Номер 6.13, страница 38, часть 2 - гдз по алгебре 9 класс учебник Мордкович, Семенов
 
                                                Авторы: Мордкович А. Г., Семенов П. В.
Тип: Учебник
Издательство: Мнемозина
Год издания: 2019 - 2025
Часть: 2
Цвет обложки:
ISBN: 978-5-04642-4
Допущено Министерством просвещения Российской Федерации
Популярные ГДЗ в 9 классе
Часть 2. Глава 2. Системы уравнений. Параграф 6. Методы решения систем уравнений - номер 6.13, страница 38.
№6.13 (с. 38)
Условие. №6.13 (с. 38)
скриншот условия
 
                                Решите систему уравнений:
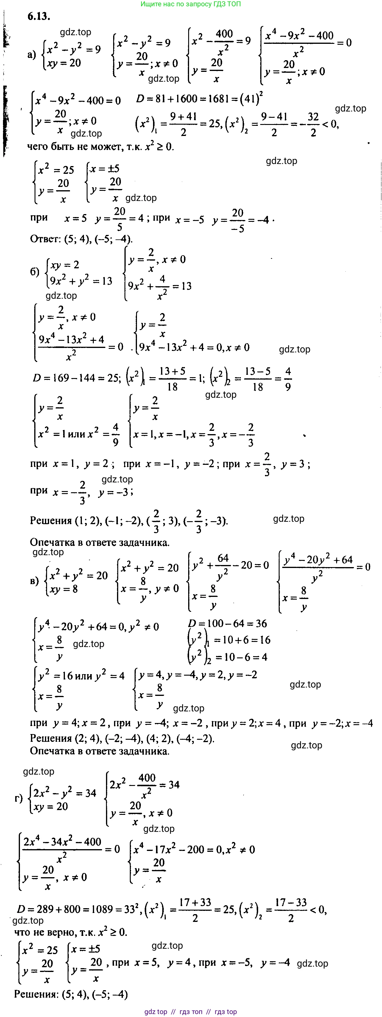
6.13 a) $\begin{cases} x^2 - y^2 = 9, \\ xy = 20; \end{cases}$
б) $\begin{cases} xy = 2, \\ 9x^2 + y^2 = 13; \end{cases}$
В) $\begin{cases} x^2 + y^2 = 20, \\ xy = 8; \end{cases}$
Г) $\begin{cases} 2x^2 - y^2 = 34, \\ xy = 20. \end{cases}$
Решение 1. №6.13 (с. 38)
 
             
             
             
                            Решение 3. №6.13 (с. 38)
 
