Номер 6.5, страница 36, часть 2 - гдз по алгебре 9 класс учебник Мордкович, Семенов


Авторы: Мордкович А. Г., Семенов П. В.
Тип: Учебник
Издательство: Мнемозина
Год издания: 2019 - 2025
Часть: 2
Цвет обложки:
ISBN: 978-5-04642-4
Допущено Министерством просвещения Российской Федерации
Популярные ГДЗ в 9 классе
§ 6. Методы решения систем уравнений. Глава 2. Системы уравнений. ч. 2 - номер 6.5, страница 36.
№6.5 (с. 36)
Условие. №6.5 (с. 36)
скриншот условия

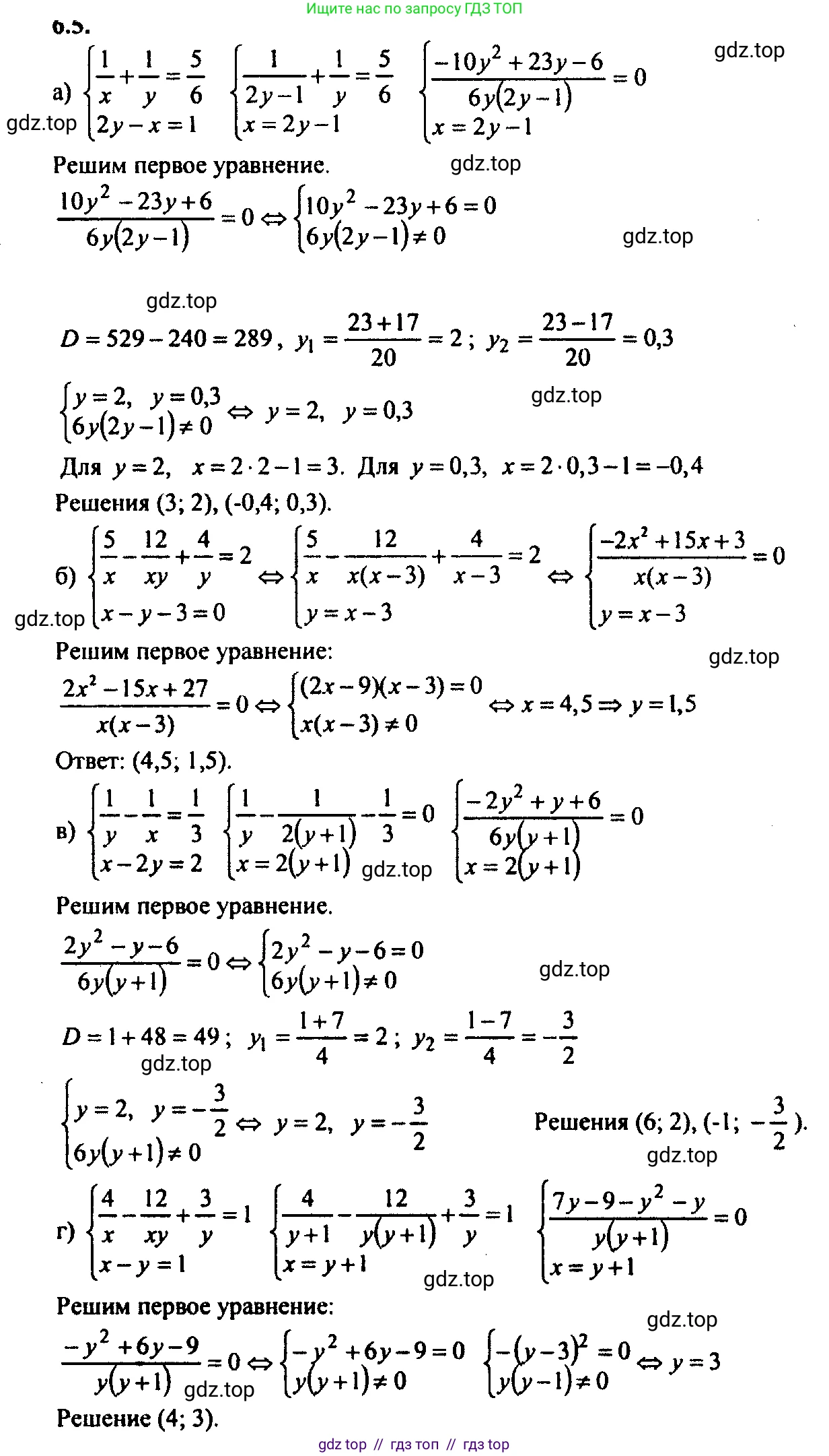
6.5 a) $ \begin{cases} \frac{1}{x} + \frac{1}{y} = \frac{5}{6}, \\ 2y - x = 1; \end{cases} $
б) $ \begin{cases} \frac{5}{x} - \frac{12}{xy} + \frac{4}{y} = 2, \\ x - y - 3 = 0; \end{cases} $
в) $ \begin{cases} \frac{1}{y} - \frac{1}{x} = \frac{1}{3}, \\ x - 2y = 2; \end{cases} $
г) $ \begin{cases} \frac{4}{x} - \frac{12}{xy} + \frac{3}{y} = 1, \\ x - y = 1. \end{cases} $
Решение 1. №6.5 (с. 36)




Решение 3. №6.5 (с. 36)

Решение 4. №6.5 (с. 36)
а)
Дана система уравнений:
$ \begin{cases} \frac{1}{x} + \frac{1}{y} = \frac{5}{6} \\ 2y - x = 1 \end{cases} $
Ограничения: $x \neq 0, y \neq 0$.
