Номер 1011, страница 304 - гдз по алгебре 10-11 класс учебник Алимов, Колягин

Алгебра, 10-11 класс Учебник, авторы: Алимов Шавкат Арифджанович, Колягин Юрий Михайлович, Ткачева Мария Владимировна, Федорова Надежда Евгеньевна, Шабунин Михаил Иванович, издательство Просвещение, Москва, 2014

Авторы: Алимов Ш. А., Колягин Ю. М., Ткачева М. В., Федорова Н. Е., Шабунин М. И.

Тип: Учебник

Издательство: Просвещение

Год издания: 2014 - 2025

Уровень обучения: базовый и углублённый

Цвет обложки: синий, фиолетовый

ISBN: 978-5-09-112136-0

Допущено Министерством просвещения Российской Федерации

Математика: алгебра и начала математического анализа, геометрия

Популярные ГДЗ в 10 классе

Глава 10. Интеграл. Параграф 57. Вычисление интегралов - номер 1011, страница 304.

№1011 (с. 304)
Условие. №1011 (с. 304)
скриншот условия
Алгебра, 10-11 класс Учебник, авторы: Алимов Шавкат Арифджанович, Колягин Юрий Михайлович, Ткачева Мария Владимировна, Федорова Надежда Евгеньевна, Шабунин Михаил Иванович, издательство Просвещение, Москва, 2014, страница 304, номер 1011, Условие

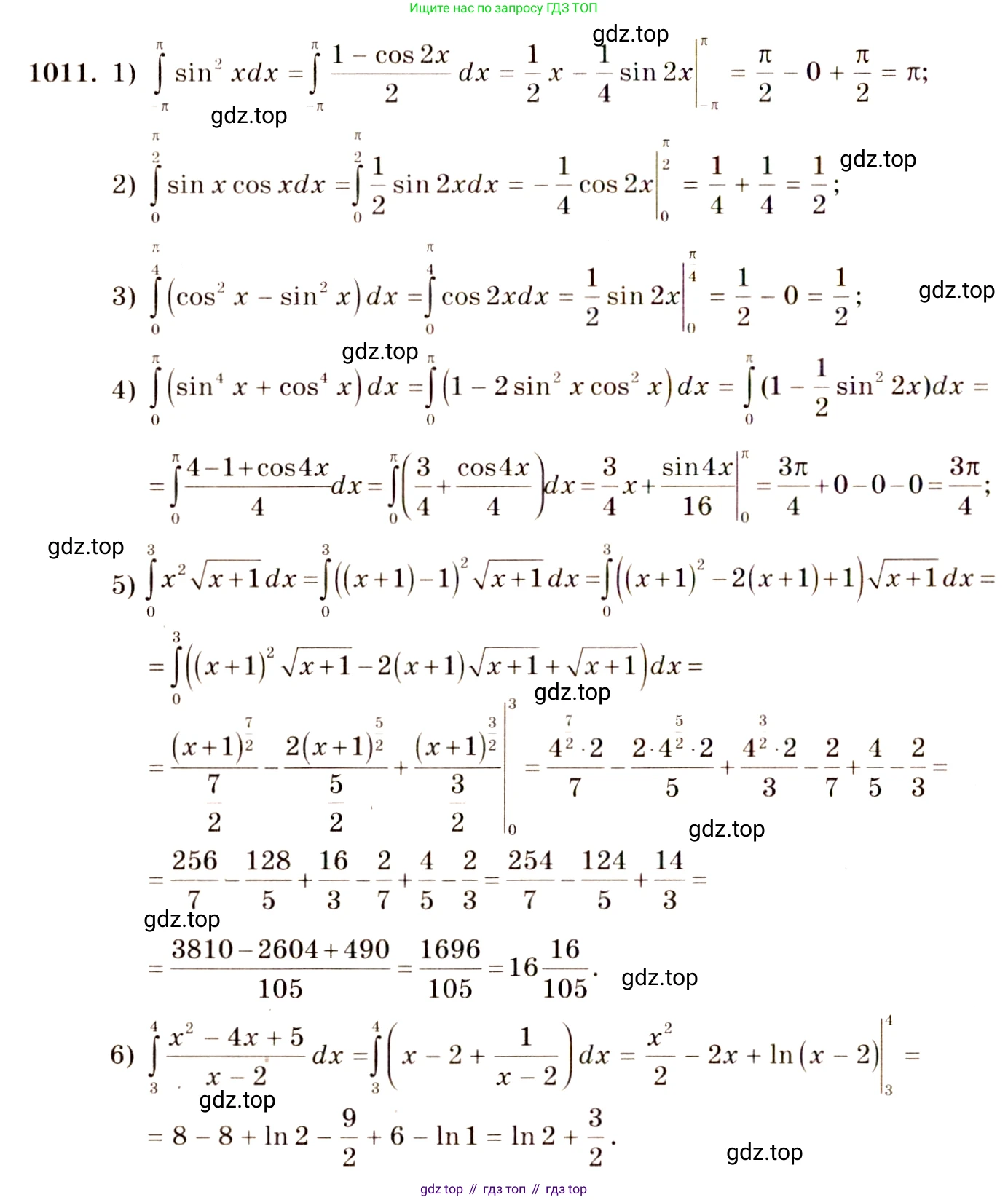
1011 1) $\int_{-\pi}^{\pi} \sin^2 x dx;$

