Номер 7.42, страница 45, часть 2 - гдз по алгебре 9 класс учебник Мордкович, Семенов


Авторы: Мордкович А. Г., Семенов П. В.
Тип: Учебник
Издательство: Мнемозина
Год издания: 2019 - 2025
Часть: 2
Цвет обложки:
ISBN: 978-5-04642-4
Допущено Министерством просвещения Российской Федерации
Популярные ГДЗ в 9 классе
§ 7. Системы уравнений как математические модели реальных ситуаций. Глава 2. Системы уравнений. ч. 2 - номер 7.42, страница 45.
№7.42 (с. 45)
Условие. №7.42 (с. 45)
скриншот условия

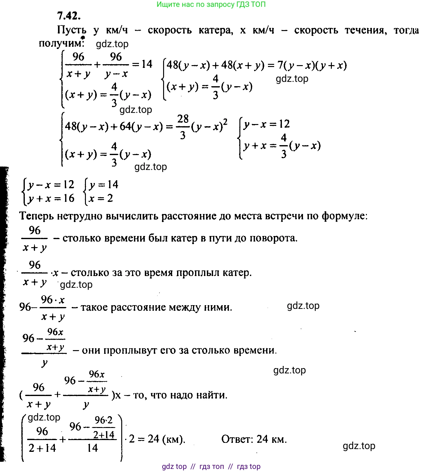
7.42 От пристани А одновременно отправились вниз по течению катер и плот. Катер прошёл 96 км, затем повернул обратно и вернулся к пристани А через 14 ч. Известно, что скорость катера по течению в $1 \frac{1}{3}$ раза больше скорости катера против течения. На каком расстоянии от пристани А катер встретил плот на обратном пути?
Решение 1. №7.42 (с. 45)

Решение 3. №7.42 (с. 45)

Решение 4. №7.42 (с. 45)
Для решения задачи введем следующие обозначения: $v_k$ - собственная скорость катера (в км/ч); $v_t$ - скорость течения реки, которая также является скоростью плота (в км/ч); $v_{по}$ - скорость катера по течению ($v_{по} = v_k + v_t$); $v_{пр}$ - скорость катера против течения ($v_{пр} = v_k - v_t$); $S = 96$ км - расстояние, пройденное катером вниз по течению; $T = 14$ ч - общее время движения катера.
Сначала найдем скорости катера по течению и против течения. Катер прошел 96 км по течению и 96 км против течения, затратив на весь путь 14 часов. Можем составить уравнение: $$ \frac{96}{v_{по}} + \frac{96}{v_{пр}} = 14 $$
По условию известно, что скорость катера по течению в $1\frac{1}{3}$ раза больше скорости катера против течения. Переведем смешанную дробь в неправильную: $1\frac{1}{3} = \frac{4}{3}$. Таким образом, имеем второе уравнение: $$ v_{по} = \frac{4}{3} v_{пр} $$
Получаем систему из двух уравнений с двумя неизвестными: $$ \begin{cases} \frac{96}{v_{по}} + \frac{96}{v_{пр}} = 14 \\ v_{по} = \frac{4}{3} v_{пр} \end{cases} $$
Подставим выражение для $v_{по}$ из второго уравнения в первое: $$ \frac{96}{\frac{4}{3}v_{пр}} + \frac{96}{v_{пр}} = 14 $$ Выполним преобразования: $$ \frac{96 \cdot 3}{4v_{пр}} + \frac{96}{v_{пр}} = 14 $$ $$ \frac{72}{v_{пр}} + \frac{96}{v_{пр}} = 14 $$ $$ \frac{168}{v_{пр}} = 14 $$ Отсюда находим скорость против течения: $$ v_{пр} = \frac{168}{14} = 12 \text{ км/ч} $$
Зная скорость против течения, найдем скорость по течению: $$ v_{по} = \frac{4}{3} \cdot v_{пр} = \frac{4}{3} \cdot 12 = 16 \text{ км/ч} $$
Чтобы найти расстояние, на котором катер встретил плот, нам нужна скорость течения, так как она равна скорости плота. Найдем ее, а также собственную скорость катера, из системы уравнений: $$ \begin{cases} v_k + v_t = v_{по} = 16 \\ v_k - v_t = v_{пр} = 12 \end{cases} $$ Сложив эти два уравнения, получаем: $2v_k = 16 + 12 = 28$, откуда собственная скорость катера $v_k = 14$ км/ч. Подставив $v_k$ в первое уравнение, находим скорость течения: $14 + v_t = 16$, откуда $v_t = 2$ км/ч. Следовательно, скорость плота $v_{плота} = v_t = 2$ км/ч.
Теперь определим момент и место встречи. Пусть встреча произошла через время $t$ после одновременного старта из пристани А.
За время $t$ плот отплыл от пристани А на расстояние $S_{плота} = v_{плота} \cdot t = 2t$.
Катер сначала плыл по течению 96 км. Время, затраченное на этот путь, составляет: $$ t_1 = \frac{S}{v_{по}} = \frac{96}{16} = 6 \text{ часов} $$ Встреча произошла на обратном пути катера, то есть при $t > 6$ часов. К моменту встречи $t$ катер плыл против течения в течение времени $(t - 6)$ часов.
Расстояние катера от пристани А в момент времени $t$ можно рассчитать как разность между максимальным удалением (96 км) и расстоянием, которое он прошел обратно: $$ S_{катера} = 96 - v_{пр} \cdot (t - 6) = 96 - 12(t - 6) $$
В момент встречи их расстояния от пристани А равны ($S_{плота} = S_{катера}$): $$ 2t = 96 - 12(t - 6) $$
Решим полученное уравнение, чтобы найти время встречи $t$: $$ 2t = 96 - 12t + 72 $$ $$ 14t = 168 $$ $$ t = \frac{168}{14} = 12 \text{ часов} $$
Встреча произошла через 12 часов после начала движения. Чтобы найти расстояние от пристани А, подставим найденное время в формулу для расстояния, которое прошел плот: $$ S_{встречи} = v_{плота} \cdot t = 2 \text{ км/ч} \cdot 12 \text{ ч} = 24 \text{ км} $$
Ответ: 24 км.
Другие задания:
Помогло решение? Оставьте отзыв в комментариях ниже.
Мы подготовили для вас ответ c подробным объяснением домашего задания по алгебре за 9 класс, для упражнения номер 7.42 расположенного на странице 45 для 2-й части к учебнику 2019 года издания для учащихся школ и гимназий.
Теперь на нашем сайте ГДЗ.ТОП вы всегда легко и бесплатно найдёте условие с правильным ответом на вопрос «Как решить ДЗ» и «Как сделать» задание по алгебре к упражнению №7.42 (с. 45), авторов: Мордкович (Александр Григорьевич), Семенов (Павел Владимирович), 2-й части учебного пособия издательства Мнемозина.