Номер 6.3, страница 35, часть 2 - гдз по алгебре 9 класс учебник Мордкович, Семенов


Авторы: Мордкович А. Г., Семенов П. В.
Тип: Учебник
Издательство: Мнемозина
Год издания: 2019 - 2025
Часть: 2
Цвет обложки:
ISBN: 978-5-04642-4
Допущено Министерством просвещения Российской Федерации
Популярные ГДЗ в 9 классе
§ 6. Методы решения систем уравнений. Глава 2. Системы уравнений. ч. 2 - номер 6.3, страница 35.
№6.3 (с. 35)
Условие. №6.3 (с. 35)
скриншот условия

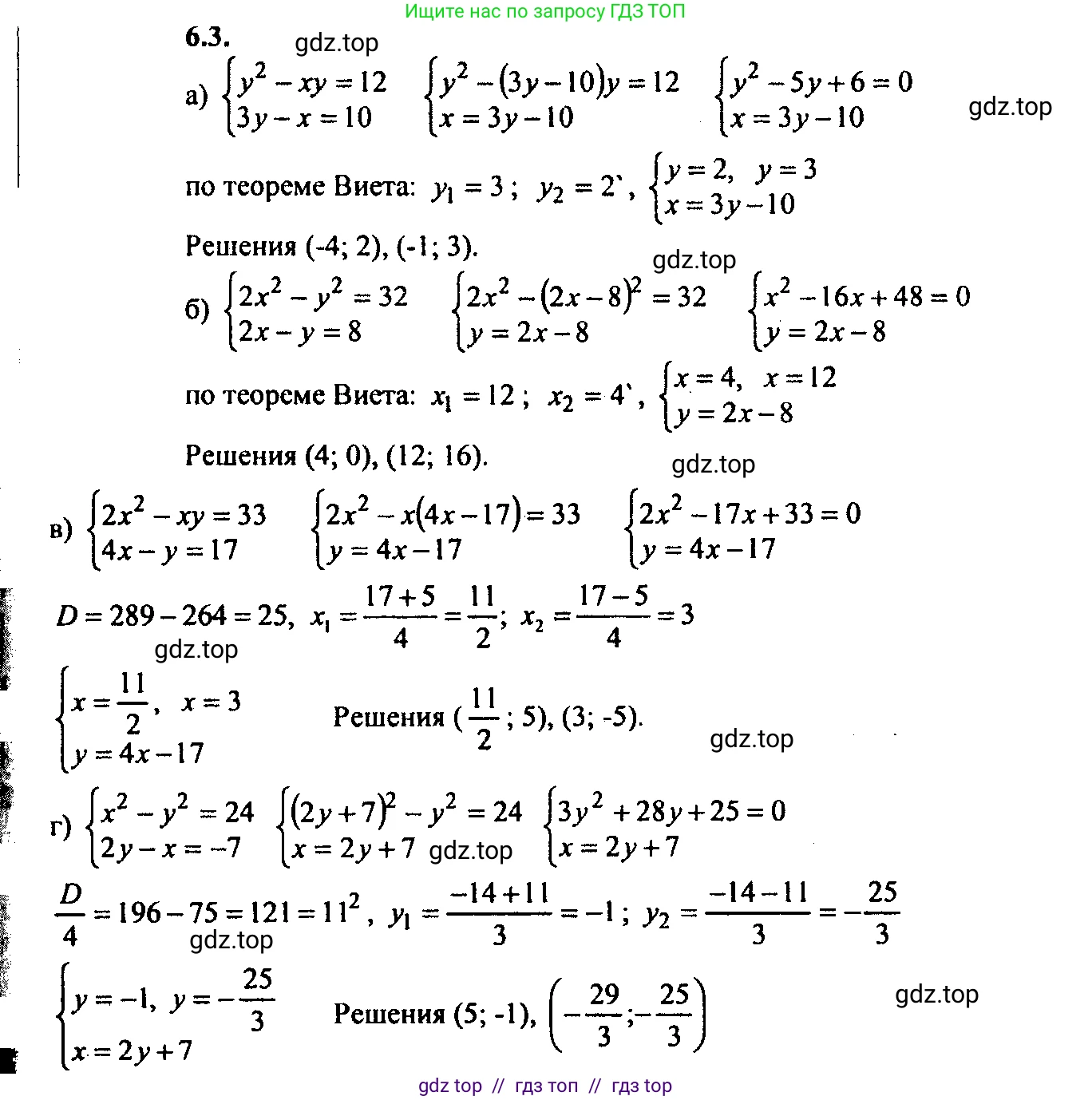
6.3 a) $\begin{cases}y^2 - xy = 12, \\3y - x = 10;\end{cases}$
б) $\begin{cases}2x^2 - y^2 = 32, \\2x - y = 8;\end{cases}$
в) $\begin{cases}2x^2 - xy = 33, \\4x - y = 17;\end{cases}$
г) $\begin{cases}x^2 - y^2 = 24, \\2y - x = -7.\end{cases}$
Решение 1. №6.3 (с. 35)




Решение 3. №6.3 (с. 35)

