Номер 6.19, страница 39, часть 2 - гдз по алгебре 9 класс учебник Мордкович, Семенов


Авторы: Мордкович А. Г., Семенов П. В.
Тип: Учебник
Издательство: Мнемозина
Год издания: 2019 - 2025
Часть: 2
Цвет обложки:
ISBN: 978-5-04642-4
Допущено Министерством просвещения Российской Федерации
Популярные ГДЗ в 9 классе
§ 6. Методы решения систем уравнений. Глава 2. Системы уравнений. ч. 2 - номер 6.19, страница 39.
№6.19 (с. 39)
Условие. №6.19 (с. 39)
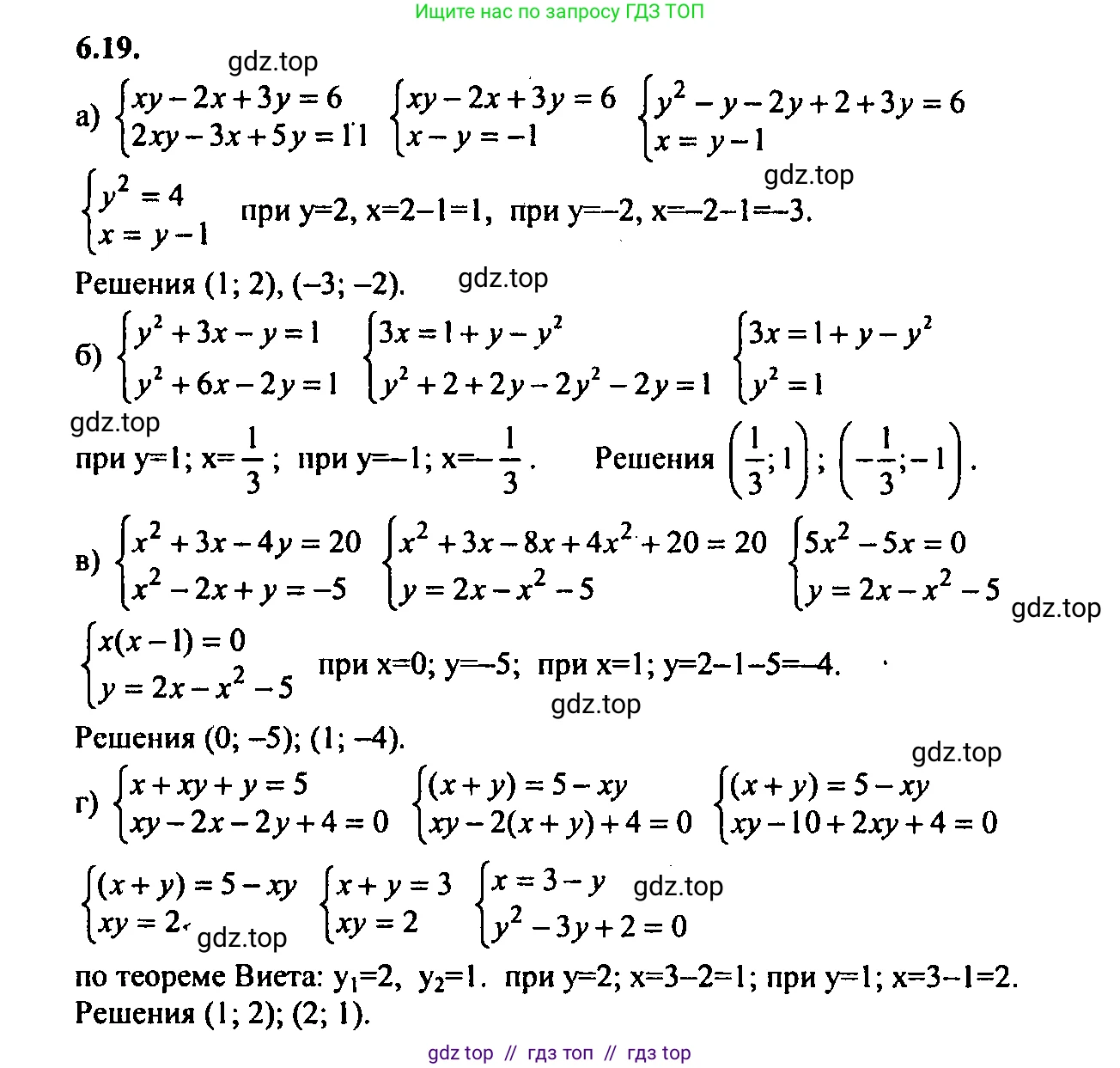
скриншот условия

6.19 a) $\begin{cases} xy - 2x + 3y = 6, \\ 2xy - 3x + 5y = 11; \end{cases}$
б) $\begin{cases} y^2 + 3x - y = 1, \\ y^2 + 6x - 2y = 1; \end{cases}$
в) $\begin{cases} x^2 + 3x - 4y = 20, \\ x^2 - 2x + y = -5; \end{cases}$
г) $\begin{cases} x + xy + y = 5, \\ xy - 2x - 2y + 4 = 0. \end{cases}$
Решение 1. №6.19 (с. 39)




Решение 3. №6.19 (с. 39)

Решение 4. №6.19 (с. 39)
а) Дана система уравнений: $$ \begin{cases} xy - 2x + 3y = 6 \\ 2xy - 3x + 5y = 11 \end{cases} $$ Для решения этой системы методом алгебраического сложения, умножим первое уравнение на 2, чтобы коэффициенты при члене $xy$ стали одинаковыми: $$ 2(xy - 2x + 3y) = 2 \cdot 6 \implies 2xy - 4x + 6y = 12 $$ Теперь вычтем второе уравнение системы из полученного нового уравнения: $$ (2xy - 4x + 6y) - (2xy - 3x + 5y) = 12 - 11 $$ $$ -x + y = 1 $$ Из этого линейного уравнения выразим $y$ через $x$: $$ y = x + 1 $$ Подставим полученное выражение для $y$ в первое