2) $\int_{0}^{\frac{\pi}{2}} \sin x \cos x dx;$

3) $\int_{0}^{\frac{\pi}{4}} (\cos^2 x - \sin^2 x) dx;$

4) $\int_{0}^{\pi} (\sin^4 x + \cos^4 x) dx;$

5) $\int_{0}^{3} x^2 \sqrt{x+1} dx;$

6) $\int_{3}^{4} \frac{x^2 - 4x + 5}{x-2} dx.$

Решение 1. №1011 (с. 304)
Алгебра, 10-11 класс Учебник, авторы: Алимов Шавкат Арифджанович, Колягин Юрий Михайлович, Ткачева Мария Владимировна, Федорова Надежда Евгеньевна, Шабунин Михаил Иванович, издательство Просвещение, Москва, 2014, страница 304, номер 1011, Решение 1
Алгебра, 10-11 класс Учебник, авторы: Алимов Шавкат Арифджанович, Колягин Юрий Михайлович, Ткачева Мария Владимировна, Федорова Надежда Евгеньевна, Шабунин Михаил Иванович, издательство Просвещение, Москва, 2014, страница 304, номер 1011, Решение 1 (продолжение 2)
Алгебра, 10-11 класс Учебник, авторы: Алимов Шавкат Арифджанович, Колягин Юрий Михайлович, Ткачева Мария Владимировна, Федорова Надежда Евгеньевна, Шабунин Михаил Иванович, издательство Просвещение, Москва, 2014, страница 304, номер 1011, Решение 1 (продолжение 3)
Алгебра, 10-11 класс Учебник, авторы: Алимов Шавкат Арифджанович, Колягин Юрий Михайлович, Ткачева Мария Владимировна, Федорова Надежда Евгеньевна, Шабунин Михаил Иванович, издательство Просвещение, Москва, 2014, страница 304, номер 1011, Решение 1 (продолжение 4)
Алгебра, 10-11 класс Учебник, авторы: Алимов Шавкат Арифджанович, Колягин Юрий Михайлович, Ткачева Мария Владимировна, Федорова Надежда Евгеньевна, Шабунин Михаил Иванович, издательство Просвещение, Москва, 2014, страница 304, номер 1011, Решение 1 (продолжение 5) Алгебра, 10-11 класс Учебник, авторы: Алимов Шавкат Арифджанович, Колягин Юрий Михайлович, Ткачева Мария Владимировна, Федорова Надежда Евгеньевна, Шабунин Михаил Иванович, издательство Просвещение, Москва, 2014, страница 304, номер 1011, Решение 1 (продолжение 6)
Решение 2. №1011 (с. 304)
Алгебра, 10-11 класс Учебник, авторы: Алимов Шавкат Арифджанович, Колягин Юрий Михайлович, Ткачева Мария Владимировна, Федорова Надежда Евгеньевна, Шабунин Михаил Иванович, издательство Просвещение, Москва, 2014, страница 304, номер 1011, Решение 2
Алгебра, 10-11 класс Учебник, авторы: Алимов Шавкат Арифджанович, Колягин Юрий Михайлович, Ткачева Мария Владимировна, Федорова Надежда Евгеньевна, Шабунин Михаил Иванович, издательство Просвещение, Москва, 2014, страница 304, номер 1011, Решение 2 (продолжение 2)
Решение 4. №1011 (с. 304)
Алгебра, 10-11 класс Учебник, авторы: Алимов Шавкат Арифджанович, Колягин Юрий Михайлович, Ткачева Мария Владимировна, Федорова Надежда Евгеньевна, Шабунин Михаил Иванович, издательство Просвещение, Москва, 2014, страница 304, номер 1011, Решение 4
Решение 5. №1011 (с. 304)
Алгебра, 10-11 класс Учебник, авторы: Алимов Шавкат Арифджанович, Колягин Юрий Михайлович, Ткачева Мария Владимировна, Федорова Надежда Евгеньевна, Шабунин Михаил Иванович, издательство Просвещение, Москва, 2014, страница 304, номер 1011, Решение 5
Алгебра, 10-11 класс Учебник, авторы: Алимов Шавкат Арифджанович, Колягин Юрий Михайлович, Ткачева Мария Владимировна, Федорова Надежда Евгеньевна, Шабунин Михаил Иванович, издательство Просвещение, Москва, 2014, страница 304, номер 1011, Решение 5 (продолжение 2)
Решение 7. №1011 (с. 304)
Алгебра, 10-11 класс Учебник, авторы: Алимов Шавкат Арифджанович, Колягин Юрий Михайлович, Ткачева Мария Владимировна, Федорова Надежда Евгеньевна, Шабунин Михаил Иванович, издательство Просвещение, Москва, 2014, страница 304, номер 1011, Решение 7 Алгебра, 10-11 класс Учебник, авторы: Алимов Шавкат Арифджанович, Колягин Юрий Михайлович, Ткачева Мария Владимировна, Федорова Надежда Евгеньевна, Шабунин Михаил Иванович, издательство Просвещение, Москва, 2014, страница 304, номер 1011, Решение 7 (продолжение 2)
Решение 8. №1011 (с. 304)

