Номер 6.20, страница 39, часть 2 - гдз по алгебре 9 класс учебник Мордкович, Семенов


Авторы: Мордкович А. Г., Семенов П. В.
Тип: Учебник
Издательство: Мнемозина
Год издания: 2019 - 2025
Часть: 2
Цвет обложки:
ISBN: 978-5-04642-4
Допущено Министерством просвещения Российской Федерации
Популярные ГДЗ в 9 классе
§ 6. Методы решения систем уравнений. Глава 2. Системы уравнений. ч. 2 - номер 6.20, страница 39.
№6.20 (с. 39)
Условие. №6.20 (с. 39)
скриншот условия

Решите систему уравнений:
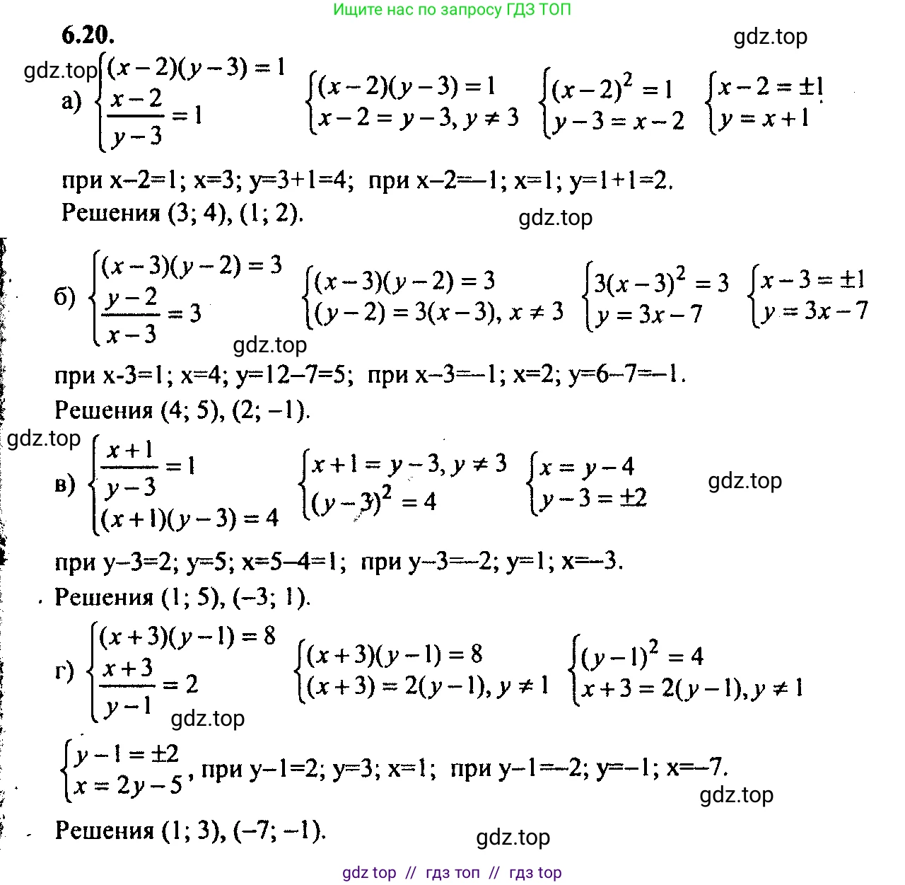
6.20 а) $\begin{cases} (x - 2)(y - 3) = 1, \\ \frac{x - 2}{y - 3} = 1; \end{cases}$
б) $\begin{cases} (x - 3)(y - 2) = 3, \\ \frac{y - 2}{x - 3} = 3; \end{cases}$
в) $\begin{cases} \frac{x + 1}{y - 3} = 1, \\ (x + 1)(y - 3) = 4; \end{cases}$
г) $\begin{cases} (x + 3)(y - 1) = 8, \\ \frac{x + 3}{y - 1} = 2. \end{cases}$
Решение 1. №6.20 (с. 39)




Решение 3. №6.20 (с. 39)

