ Разделим уравнение на 5: $$ b^2 + 18b - 19 = 0 $$ Решим квадратное уравнение. По теореме Виета корни $b_1 = 1$ и $b_2 = -19$. Так как $b = y^2 \ge 0$, корень $b_2 = -19$ не является решением. Следовательно, $y^2 = b = 1$, откуда $y = \pm 1$. Найдем $a$: $$ a = \frac{15 + 3(1)}{2} = \frac{18}{2} = 9 $$ Следовательно, $x^2 = a = 9$, откуда $x = \pm 3$.
Ответ: $(\pm 3; \pm 1)$.
г)
Дана система уравнений: $$ \begin{cases} x^2 + y^2 = 10, \\ x^4 + y^4 = 82. \end{cases} $$ Возведем обе части первого уравнения в квадрат: $$ (x^2 + y^2)^2 = 10^2 $$ $$ x^4 + 2x^2y^2 + y^4 = 100 $$ Из второго уравнения системы мы знаем, что $x^4 + y^4 = 82$. Подставим это значение в полученное уравнение: $$ 82 + 2x^2y^2 = 100 $$ $$ 2x^2y^2 = 100 - 82 $$ $$ 2x^2y^2 = 18 $$ $$ x^2y^2 = 9 $$ Теперь у нас есть новая система относительно $x^2$ и $y^2$: $$ \begin{cases} x^2 + y^2 = 10, \\ x^2y^2 = 9. \end{cases} $$ Пусть $a = x^2$ и $b = y^2$. Тогда $a+b=10$ и $ab=9$. По обратной теореме Виета, $a$ и $b$ являются корнями квадратного уравнения $t^2 - 10t + 9 = 0$. Корни этого уравнения: $t_1 = 1$ и $t_2 = 9$. Это приводит к двум случаям: 1. $x^2 = 1$ и $y^2 = 9$. Отсюда $x = \pm 1$ и $y = \pm 3$. 2. $x^2 = 9$ и $y^2 = 1$. Отсюда $x = \pm 3$ и $y = \pm 1$. Оба случая дают наборы решений, которые удовлетворяют исходной системе.
Ответ: $(\pm 1; \pm 3)$, $(\pm 3; \pm 1)$.
Другие задания:
Помогло решение? Оставьте отзыв в комментариях ниже.
Мы подготовили для вас ответ c подробным объяснением домашего задания по алгебре за 9 класс, для упражнения номер 6.12 расположенного на странице 37 для 2-й части к учебнику 2019 года издания для учащихся школ и гимназий.
Теперь на нашем сайте ГДЗ.ТОП вы всегда легко и бесплатно найдёте условие с правильным ответом на вопрос «Как решить ДЗ» и «Как сделать» задание по алгебре к упражнению №6.12 (с. 37), авторов: Мордкович (Александр Григорьевич), Семенов (Павел Владимирович), 2-й части учебного пособия издательства Мнемозина.