Номер 6.16, страница 38, часть 2 - гдз по алгебре 9 класс учебник Мордкович, Семенов


Авторы: Мордкович А. Г., Семенов П. В.
Тип: Учебник
Издательство: Мнемозина
Год издания: 2019 - 2025
Часть: 2
Цвет обложки:
ISBN: 978-5-04642-4
Допущено Министерством просвещения Российской Федерации
Популярные ГДЗ в 9 классе
§ 6. Методы решения систем уравнений. Глава 2. Системы уравнений. ч. 2 - номер 6.16, страница 38.
№6.16 (с. 38)
Условие. №6.16 (с. 38)
скриншот условия

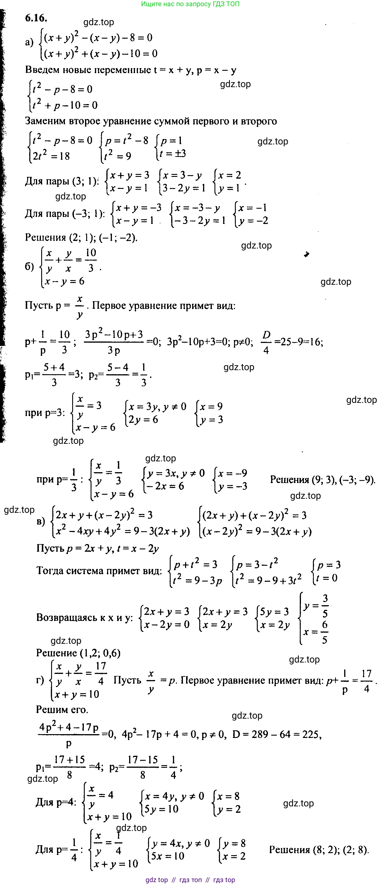
6.16 а) $\begin{cases} (x+y)^2 - (x-y) - 8 = 0, \\ (x+y)^2 + (x-y) - 10 = 0; \end{cases}$
б) $\begin{cases} \frac{x}{y} + \frac{y}{x} = \frac{10}{3}, \\ x - y = 6; \end{cases}$
в) $\begin{cases} 2x + y + (x - 2y)^2 = 3, \\ x^2 - 4xy + 4y^2 = 9 - 3(2x + y); \end{cases}$
г) $\begin{cases} \frac{x}{y} + \frac{y}{x} = \frac{17}{4}, \\ x + y = 10. \end{cases}$
Решение 1. №6.16 (с. 38)




Решение 3. №6.16 (с. 38)