Решение 4. №6.20 (с. 39)
а)
Решим систему уравнений: $ \begin{cases} (x-2)(y-3) = 1 \\ \frac{x-2}{y-3} = 1 \end{cases} $
Введем новые переменные. Пусть $a = x-2$ и $b = y-3$. Тогда система примет вид: $ \begin{cases} ab = 1 \\ \frac{a}{b} = 1 \end{cases} $
Из второго уравнения следует, что $a = b$ (при условии $b \neq 0$). Подставим это в первое уравнение: $ b \cdot b = 1 \implies b^2 = 1 $
Отсюда получаем два возможных значения для $b$:
1) $b = 1$. Так как $a=b$, то $a = 1$.
2) $b = -1$. Так как $a=b$, то $a = -1$.
Теперь вернемся к исходным переменным $x$ и $y$:
1) $x-2 = 1 \implies x = 3$; $y-3 = 1 \implies y = 4$. Получаем решение $(3; 4)$.
2) $x-2 = -1 \implies x = 1$; $y-3 = -1 \implies y = 2$. Получаем решение $(1; 2)$.
Ответ: $(3; 4), (1; 2)$.
б)
Решим систему уравнений: $ \begin{cases} (x-3)(y-2) = 3 \\ \frac{y-2}{x-3} = 3 \end{cases} $
Введем новые переменные. Пусть $a = x-3$ и $b = y-2$. Тогда система примет вид: $ \begin{cases} ab = 3 \\ \frac{b}{a} = 3 \end{cases} $
Из второго уравнения следует, что $b = 3a$ (при условии $a \neq 0$). Подставим это в первое уравнение: $ a \cdot (3a) = 3 \implies 3a^2 = 3 \implies a^2 = 1 $
Отсюда получаем два возможных значения для $a$:
1) $a = 1$. Тогда $b = 3a = 3(1) = 3$.
2) $a = -1$. Тогда $b = 3a = 3(-1) = -3$.
Теперь вернемся к исходным переменным $x$ и $y$:
1) $x-3 = 1 \implies x = 4$; $y-2 = 3 \implies y = 5$. Получаем решение $(4; 5)$.
2) $x-3 = -1 \implies x = 2$; $y-2 = -3 \implies y = -1$. Получаем решение $(2; -1)$.
Ответ: $(4; 5), (2; -1)$.
в)
Решим систему уравнений: $ \begin{cases} \frac{x+1}{y-3} = 1 \\ (x+1)(y-3) = 4 \end{cases} $
Введем новые переменные. Пусть $a = x+1$ и $b = y-3$. Тогда система примет вид: $ \begin{cases} \frac{a}{b} = 1 \\ ab = 4 \end{cases} $
Из первого уравнения следует, что $a = b$ (при условии $b \neq 0$). Подставим это во второе уравнение: $ b \cdot b = 4 \implies b^2 = 4 $
Отсюда получаем два возможных значения для $b$:
1) $b = 2$. Так как $a=b$, то $a = 2$.
2) $b = -2$. Так как $a=b$, то $a = -2$.
Теперь вернемся к исходным переменным $x$ и $y$:
1) $x+1 = 2 \implies x = 1$; $y-3 = 2 \implies y = 5$. Получаем решение $(1; 5)$.
2) $x+1 = -2 \implies x = -3$; $y-3 = -2 \implies y = 1$. Получаем решение $(-3; 1)$.
Ответ: $(1; 5), (-3; 1)$.
г)
Решим систему уравнений: $ \begin{cases} (x+3)(y-1) = 8 \\ \frac{x+3}{y-1} = 2 \end{cases} $
Введем новые переменные. Пусть $a = x+3$ и $b = y-1$. Тогда система примет вид: $ \begin{cases} ab = 8 \\ \frac{a}{b} = 2 \end{cases} $
Из второго уравнения следует, что $a = 2b$ (при условии $b \neq 0$). Подставим это в первое уравнение: $ (2b) \cdot b = 8 \implies 2b^2 = 8 \implies b^2 = 4 $
Отсюда получаем два возможных значения для $b$:
1) $b = 2$. Тогда $a = 2b = 2(2) = 4$.
2) $b = -2$. Тогда $a = 2b = 2(-2) = -4$.
Теперь вернемся к исходным переменным $x$ и $y$:
1) $x+3 = 4 \implies x = 1$; $y-1 = 2 \implies y = 3$. Получаем решение $(1; 3)$.
2) $x+3 = -4 \implies x = -7$; $y-1 = -2 \implies y = -1$. Получаем решение $(-7; -1)$.
Ответ: $(1; 3), (-7; -1)$.
Другие задания:
Помогло решение? Оставьте отзыв в комментариях ниже.
Мы подготовили для вас ответ c подробным объяснением домашего задания по алгебре за 9 класс, для упражнения номер 6.20 расположенного на странице 39 для 2-й части к учебнику 2019 года издания для учащихся школ и гимназий.
Теперь на нашем сайте ГДЗ.ТОП вы всегда легко и бесплатно найдёте условие с правильным ответом на вопрос «Как решить ДЗ» и «Как сделать» задание по алгебре к упражнению №6.20 (с. 39), авторов: Мордкович (Александр Григорьевич), Семенов (Павел Владимирович), 2-й части учебного пособия издательства Мнемозина.