уравнение исходной системы: $$ x(x + 1) - 2x + 3(x + 1) = 6 $$ Раскроем скобки и приведем подобные слагаемые: $$ x^2 + x - 2x + 3x + 3 = 6 $$ $$ x^2 + 2x - 3 = 0 $$ Решим это квадратное уравнение. Его можно разложить на множители: $$ (x+3)(x-1) = 0 $$ Отсюда получаем два возможных значения для $x$: $x_1 = -3$ и $x_2 = 1$. Для каждого значения $x$ найдем соответствующее значение $y$ по формуле $y = x + 1$: Если $x_1 = -3$, то $y_1 = -3 + 1 = -2$. Если $x_2 = 1$, то $y_2 = 1 + 1 = 2$. Таким образом, система имеет два решения.
Ответ: $(-3, -2)$, $(1, 2)$.
б) Дана система уравнений: $$ \begin{cases} y^2 + 3x - y = 1 \\ y^2 + 6x - 2y = 1 \end{cases} $$ Поскольку правые части обоих уравнений равны 1, мы можем приравнять их левые части: $$ y^2 + 3x - y = y^2 + 6x - 2y $$ Сократим $y^2$ в обеих частях уравнения: $$ 3x - y = 6x - 2y $$ Сгруппируем переменные $x$ и $y$: $$ 2y - y = 6x - 3x $$ $$ y = 3x $$ Теперь подставим это выражение для $y$ в первое уравнение исходной системы: $$ (3x)^2 + 3x - (3x) = 1 $$ $$ 9x^2 = 1 $$ $$ x^2 = \frac{1}{9} $$ Отсюда находим два значения для $x$: $x = \pm \sqrt{\frac{1}{9}}$, то есть $x_1 = \frac{1}{3}$ и $x_2 = -\frac{1}{3}$. Для каждого значения $x$ найдем соответствующее значение $y$ по формуле $y = 3x$: Если $x_1 = \frac{1}{3}$, то $y_1 = 3 \cdot \frac{1}{3} = 1$. Если $x_2 = -\frac{1}{3}$, то $y_2 = 3 \cdot \left(-\frac{1}{3}\right) = -1$. Таким образом, система имеет два решения.
