Номер 6.18, страница 39, часть 2 - гдз по алгебре 9 класс учебник Мордкович, Семенов
 
                                                Авторы: Мордкович А. Г., Семенов П. В.
Тип: Учебник
Издательство: Мнемозина
Год издания: 2019 - 2025
Часть: 2
Цвет обложки:
ISBN: 978-5-04642-4
Допущено Министерством просвещения Российской Федерации
Популярные ГДЗ в 9 классе
Часть 2. Глава 2. Системы уравнений. Параграф 6. Методы решения систем уравнений - номер 6.18, страница 39.
№6.18 (с. 39)
Условие. №6.18 (с. 39)
скриншот условия
 
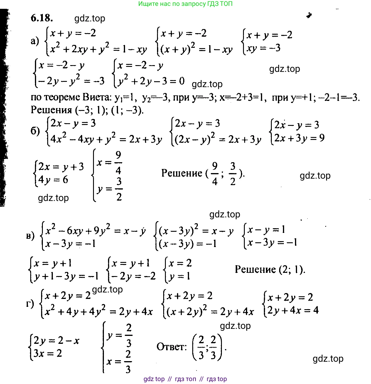
                                6.18 a) $\begin{cases} x + y = -2, \\ x^2 + 2xy + y^2 = 1 - xy; \end{cases}$
б) $\begin{cases} 2x - y = 3, \\ 4x^2 - 4xy + y^2 = 2x + 3y; \end{cases}$
В) $\begin{cases} x^2 - 6xy + 9y^2 = x - y, \\ x - 3y = -1; \end{cases}$
Г) $\begin{cases} x + 2y = 2, \\ x^2 + 4y + 4y^2 = 2y + 4x. \end{cases}$
Решение 1. №6.18 (с. 39)
 
             
             
             
                            Решение 3. №6.18 (с. 39)
 