1) Для вычисления интеграла $\int_{-\pi}^{\pi} \sin^2 x \,dx$ воспользуемся формулой понижения степени $\sin^2 x = \frac{1 - \cos(2x)}{2}$.

$\int_{-\pi}^{\pi} \sin^2 x \,dx = \int_{-\pi}^{\pi} \frac{1 - \cos(2x)}{2} \,dx = \frac{1}{2} \int_{-\pi}^{\pi} (1 - \cos(2x)) \,dx$

Найдем первообразную: $\frac{1}{2} \left(x - \frac{1}{2}\sin(2x)\right)$.

Применим формулу Ньютона-Лейбница:

$\frac{1}{2} \left[x - \frac{1}{2}\sin(2x)\right]_{-\pi}^{\pi} = \frac{1}{2} \left( \left(\pi - \frac{1}{2}\sin(2\pi)\right) - \left(-\pi - \frac{1}{2}\sin(-2\pi)\right) \right)$

Так как $\sin(2\pi) = 0$ и $\sin(-2\pi) = 0$, получаем:

$\frac{1}{2} ((\pi - 0) - (-\pi - 0)) = \frac{1}{2}(\pi - (-\pi)) = \frac{1}{2}(2\pi) = \pi$.

Ответ: $\pi$.

2) Для вычисления интеграла $\int_{0}^{\frac{\pi}{2}} \sin x \cos x \,dx$ можно использовать формулу двойного угла $\sin(2x) = 2\sin x \cos x$ или метод замены переменной. Воспользуемся заменой.

Пусть $t = \sin x$. Тогда $dt = \cos x \,dx$. Найдем новые пределы интегрирования: Если $x = 0$, то $t = \sin(0) = 0$. Если $x = \frac{\pi}{2}$, то $t = \sin(\frac{\pi}{2}) = 1$.

Интеграл принимает вид:

$\int_{0}^{1} t \,dt = \left[\frac{t^2}{2}\right]_{0}^{1} = \frac{1^2}{2} - \frac{0^2}{2} = \frac{1}{2}$.

Ответ: $\frac{1}{2}$.

3) В подынтегральном выражении $\int_{0}^{\frac{\pi}{4}} (\cos^2 x - \sin^2 x) \,dx$ узнаем формулу косинуса двойного угла: $\cos(2x) = \cos^2 x - \sin^2 x$.

$\int_{0}^{\frac{\pi}{4}} \cos(2x) \,dx = \left[\frac{1}{2}\sin(2x)\right]_{0}^{\frac{\pi}{4}}$

Подставляем пределы интегрирования:

$\frac{1}{2}\sin\left(2 \cdot \frac{\pi}{4}\right) - \frac{1}{2}\sin(2 \cdot 0) = \frac{1}{2}\sin\left(\frac{\pi}{2}\right) - \frac{1}{2}\sin(0) = \frac{1}{2} \cdot 1 - \frac{1}{2} \cdot 0 = \frac{1}{2}$.

Ответ: $\frac{1}{2}$.