Решение 4. №6.3 (с. 35)
а)
Дана система уравнений:
$ \begin{cases} y^2 - xy = 12 \\ 3y - x = 10 \end{cases} $
Для решения системы используем метод подстановки. Выразим $x$ из второго уравнения:
$3y - x = 10 \implies x = 3y - 10$
Подставим полученное выражение для $x$ в первое уравнение системы:
$y^2 - (3y - 10)y = 12$
Раскроем скобки и упростим уравнение:
$y^2 - 3y^2 + 10y = 12$
$-2y^2 + 10y - 12 = 0$
Разделим обе части уравнения на -2:
$y^2 - 5y + 6 = 0$
Это квадратное уравнение. Найдем его корни по теореме Виета или через дискриминант. Корнями являются $y_1 = 2$ и $y_2 = 3$.
Теперь найдем соответствующие значения $x$ для каждого значения $y$.
1. Если $y_1 = 2$, то $x_1 = 3(2) - 10 = 6 - 10 = -4$.
2. Если $y_2 = 3$, то $x_2 = 3(3) - 10 = 9 - 10 = -1$.
Таким образом, система имеет два решения.
Ответ: $(-4, 2)$, $(-1, 3)$.
б)
Дана система уравнений:
$ \begin{cases} 2x^2 - y^2 = 32 \\ 2x - y = 8 \end{cases} $
Используем метод подстановки. Выразим $y$ из второго уравнения:
$2x - y = 8 \implies y = 2x - 8$
Подставим это выражение в первое уравнение:
$2x^2 - (2x - 8)^2 = 32$
Раскроем скобки и упростим:
$2x^2 - (4x^2 - 32x + 64) = 32$
$2x^2 - 4x^2 + 32x - 64 = 32$
$-2x^2 + 32x - 96 = 0$
Разделим обе части уравнения на -2:
$x^2 - 16x + 48 = 0$
Найдем корни квадратного уравнения. По теореме Виета, корнями являются $x_1 = 4$ и $x_2 = 12$.
Найдем соответствующие значения $y$:
1. Если $x_1 = 4$, то $y_1 = 2(4) - 8 = 8 - 8 = 0$.
2. Если $x_2 = 12$, то $y_2 = 2(12) - 8 = 24 - 8 = 16$.
Система имеет два решения.
Ответ: $(4, 0)$, $(12, 16)$.
в)
Дана система уравнений:
$ \begin{cases} 2x^2 - xy = 33 \\ 4x - y = 17 \end{cases} $
Выразим $y$ из второго уравнения:
$4x - y = 17 \implies y = 4x - 17$
Подставим $y$ в первое уравнение:
$2x^2 - x(4x - 17) = 33$
Упростим полученное уравнение:
$2x^2 - 4x^2 + 17x = 33$
$-2x^2 + 17x - 33 = 0$
Умножим обе части на -1:
$2x^2 - 17x + 33 = 0$
Решим это квадратное уравнение с помощью дискриминанта $D = b^2 - 4ac$:
$D = (-17)^2 - 4(2)(33) = 289 - 264 = 25$
Корни уравнения: $x = \frac{-b \pm \sqrt{D}}{2a}$
$x_1 = \frac{17 - \sqrt{25}}{2(2)} = \frac{17 - 5}{4} = \frac{12}{4} = 3$
$x_2 = \frac{17 + \sqrt{25}}{2(2)} = \frac{17 + 5}{4} = \frac{22}{4} = \frac{11}{2} = 5.5$
Найдем соответствующие значения $y$:
1. Если $x_1 = 3$, то $y_1 = 4(3) - 17 = 12 - 17 = -5$.
2. Если $x_2 = 5.5$, то $y_2 = 4(5.5) - 17 = 22 - 17 = 5$.
Система имеет два решения.
Ответ: $(3, -5)$, $(5.5, 5)$.
г)
Дана система уравнений:
$ \begin{cases} x^2 - y^2 = 24 \\ 2y - x = -7 \end{cases} $
Выразим $x$ из второго уравнения:
$2y - x = -7 \implies x = 2y + 7$
Подставим $x$ в первое уравнение:
$(2y + 7)^2 - y^2 = 24$
Раскроем скобки и приведем подобные слагаемые:
$(4y^2 + 28y + 49) - y^2 = 24$
$3y^2 + 28y + 49 - 24 = 0$
$3y^2 + 28y + 25 = 0$
Решим квадратное уравнение относительно $y$. Найдем дискриминант:
$D = (28)^2 - 4(3)(25) = 784 - 300 = 484 = 22^2$
Найдем корни уравнения:
$y_1 = \frac{-28 - 22}{2(3)} = \frac{-50}{6} = -\frac{25}{3}$
$y_2 = \frac{-28 + 22}{2(3)} = \frac{-6}{6} = -1$
Найдем соответствующие значения $x$:
1. Если $y_1 = -\frac{25}{3}$, то $x_1 = 2(-\frac{25}{3}) + 7 = -\frac{50}{3} + \frac{21}{3} = -\frac{29}{3}$.
2. Если $y_2 = -1$, то $x_2 = 2(-1) + 7 = -2 + 7 = 5$.
Система имеет два решения.
Ответ: $(-\frac{29}{3}, -\frac{25}{3})$, $(5, -1)$.
Другие задания:
Помогло решение? Оставьте отзыв в комментариях ниже.
Мы подготовили для вас ответ c подробным объяснением домашего задания по алгебре за 9 класс, для упражнения номер 6.3 расположенного на странице 35 для 2-й части к учебнику 2019 года издания для учащихся школ и гимназий.
Теперь на нашем сайте ГДЗ.ТОП вы всегда легко и бесплатно найдёте условие с правильным ответом на вопрос «Как решить ДЗ» и «Как сделать» задание по алгебре к упражнению №6.3 (с. 35), авторов: Мордкович (Александр Григорьевич), Семенов (Павел Владимирович), 2-й части учебного пособия издательства Мнемозина.