Из второго уравнения выразим $x$:
$x = 2y - 1$
Подставим это выражение в первое уравнение системы:
$\frac{1}{2y - 1} + \frac{1}{y} = \frac{5}{6}$
Приведем левую часть к общему знаменателю:
$\frac{y + (2y - 1)}{y(2y - 1)} = \frac{5}{6}$
$\frac{3y - 1}{2y^2 - y} = \frac{5}{6}$
Используем свойство пропорции (перекрестное умножение):
$6(3y - 1) = 5(2y^2 - y)$
$18y - 6 = 10y^2 - 5y$
Перенесем все члены в одну сторону, чтобы получить квадратное уравнение:
$10y^2 - 5y - 18y + 6 = 0$
$10y^2 - 23y + 6 = 0$
Найдем дискриминант $D = b^2 - 4ac$:
$D = (-23)^2 - 4 \cdot 10 \cdot 6 = 529 - 240 = 289 = 17^2$
Найдем корни уравнения:
$y_1 = \frac{23 + 17}{2 \cdot 10} = \frac{40}{20} = 2$
$y_2 = \frac{23 - 17}{2 \cdot 10} = \frac{6}{20} = \frac{3}{10}$
Теперь найдем соответствующие значения $x$ для каждого $y$, используя формулу $x = 2y - 1$:
1. Если $y_1 = 2$, то $x_1 = 2 \cdot 2 - 1 = 3$. Получили пару $(3; 2)$.
2. Если $y_2 = \frac{3}{10}$, то $x_2 = 2 \cdot \frac{3}{10} - 1 = \frac{6}{10} - 1 = \frac{3}{5} - 1 = -\frac{2}{5}$. Получили пару $(-\frac{2}{5}; \frac{3}{10})$.
Оба решения удовлетворяют ограничениям $x \neq 0, y \neq 0$.
Ответ: $(3; 2), (-\frac{2}{5}; \frac{3}{10})$.
б)
Дана система уравнений:
$ \begin{cases} \frac{5}{x} - \frac{12}{xy} + \frac{4}{y} = 2 \\ x - y - 3 = 0 \end{cases} $
Ограничения: $x \neq 0, y \neq 0$.
Преобразуем первое уравнение, приведя все дроби к общему знаменателю $xy$:
$\frac{5y}{xy} - \frac{12}{xy} + \frac{4x}{xy} = 2$
$\frac{5y - 12 + 4x}{xy} = 2$
$4x + 5y - 12 = 2xy$
Из второго уравнения системы выразим $x$:
$x = y + 3$
Подставим это выражение в преобразованное первое уравнение:
$4(y + 3) + 5y - 12 = 2(y + 3)y$
$4y + 12 + 5y - 12 = 2y^2 + 6y$
$9y = 2y^2 + 6y$
$2y^2 + 6y - 9y = 0$
$2y^2 - 3y = 0$
Вынесем $y$ за скобки:
$y(2y - 3) = 0$
Отсюда получаем два возможных значения для $y$:
$y_1 = 0$ или $2y - 3 = 0 \implies y_2 = \frac{3}{2}$.
Значение $y_1 = 0$ не удовлетворяет ограничению $y \neq 0$, поэтому это посторонний корень.