                            Решение 4. №6.18 (с. 39)
а)
Дана система уравнений:
$\begin{cases} x + y = -2, \\ x^2 + 2xy + y^2 = 1 - xy; \end{cases}$
Заметим, что левая часть второго уравнения представляет собой формулу квадрата суммы: $x^2 + 2xy + y^2 = (x+y)^2$.
Перепишем систему с учетом этого преобразования:
$\begin{cases} x + y = -2, \\ (x+y)^2 = 1 - xy; \end{cases}$
Подставим значение $x+y$ из первого уравнения во второе:
$(-2)^2 = 1 - xy$
$4 = 1 - xy$
Выразим отсюда произведение $xy$:
$xy = 1 - 4$
$xy = -3$
Теперь мы имеем новую, более простую систему, равносильную исходной:
$\begin{cases} x + y = -2, \\ xy = -3. \end{cases}$
Согласно теореме, обратной теореме Виета, $x$ и $y$ являются корнями квадратного уравнения $t^2 - (x+y)t + xy = 0$.
Подставим известные нам значения суммы и произведения:
$t^2 - (-2)t + (-3) = 0$
$t^2 + 2t - 3 = 0$
Решим это квадратное уравнение. Его корни можно найти, например, разложением на множители:
$(t-1)(t+3) = 0$
Отсюда получаем корни $t_1 = 1$ и $t_2 = -3$.
Это означает, что переменные $x$ и $y$ принимают эти значения в двух возможных комбинациях.
Следовательно, решения системы — это пары чисел $(1, -3)$ и $(-3, 1)$.
Ответ: $(1, -3), (-3, 1)$.
б)
Дана система уравнений:
$\begin{cases} 2x - y = 3, \\ 4x^2 - 4xy + y^2 = 2x + 3y; \end{cases}$
Левая часть второго уравнения является квадратом разности: $4x^2 - 4xy + y^2 = (2x-y)^2$.
Заменим левую часть второго уравнения на это выражение:
$\begin{cases} 2x - y = 3, \\ (2x-y)^2 = 2x + 3y; \end{cases}$
Подставим значение $2x-y$ из первого уравнения во второе:
$3^2 = 2x + 3y$
$9 = 2x + 3y$
Теперь у нас есть система из двух линейных уравнений:
$\begin{cases} 2x - y = 3, \\ 2x + 3y = 9. \end{cases}$
Решим эту систему методом вычитания. Вычтем первое уравнение из второго:
$(2x + 3y) - (2x - y) = 9 - 3$
$4y = 6$
$y = \frac{6}{4} = \frac{3}{2}$
Теперь подставим найденное значение $y$ в первое уравнение системы:
$2x - \frac{3}{2} = 3$
$2x = 3 + \frac{3}{2}$
$2x = \frac{6}{2} + \frac{3}{2} = \frac{9}{2}$
$x = \frac{9}{4}$
Решение системы — пара чисел $(\frac{9}{4}, \frac{3}{2})$.
Ответ: $(\frac{9}{4}, \frac{3}{2})$.
в)
Дана система уравнений:
$\begin{cases} x^2 - 6xy + 9y^2 = x - y, \\ x - 3y = -1; \end{cases}$
Заметим, что левая часть первого уравнения является полным квадратом: $x^2 - 6xy + 9y^2 = (x - 3y)^2$.
Перепишем систему:
$\begin{cases} (x - 3y)^2 = x - y, \\ x - 3y = -1; \end{cases}$
Подставим второе уравнение в первое:
$(-1)^2 = x - y$
$1 = x - y$
Получили систему двух линейных уравнений:
$\begin{cases} x - y = 1, \\ x - 3y = -1. \end{cases}$
Вычтем второе уравнение из первого:
$(x - y) - (x - 3y) = 1 - (-1)$
$2y = 2$
$y = 1$
Подставим значение $y=1$ в уравнение $x-y=1$:
$x - 1 = 1$
$x = 2$
Таким образом, решением системы является пара $(2, 1)$.
Ответ: $(2, 1)$.
г)
Дана система уравнений:
$\begin{cases} x + 2y = 2, \\ x^2 + 4xy + 4y^2 = 2y + 4x. \end{cases}$
Левая часть второго уравнения является формулой квадрата суммы: $x^2 + 4xy + 4y^2 = (x+2y)^2$.
Запишем систему в новом виде:
$\begin{cases} x + 2y = 2, \\ (x+2y)^2 = 4x + 2y. \end{cases}$
Подставим значение $x+2y$ из первого уравнения во второе:
$2^2 = 4x + 2y$
$4 = 4x + 2y$
Разделим обе части полученного уравнения на 2:
$2 = 2x + y$
Теперь решаем систему линейных уравнений:
$\begin{cases} x + 2y = 2, \\ 2x + y = 2. \end{cases}$
Из второго уравнения выразим $y$: $y = 2 - 2x$.
Подставим это выражение в первое уравнение:
$x + 2(2 - 2x) = 2$
$x + 4 - 4x = 2$
$-3x = 2 - 4$
$-3x = -2$
$x = \frac{2}{3}$
Теперь найдем $y$, подставив значение $x$ в выражение $y = 2 - 2x$:
$y = 2 - 2 \cdot \frac{2}{3} = 2 - \frac{4}{3} = \frac{6}{3} - \frac{4}{3} = \frac{2}{3}$
Решением системы является пара чисел $(\frac{2}{3}, \frac{2}{3})$.
Ответ: $(\frac{2}{3}, \frac{2}{3})$.
Другие задания:
Помогло решение? Оставьте отзыв в комментариях ниже.
Присоединяйтесь к Телеграм-группе @top_gdz
ПрисоединитьсяМы подготовили для вас ответ c подробным объяснением домашего задания по алгебре за 9 класс, для упражнения номер 6.18 расположенного на странице 39 для 2-й части к учебнику 2019 года издания для учащихся школ и гимназий.
Теперь на нашем сайте ГДЗ.ТОП вы всегда легко и бесплатно найдёте условие с правильным ответом на вопрос «Как решить ДЗ» и «Как сделать» задание по алгебре к упражнению №6.18 (с. 39), авторов: Мордкович (Александр Григорьевич), Семенов (Павел Владимирович), 2-й части учебного пособия издательства Мнемозина.
 
                     
                     
                     
                     
                     
                     
                     
                     
                     
                     
                     
                     
                     
                     
                    