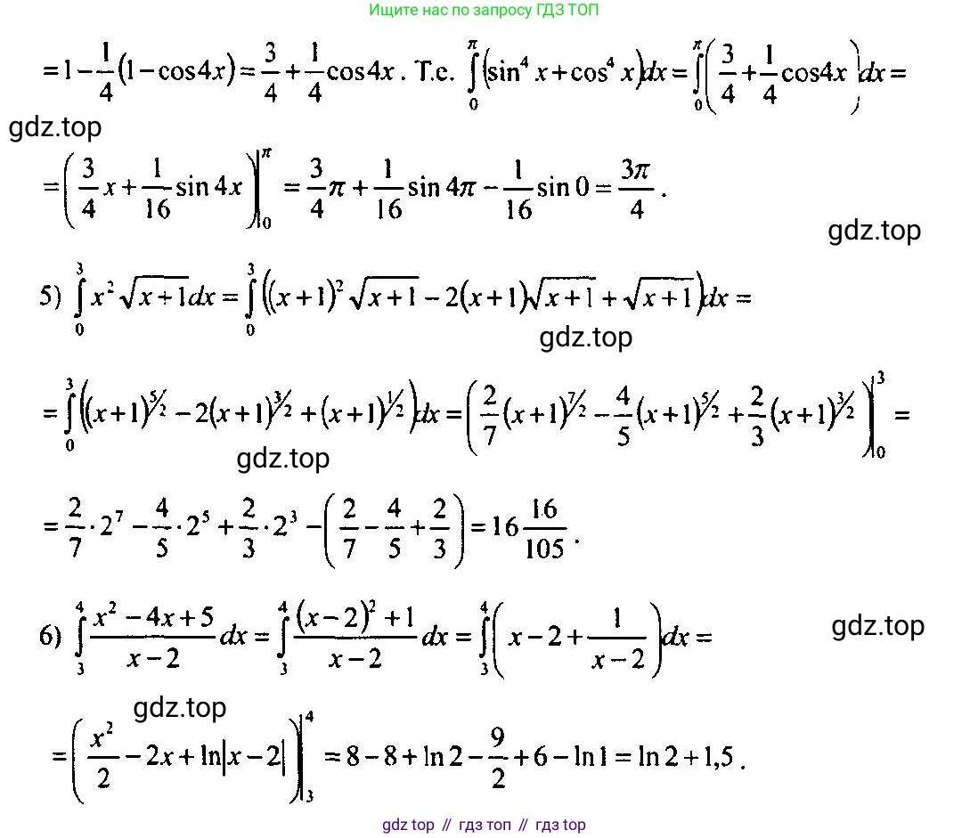
4) Для вычисления интеграла $\int_{0}^{\pi} (\sin^4 x + \cos^4 x) \,dx$ преобразуем подынтегральное выражение.

$\sin^4 x + \cos^4 x = (\sin^2 x + \cos^2 x)^2 - 2\sin^2 x \cos^2 x = 1^2 - 2(\sin x \cos x)^2$.

Используя формулу $\sin(2x) = 2\sin x \cos x$, получаем:

$1 - 2\left(\frac{\sin(2x)}{2}\right)^2 = 1 - 2\frac{\sin^2(2x)}{4} = 1 - \frac{1}{2}\sin^2(2x)$.

Теперь применим формулу понижения степени $\sin^2 \alpha = \frac{1 - \cos(2\alpha)}{2}$ для $\alpha = 2x$:

$1 - \frac{1}{2} \left( \frac{1 - \cos(4x)}{2} \right) = 1 - \frac{1 - \cos(4x)}{4} = \frac{4 - (1 - \cos(4x))}{4} = \frac{3 + \cos(4x)}{4}$.

Теперь вычисляем интеграл:

$\int_{0}^{\pi} \frac{3 + \cos(4x)}{4} \,dx = \frac{1}{4} \int_{0}^{\pi} (3 + \cos(4x)) \,dx = \frac{1}{4} \left[3x + \frac{1}{4}\sin(4x)\right]_{0}^{\pi}$

$\frac{1}{4} \left( \left(3\pi + \frac{1}{4}\sin(4\pi)\right) - \left(3 \cdot 0 + \frac{1}{4}\sin(0)\right) \right) = \frac{1}{4} (3\pi + 0 - 0) = \frac{3\pi}{4}$.

Ответ: $\frac{3\pi}{4}$.