Рассмотрим $y = \frac{3}{2}$. Найдем соответствующее значение $x$:
$x = y + 3 = \frac{3}{2} + 3 = \frac{3}{2} + \frac{6}{2} = \frac{9}{2}$.
Получили пару $(\frac{9}{2}; \frac{3}{2})$. Проверим, удовлетворяет ли она ограничениям: $x = \frac{9}{2} \neq 0$ и $y = \frac{3}{2} \neq 0$.
Ответ: $(\frac{9}{2}; \frac{3}{2})$.
в)
Дана система уравнений:
$ \begin{cases} \frac{1}{y} - \frac{1}{x} = \frac{1}{3} \\ x - 2y = 2 \end{cases} $
Ограничения: $x \neq 0, y \neq 0$.
Из второго уравнения выразим $x$:
$x = 2y + 2$
Подставим это выражение в первое уравнение системы:
$\frac{1}{y} - \frac{1}{2y + 2} = \frac{1}{3}$
Приведем левую часть к общему знаменателю:
$\frac{(2y + 2) - y}{y(2y + 2)} = \frac{1}{3}$
$\frac{y + 2}{2y^2 + 2y} = \frac{1}{3}$
Используем свойство пропорции:
$3(y + 2) = 1(2y^2 + 2y)$
$3y + 6 = 2y^2 + 2y$
$2y^2 + 2y - 3y - 6 = 0$
$2y^2 - y - 6 = 0$
Найдем дискриминант $D = b^2 - 4ac$:
$D = (-1)^2 - 4 \cdot 2 \cdot (-6) = 1 + 48 = 49 = 7^2$
Найдем корни уравнения:
$y_1 = \frac{1 + 7}{2 \cdot 2} = \frac{8}{4} = 2$
$y_2 = \frac{1 - 7}{2 \cdot 2} = \frac{-6}{4} = -\frac{3}{2}$
Теперь найдем соответствующие значения $x$ для каждого $y$, используя формулу $x = 2y + 2$:
1. Если $y_1 = 2$, то $x_1 = 2 \cdot 2 + 2 = 6$. Получили пару $(6; 2)$.
2. Если $y_2 = -\frac{3}{2}$, то $x_2 = 2 \cdot (-\frac{3}{2}) + 2 = -3 + 2 = -1$. Получили пару $(-1; -\frac{3}{2})$.
Оба решения удовлетворяют ограничениям $x \neq 0, y \neq 0$.
Ответ: $(6; 2), (-1; -\frac{3}{2})$.
г)
Дана система уравнений:
$ \begin{cases} \frac{4}{x} - \frac{12}{xy} + \frac{3}{y} = 1 \\ x - y = 1 \end{cases} $
Ограничения: $x \neq 0, y \neq 0$.
Преобразуем первое уравнение, приведя все дроби к общему знаменателю $xy$:
$\frac{4y}{xy} - \frac{12}{xy} + \frac{3x}{xy} = 1$
$\frac{4y - 12 + 3x}{xy} = 1$
$3x + 4y - 12 = xy$
Из второго уравнения системы выразим $x$:
$x = y + 1$
Подставим это выражение в преобразованное первое уравнение:
$3(y + 1) + 4y - 12 = (y + 1)y$
$3y + 3 + 4y - 12 = y^2 + y$
$7y - 9 = y^2 + y$
$y^2 + y - 7y + 9 = 0$
$y^2 - 6y + 9 = 0$
Это уравнение является полным квадратом:
$(y - 3)^2 = 0$
Отсюда $y - 3 = 0 \implies y = 3$.
Найдем соответствующее значение $x$:
$x = y + 1 = 3 + 1 = 4$.
Получили пару $(4; 3)$. Проверим, удовлетворяет ли она ограничениям: $x = 4 \neq 0$ и $y = 3 \neq 0$.
Ответ: $(4; 3)$.
Другие задания:
Помогло решение? Оставьте отзыв в комментариях ниже.
Мы подготовили для вас ответ c подробным объяснением домашего задания по алгебре за 9 класс, для упражнения номер 6.5 расположенного на странице 36 для 2-й части к учебнику 2019 года издания для учащихся школ и гимназий.
Теперь на нашем сайте ГДЗ.ТОП вы всегда легко и бесплатно найдёте условие с правильным ответом на вопрос «Как решить ДЗ» и «Как сделать» задание по алгебре к упражнению №6.5 (с. 36), авторов: Мордкович (Александр Григорьевич), Семенов (Павел Владимирович), 2-й части учебного пособия издательства Мнемозина.