                            Решение 4. №6.13 (с. 38)
а)
Дана система уравнений:
$\begin{cases} x^2 - y^2 = 9, \\ xy = 20. \end{cases}$
Из второго уравнения выразим y через x (при условии, что $x \ne 0$):
$y = \frac{20}{x}$
Подставим это выражение в первое уравнение системы:
$x^2 - \left(\frac{20}{x}\right)^2 = 9$
$x^2 - \frac{400}{x^2} = 9$
Умножим обе части уравнения на $x^2$, чтобы избавиться от знаменателя:
$x^4 - 400 = 9x^2$
Перенесем все члены в левую часть, чтобы получить биквадратное уравнение:
$x^4 - 9x^2 - 400 = 0$
Сделаем замену переменной. Пусть $t = x^2$, где $t \ge 0$. Уравнение примет вид:
$t^2 - 9t - 400 = 0$
Решим это квадратное уравнение с помощью дискриминанта:
$D = b^2 - 4ac = (-9)^2 - 4(1)(-400) = 81 + 1600 = 1681 = 41^2$
$t = \frac{-b \pm \sqrt{D}}{2a} = \frac{9 \pm 41}{2}$
Получаем два корня для t:
$t_1 = \frac{9 + 41}{2} = \frac{50}{2} = 25$
$t_2 = \frac{9 - 41}{2} = \frac{-32}{2} = -16$
Так как $t = x^2$, значение t не может быть отрицательным, поэтому корень $t_2 = -16$ является посторонним.
Возвращаемся к замене:
$x^2 = 25$
Отсюда находим значения x:
$x_1 = 5$, $x_2 = -5$
Теперь найдем соответствующие значения y, используя $y = \frac{20}{x}$:
Если $x_1 = 5$, то $y_1 = \frac{20}{5} = 4$.
Если $x_2 = -5$, то $y_2 = \frac{20}{-5} = -4$.
Таким образом, система имеет два решения.
Ответ: $(5, 4)$, $(-5, -4)$.
б)
Дана система уравнений:
$\begin{cases} xy = 2, \\ 9x^2 + y^2 = 13. \end{cases}$
Из первого уравнения выразим y через x (при условии, что $x \ne 0$):
$y = \frac{2}{x}$
Подставим это выражение во второе уравнение системы:
$9x^2 + \left(\frac{2}{x}\right)^2 = 13$
$9x^2 + \frac{4}{x^2} = 13$
Умножим обе части на $x^2$:
$9x^4 + 4 = 13x^2$
Получим биквадратное уравнение:
$9x^4 - 13x^2 + 4 = 0$
Сделаем замену $t = x^2$ ($t \ge 0$):
$9t^2 - 13t + 4 = 0$
Решим квадратное уравнение:
$D = (-13)^2 - 4(9)(4) = 169 - 144 = 25 = 5^2$
$t = \frac{13 \pm 5}{18}$
$t_1 = \frac{13 + 5}{18} = \frac{18}{18} = 1$
$t_2 = \frac{13 - 5}{18} = \frac{8}{18} = \frac{4}{9}$
Оба корня положительные, поэтому рассматриваем оба случая.
Возвращаемся к замене:
Случай 1: $x^2 = 1$.
$x = \pm 1$.
Если $x=1$, то $y = \frac{2}{1} = 2$.
Если $x=-1$, то $y = \frac{2}{-1} = -2$.
Случай 2: $x^2 = \frac{4}{9}$.
$x = \pm \frac{2}{3}$.
Если $x=\frac{2}{3}$, то $y = \frac{2}{2/3} = 3$.
Если $x=-\frac{2}{3}$, то $y = \frac{2}{-2/3} = -3$.
Система имеет четыре решения.
Ответ: $(1, 2)$, $(-1, -2)$, $(\frac{2}{3}, 3)$, $(-\frac{2}{3}, -3)$.
в)
Дана система уравнений:
$\begin{cases} x^2 + y^2 = 20, \\ xy = 8. \end{cases}$
Эта система является симметрической. Умножим второе уравнение на 2:
$2xy = 16$
Сложим это уравнение с первым уравнением системы:
$(x^2 + y^2) + 2xy = 20 + 16$
$x^2 + 2xy + y^2 = 36$
Используя формулу квадрата суммы, получаем:
$(x+y)^2 = 36$
Отсюда $x+y = 6$ или $x+y = -6$.
Теперь вычтем уравнение $2xy=16$ из первого уравнения системы:
$(x^2 + y^2) - 2xy = 20 - 16$
$x^2 - 2xy + y^2 = 4$
Используя формулу квадрата разности, получаем:
$(x-y)^2 = 4$
Отсюда $x-y = 2$ или $x-y = -2$.
Теперь решим четыре системы линейных уравнений:
1) $\begin{cases} x+y=6, \\ x-y=2. \end{cases}$ Складывая уравнения, получаем $2x=8 \implies x=4$. Тогда $y=6-4=2$. Решение: $(4, 2)$.
2) $\begin{cases} x+y=6, \\ x-y=-2. \end{cases}$ Складывая уравнения, получаем $2x=4 \implies x=2$. Тогда $y=6-2=4$. Решение: $(2, 4)$.
3) $\begin{cases} x+y=-6, \\ x-y=2. \end{cases}$ Складывая уравнения, получаем $2x=-4 \implies x=-2$. Тогда $y=-6-(-2)=-4$. Решение: $(-2, -4)$.
4) $\begin{cases} x+y=-6, \\ x-y=-2. \end{cases}$ Складывая уравнения, получаем $2x=-8 \implies x=-4$. Тогда $y=-6-(-4)=-2$. Решение: $(-4, -2)$.
Система имеет четыре решения.
Ответ: $(4, 2)$, $(2, 4)$, $(-2, -4)$, $(-4, -2)$.
г)
Дана система уравнений:
$\begin{cases} 2x^2 - y^2 = 34, \\ xy = 20. \end{cases}$
Из второго уравнения выразим y через x (при условии, что $x \ne 0$):
$y = \frac{20}{x}$
Подставим это выражение в первое уравнение:
$2x^2 - \left(\frac{20}{x}\right)^2 = 34$
$2x^2 - \frac{400}{x^2} = 34$
Умножим обе части на $x^2$:
$2x^4 - 400 = 34x^2$
Получим биквадратное уравнение:
$2x^4 - 34x^2 - 400 = 0$
Разделим уравнение на 2 для упрощения:
$x^4 - 17x^2 - 200 = 0$
Сделаем замену $t = x^2$ ($t \ge 0$):
$t^2 - 17t - 200 = 0$
Решим квадратное уравнение:
$D = (-17)^2 - 4(1)(-200) = 289 + 800 = 1089 = 33^2$
$t = \frac{17 \pm 33}{2}$
$t_1 = \frac{17 + 33}{2} = \frac{50}{2} = 25$
$t_2 = \frac{17 - 33}{2} = \frac{-16}{2} = -8$
Корень $t_2 = -8$ является посторонним, так как $t \ge 0$.
Возвращаемся к замене:
$x^2 = 25$
Отсюда $x = \pm 5$.
Теперь найдем соответствующие значения y, используя $y = \frac{20}{x}$:
Если $x_1 = 5$, то $y_1 = \frac{20}{5} = 4$.
Если $x_2 = -5$, то $y_2 = \frac{20}{-5} = -4$.
Система имеет два решения.
Ответ: $(5, 4)$, $(-5, -4)$.
Другие задания:
Помогло решение? Оставьте отзыв в комментариях ниже.
Присоединяйтесь к Телеграм-группе @top_gdz
ПрисоединитьсяМы подготовили для вас ответ c подробным объяснением домашего задания по алгебре за 9 класс, для упражнения номер 6.13 расположенного на странице 38 для 2-й части к учебнику 2019 года издания для учащихся школ и гимназий.
Теперь на нашем сайте ГДЗ.ТОП вы всегда легко и бесплатно найдёте условие с правильным ответом на вопрос «Как решить ДЗ» и «Как сделать» задание по алгебре к упражнению №6.13 (с. 38), авторов: Мордкович (Александр Григорьевич), Семенов (Павел Владимирович), 2-й части учебного пособия издательства Мнемозина.
 
                     
                     
                     
                     
                     
                     
                     
                     
                     
                     
                     
                     
                     
                     
                    