Номер 6.2, страница 35, часть 2 - гдз по алгебре 9 класс учебник Мордкович, Семенов


Авторы: Мордкович А. Г., Семенов П. В.
Тип: Учебник
Издательство: Мнемозина
Год издания: 2019 - 2025
Часть: 2
Цвет обложки:
ISBN: 978-5-04642-4
Допущено Министерством просвещения Российской Федерации
Популярные ГДЗ в 9 классе
§ 6. Методы решения систем уравнений. Глава 2. Системы уравнений. ч. 2 - номер 6.2, страница 35.
№6.2 (с. 35)
Условие. №6.2 (с. 35)
скриншот условия

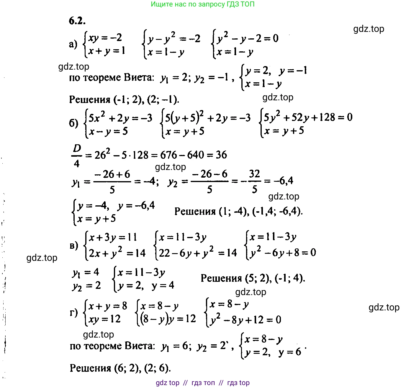
6.2 a) $\begin{cases} xy = -2, \\ x + y = 1; \end{cases}$
б) $\begin{cases} 5x^2 + 2y = -3, \\ x - y = 5; \end{cases}$
В) $\begin{cases} x + 3y = 11, \\ 2x + y^2 = 14; \end{cases}$
Г) $\begin{cases} x + y = 8, \\ xy = 12. \end{cases}$
Решение 1. №6.2 (с. 35)




Решение 3. №6.2 (с. 35)

Решение 4. №6.2 (с. 35)
а) Решим систему уравнений: $ \begin{cases} xy = -2, \\ x + y = 1; \end{cases} $
Данная система является симметрической. Согласно теореме, обратной теореме Виета, переменные $x$ и $y$ являются корнями квадратного уравнения $t^2 - (x+y)t + xy = 0$.
Подставим в это уравнение значения из системы: $t^2 - (1)t + (-2) = 0$, что равносильно $t^2 - t - 2 = 0$.
Найдем корни полученного квадратного уравнения с помощью дискриминанта.
$D = b^2 - 4ac = (-1)^2 - 4 \cdot 1 \cdot (-2) = 1 + 8 = 9$.
$t_1 = \frac{-b + \sqrt{D}}{2a} = \frac{1 + \sqrt{9}}{2} = \frac{1+3}{2} = 2$.
$t_2 = \frac{-b - \sqrt{D}}{2a} = \frac{1 - \sqrt{9}}{2} = \frac{1-3}{2} = -1$.
Таким образом, решениями системы являются пары чисел $(x, y)$, где $x$ и $y$ принимают значения $2$ и $-1$.
Ответ: $(2; -1), (-1; 2)$.
б) Решим систему уравнений: $ \begin{cases} 5x^2 + 2y = -3, \\ x - y = 5; \end{cases} $
Решим систему методом подстановки. Из второго уравнения выразим переменную $y$ через $x$: $y = x - 5$.
Подставим полученное выражение для $y$ в первое уравнение системы:
$5x^2 + 2(x - 5) = -3$.
Раскроем скобки и приведем уравнение к стандартному квадратному виду:
$5x^2 + 2x - 10 = -3$.
$5x^2 + 2x - 7 = 0$.
Найдем корни этого уравнения через дискриминант:
$D = b^2 - 4ac = 2^2 - 4 \cdot 5 \cdot (-7) = 4 + 140 = 144 = 12^2$.
$x_1 = \frac{-b + \sqrt{D}}{2a} = \frac{-2 + 12}{2 \cdot 5} = \frac{10}{10} = 1$.
$x_2 = \frac{-b - \sqrt{D}}{2a} = \frac{-2 - 12}{2 \cdot 5} = \frac{-14}{10} = -1.4$.
Теперь найдем соответствующие значения $y$, подставив найденные $x$ в выражение $y = x - 5$.
При $x_1 = 1$, $y_1 = 1 - 5 = -4$.
При $x_2 = -1.4$, $y_2 = -1.4 - 5 = -6.4$.
Ответ: $(1; -4), (-1.4; -6.4)$.
в) Решим систему уравнений: $ \begin{cases} x + 3y = 11, \\ 2x + y^2 = 14; \end{cases} $
Решим систему методом подстановки. Из первого уравнения выразим переменную $x$ через $y$: $x = 11 - 3y$.
Подставим это выражение во второе уравнение системы:
$2(11 - 3y) + y^2 = 14$.
Раскроем скобки и преобразуем уравнение:
$22 - 6y + y^2 = 14$.
$y^2 - 6y + 22 - 14 = 0$.
$y^2 - 6y + 8 = 0$.
Найдем корни полученного квадратного уравнения. По теореме Виета, сумма корней равна $6$, а их произведение равно $8$. Следовательно, корни $y_1 = 2$ и $y_2 = 4$.
Теперь найдем соответствующие значения $x$, подставив найденные $y$ в выражение $x = 11 - 3y$.
При $y_1 = 2$, $x_1 = 11 - 3 \cdot 2 = 11 - 6 = 5$.
При $y_2 = 4$, $x_2 = 11 - 3 \cdot 4 = 11 - 12 = -1$.
Ответ: $(5; 2), (-1; 4)$.
г) Решим систему уравнений: $ \begin{cases} x + y = 8, \\ xy = 12. \end{cases} $
Данная система является симметрической. Согласно теореме, обратной теореме Виета, переменные $x$ и $y$ являются корнями квадратного уравнения $t^2 - (x+y)t + xy = 0$.
Подставим в это уравнение значения из системы: $t^2 - 8t + 12 = 0$.
Найдем корни полученного квадратного уравнения. По теореме Виета, сумма корней равна $8$, а их произведение равно $12$. Следовательно, корни $t_1 = 2$ и $t_2 = 6$.
Таким образом, решениями системы являются пары чисел $(x, y)$, где $x$ и $y$ принимают значения $2$ и $6$.
Ответ: $(2; 6), (6; 2)$.
Другие задания:
Помогло решение? Оставьте отзыв в комментариях ниже.
Мы подготовили для вас ответ c подробным объяснением домашего задания по алгебре за 9 класс, для упражнения номер 6.2 расположенного на странице 35 для 2-й части к учебнику 2019 года издания для учащихся школ и гимназий.
Теперь на нашем сайте ГДЗ.ТОП вы всегда легко и бесплатно найдёте условие с правильным ответом на вопрос «Как решить ДЗ» и «Как сделать» задание по алгебре к упражнению №6.2 (с. 35), авторов: Мордкович (Александр Григорьевич), Семенов (Павел Владимирович), 2-й части учебного пособия издательства Мнемозина.