Ответ: $(\frac{1}{3}, 1)$, $(-\frac{1}{3}, -1)$.
в) Дана система уравнений: $$ \begin{cases} x^2 + 3x - 4y = 20 \\ x^2 - 2x + y = -5 \end{cases} $$ Вычтем второе уравнение из первого, чтобы исключить член $x^2$: $$ (x^2 + 3x - 4y) - (x^2 - 2x + y) = 20 - (-5) $$ $$ x^2 + 3x - 4y - x^2 + 2x - y = 25 $$ $$ 5x - 5y = 25 $$ Разделим обе части уравнения на 5: $$ x - y = 5 $$ Выразим $y$ через $x$: $$ y = x - 5 $$ Подставим это выражение во второе уравнение исходной системы: $$ x^2 - 2x + (x - 5) = -5 $$ $$ x^2 - x - 5 = -5 $$ $$ x^2 - x = 0 $$ Вынесем $x$ за скобки: $$ x(x - 1) = 0 $$ Отсюда получаем два значения для $x$: $x_1 = 0$ и $x_2 = 1$. Для каждого значения $x$ найдем соответствующее значение $y$ по формуле $y = x - 5$: Если $x_1 = 0$, то $y_1 = 0 - 5 = -5$. Если $x_2 = 1$, то $y_2 = 1 - 5 = -4$. Таким образом, система имеет два решения.
Ответ: $(0, -5)$, $(1, -4)$.
г) Дана система уравнений: $$ \begin{cases} x + xy + y = 5 \\ xy - 2x - 2y + 4 = 0 \end{cases} $$ Преобразуем каждое уравнение методом разложения на множители. Для первого уравнения: $x + xy + y = 5$. Прибавим 1 к обеим частям, чтобы можно было сгруппировать слагаемые: $$ xy + x + y + 1 = 5 + 1 $$ $$ x(y+1) + 1(y+1) = 6 $$ $$ (x+1)(y+1) = 6 $$ Для второго уравнения: $xy - 2x - 2y + 4 = 0$. Сгруппируем слагаемые: $$ x(y-2) - 2(y-2) = 0 $$ $$ (x-2)(y-2) = 0 $$ Теперь система имеет вид: $$ \begin{cases} (x+1)(y+1) = 6 \\ (x-2)(y-2) = 0 \end{cases} $$ Из второго уравнения следует, что либо $x-2=0$, либо $y-2=0$. Рассмотрим оба случая. Случай 1: $x - 2 = 0 \implies x = 2$. Подставим $x=2$ в первое преобразованное уравнение: $$ (2+1)(y+1) = 6 $$ $$ 3(y+1) = 6 $$ $$ y+1 = 2 $$ $$ y = 1 $$ Получаем первое решение: $(2, 1)$. Случай 2: $y - 2 = 0 \implies y = 2$. Подставим $y=2$ в первое преобразованное уравнение: $$ (x+1)(2+1) = 6 $$ $$ 3(x+1) = 6 $$ $$ x+1 = 2 $$ $$ x = 1 $$ Получаем второе решение: $(1, 2)$.
Ответ: $(2, 1)$, $(1, 2)$.
Другие задания:
Помогло решение? Оставьте отзыв в комментариях ниже.
Мы подготовили для вас ответ c подробным объяснением домашего задания по алгебре за 9 класс, для упражнения номер 6.19 расположенного на странице 39 для 2-й части к учебнику 2019 года издания для учащихся школ и гимназий.
Теперь на нашем сайте ГДЗ.ТОП вы всегда легко и бесплатно найдёте условие с правильным ответом на вопрос «Как решить ДЗ» и «Как сделать» задание по алгебре к упражнению №6.19 (с. 39), авторов: Мордкович (Александр Григорьевич), Семенов (Павел Владимирович), 2-й части учебного пособия издательства Мнемозина.