Решение 4. №6.16 (с. 38)
а)
Дана система уравнений:
$$ \begin{cases} (x + y)^2 - (x - y) - 8 = 0, \\ (x + y)^2 + (x - y) - 10 = 0; \end{cases} $$
Это система нелинейных уравнений. Для ее решения удобно использовать метод введения новых переменных. Пусть $u = (x + y)^2$ и $v = x - y$. Тогда система примет вид:
$$ \begin{cases} u - v - 8 = 0, \\ u + v - 10 = 0; \end{cases} $$
Мы получили систему линейных уравнений относительно $u$ и $v$. Сложим два уравнения системы, чтобы исключить переменную $v$:
$(u - v - 8) + (u + v - 10) = 0$
$2u - 18 = 0$
$2u = 18$
$u = 9$
Теперь подставим найденное значение $u = 9$ в любое из уравнений системы для $u$ и $v$, например, во второе:
$9 + v - 10 = 0$
$v - 1 = 0$
$v = 1$
Теперь, когда мы нашли значения $u$ и $v$, вернемся к исходным переменным $x$ и $y$:
$u = (x + y)^2 = 9$
$v = x - y = 1$
Из уравнения $(x + y)^2 = 9$ следует, что $x + y$ может быть равно $3$ или $-3$. Это дает нам два случая.
Случай 1:
$$ \begin{cases} x + y = 3, \\ x - y = 1; \end{cases} $$
Сложим уравнения: $(x + y) + (x - y) = 3 + 1 \implies 2x = 4 \implies x = 2$.
Подставим $x = 2$ в первое уравнение: $2 + y = 3 \implies y = 1$.
Первое решение: $(2, 1)$.
Случай 2:
$$ \begin{cases} x + y = -3, \\ x - y = 1; \end{cases} $$
Сложим уравнения: $(x + y) + (x - y) = -3 + 1 \implies 2x = -2 \implies x = -1$.
Подставим $x = -1$ в первое уравнение: $-1 + y = -3 \implies y = -2$.
Второе решение: $(-1, -2)$.
Ответ: $(2, 1), (-1, -2)$.
б)
Дана система уравнений:
$$ \begin{cases} \frac{x}{y} + \frac{y}{x} = \frac{10}{3}, \\ x - y = 6; \end{cases} $$
Область допустимых значений (ОДЗ) для этой системы: $x \neq 0$ и $y \neq 0$.
Рассмотрим первое уравнение. Введем замену $t = \frac{x}{y}$. Тогда $\frac{y}{x} = \frac{1}{t}$, и уравнение примет вид:
$t + \frac{1}{t} = \frac{10}{3}$
Для решения этого уравнения умножим обе части на $3t$ (это возможно, так как из ОДЗ следует, что $t \neq 0$):
$3t^2 + 3 = 10t$
$3t^2 - 10t + 3 = 0$
Решим полученное квадратное уравнение с помощью дискриминанта:
$D = b^2 - 4ac = (-10)^2 - 4 \cdot 3 \cdot 3 = 100 - 36 = 64 = 8^2$
$t_1 = \frac{-b + \sqrt{D}}{2a} = \frac{10 + 8}{2 \cdot 3} = \frac{18}{6} = 3$
$t_2 = \frac{-b - \sqrt{D}}{2a} = \frac{10 - 8}{2 \cdot 3} = \frac{2}{6} = \frac{1}{3}$
Теперь вернемся к замене $t = \frac{x}{y}$ и рассмотрим два случая.
Случай 1: $\frac{x}{y} = 3 \implies x = 3y$.
Подставим это выражение во второе уравнение исходной системы $x - y = 6$:
$3y - y = 6$
$2y = 6$
$y = 3$
Тогда $x = 3y = 3 \cdot 3 = 9$. Получаем решение $(9, 3)$, которое удовлетворяет ОДЗ.
Случай 2: $\frac{x}{y} = \frac{1}{3} \implies y = 3x$.
Подставим это выражение во второе уравнение системы $x - y = 6$:
$x - 3x = 6$
$-2x = 6$
$x = -3$
Тогда $y = 3x = 3 \cdot (-3) = -9$. Получаем решение $(-3, -9)$, которое также удовлетворяет ОДЗ.
Ответ: $(9, 3), (-3, -9)$.
в)
Дана система уравнений:
$$ \begin{cases} 2x + y + (x - 2y)^2 = 3, \\ x^2 - 4xy + 4y^2 = 9 - 3(2x + y); \end{cases} $$
Заметим, что выражение $x^2 - 4xy + 4y^2$ в левой части второго уравнения является полным квадратом разности: $x^2 - 4xy + 4y^2 = (x - 2y)^2$.
Тогда второе уравнение можно переписать в виде:
$(x - 2y)^2 = 9 - 3(2x + y)$
Теперь система выглядит так:
$$ \begin{cases} 2x + y + (x - 2y)^2 = 3, \\ (x - 2y)^2 = 9 - 3(2x + y); \end{cases} $$
В системе присутствуют повторяющиеся выражения. Введем новые переменные: пусть $u = 2x + y$ и $v = (x - 2y)^2$. Система преобразуется к виду:
$$ \begin{cases} u + v = 3, \\ v = 9 - 3u; \end{cases} $$
Подставим выражение для $v$ из второго уравнения в первое:
$u + (9 - 3u) = 3$
$-2u = 3 - 9$
$-2u = -6$
$u = 3$
Теперь найдем $v$: $v = 9 - 3u = 9 - 3(3) = 9 - 9 = 0$.
Вернемся к исходным переменным:
$u = 2x + y = 3$
$v = (x - 2y)^2 = 0$
Из уравнения $(x - 2y)^2 = 0$ следует, что $x - 2y = 0$, откуда $x = 2y$.
Подставим это соотношение в уравнение $2x + y = 3$:
$2(2y) + y = 3$
$4y + y = 3$
$5y = 3 \implies y = \frac{3}{5}$
Найдем $x$: $x = 2y = 2 \cdot \frac{3}{5} = \frac{6}{5}$.
Ответ: $(\frac{6}{5}, \frac{3}{5})$.
г)
Дана система уравнений:
$$ \begin{cases} \frac{x}{y} + \frac{y}{x} = \frac{17}{4}, \\ x + y = 10; \end{cases} $$
ОДЗ: $x \neq 0$ и $y \neq 0$.
Как и в задаче б), введем замену $t = \frac{x}{y}$ в первом уравнении:
$t + \frac{1}{t} = \frac{17}{4}$
Умножим обе части на $4t$ (где $t \neq 0$):
$4t^2 + 4 = 17t$
$4t^2 - 17t + 4 = 0$
Решим квадратное уравнение:
$D = (-17)^2 - 4 \cdot 4 \cdot 4 = 289 - 64 = 225 = 15^2$
$t_1 = \frac{17 + 15}{2 \cdot 4} = \frac{32}{8} = 4$
$t_2 = \frac{17 - 15}{2 \cdot 4} = \frac{2}{8} = \frac{1}{4}$
Рассмотрим два случая.
Случай 1: $\frac{x}{y} = 4 \implies x = 4y$.
Подставим это выражение во второе уравнение системы $x + y = 10$:
$4y + y = 10$
$5y = 10 \implies y = 2$
Тогда $x = 4y = 4 \cdot 2 = 8$. Получаем решение $(8, 2)$.
Случай 2: $\frac{x}{y} = \frac{1}{4} \implies y = 4x$.
Подставим это выражение во второе уравнение системы $x + y = 10$:
$x + 4x = 10$
$5x = 10 \implies x = 2$
Тогда $y = 4x = 4 \cdot 2 = 8$. Получаем решение $(2, 8)$.
Оба решения удовлетворяют ОДЗ.
Ответ: $(8, 2), (2, 8)$.
Другие задания:
Помогло решение? Оставьте отзыв в комментариях ниже.
Мы подготовили для вас ответ c подробным объяснением домашего задания по алгебре за 9 класс, для упражнения номер 6.16 расположенного на странице 38 для 2-й части к учебнику 2019 года издания для учащихся школ и гимназий.
Теперь на нашем сайте ГДЗ.ТОП вы всегда легко и бесплатно найдёте условие с правильным ответом на вопрос «Как решить ДЗ» и «Как сделать» задание по алгебре к упражнению №6.16 (с. 38), авторов: Мордкович (Александр Григорьевич), Семенов (Павел Владимирович), 2-й части учебного пособия издательства Мнемозина.