5) Для вычисления интеграла $\int_{0}^{3} x^2 \sqrt{x+1} \,dx$ сделаем замену переменной. Пусть $t = x+1$. Тогда $x = t-1$ и $dx = dt$. Новые пределы интегрирования: Если $x = 0$, то $t = 1$. Если $x = 3$, то $t = 4$.

$\int_{1}^{4} (t-1)^2 \sqrt{t} \,dt = \int_{1}^{4} (t^2 - 2t + 1)t^{1/2} \,dt = \int_{1}^{4} (t^{5/2} - 2t^{3/2} + t^{1/2}) \,dt$.

Найдем первообразную:

$\left[\frac{t^{7/2}}{7/2} - 2\frac{t^{5/2}}{5/2} + \frac{t^{3/2}}{3/2}\right]_{1}^{4} = \left[\frac{2}{7}t^{7/2} - \frac{4}{5}t^{5/2} + \frac{2}{3}t^{3/2}\right]_{1}^{4}$.

Вычисляем значение на верхнем пределе ($t=4$):

$\frac{2}{7}4^{7/2} - \frac{4}{5}4^{5/2} + \frac{2}{3}4^{3/2} = \frac{2}{7} \cdot 2^7 - \frac{4}{5} \cdot 2^5 + \frac{2}{3} \cdot 2^3 = \frac{2 \cdot 128}{7} - \frac{4 \cdot 32}{5} + \frac{2 \cdot 8}{3} = \frac{256}{7} - \frac{128}{5} + \frac{16}{3}$.

Вычисляем значение на нижнем пределе ($t=1$):

$\frac{2}{7}(1)^{7/2} - \frac{4}{5}(1)^{5/2} + \frac{2}{3}(1)^{3/2} = \frac{2}{7} - \frac{4}{5} + \frac{2}{3}$.

Находим разность:

$\left(\frac{256}{7} - \frac{128}{5} + \frac{16}{3}\right) - \left(\frac{2}{7} - \frac{4}{5} + \frac{2}{3}\right) = \frac{254}{7} - \frac{124}{5} + \frac{14}{3}$.

Приводим к общему знаменателю $105$:

$\frac{254 \cdot 15 - 124 \cdot 21 + 14 \cdot 35}{105} = \frac{3810 - 2604 + 490}{105} = \frac{1206 + 490}{105} = \frac{1696}{105}$.

Ответ: $\frac{1696}{105}$.

6) Для вычисления интеграла $\int_{3}^{4} \frac{x^2 - 4x + 5}{x-2} \,dx$ преобразуем подынтегральное выражение, выделив целую часть. Для этого можно представить числитель через $x-2$:

$x^2 - 4x + 5 = (x^2 - 4x + 4) + 1 = (x-2)^2 + 1$.

Тогда дробь равна:

$\frac{(x-2)^2 + 1}{x-2} = \frac{(x-2)^2}{x-2} + \frac{1}{x-2} = x-2 + \frac{1}{x-2}$.

Теперь интегрируем:

$\int_{3}^{4} \left(x-2 + \frac{1}{x-2}\right) \,dx = \left[\frac{(x-2)^2}{2} + \ln|x-2|\right]_{3}^{4}$.

Подставляем пределы:

$\left(\frac{(4-2)^2}{2} + \ln|4-2|\right) - \left(\frac{(3-2)^2}{2} + \ln|3-2|\right) = \left(\frac{2^2}{2} + \ln(2)\right) - \left(\frac{1^2}{2} + \ln(1)\right)$.

$\left(\frac{4}{2} + \ln(2)\right) - \left(\frac{1}{2} + 0\right) = 2 + \ln(2) - \frac{1}{2} = \frac{3}{2} + \ln(2)$.

Ответ: $\frac{3}{2} + \ln(2)$.

Помогло решение? Оставьте отзыв в комментариях ниже.

Присоединяйтесь к Телеграм-группе @top_gdz

Присоединиться

Мы подготовили для вас ответ c подробным объяснением домашего задания по алгебре за 10-11 класс, для упражнения номер 1011 расположенного на странице 304 к учебнику 2014 года издания для учащихся школ и гимназий.

Теперь на нашем сайте ГДЗ.ТОП вы всегда легко и бесплатно найдёте условие с правильным ответом на вопрос «Как решить ДЗ» и «Как сделать» задание по алгебре к упражнению №1011 (с. 304), авторов: Алимов (Шавкат Арифджанович), Колягин (Юрий Михайлович), Ткачева (Мария Владимировна), Федорова (Надежда Евгеньевна), Шабунин (Михаил Иванович), ФГОС (старый) базовый и углублённый уровень обучения учебного пособия издательства Просвещение.