Номер 1014, страница 308 - гдз по алгебре 10-11 класс учебник Алимов, Колягин

Алгебра, 10-11 класс Учебник, авторы: Алимов Шавкат Арифджанович, Колягин Юрий Михайлович, Ткачева Мария Владимировна, Федорова Надежда Евгеньевна, Шабунин Михаил Иванович, издательство Просвещение, Москва, 2014

Авторы: Алимов Ш. А., Колягин Ю. М., Ткачева М. В., Федорова Н. Е., Шабунин М. И.

Тип: Учебник

Издательство: Просвещение

Год издания: 2014 - 2025

Уровень обучения: базовый и углублённый

Цвет обложки: синий, фиолетовый

ISBN: 978-5-09-112136-0

Допущено Министерством просвещения Российской Федерации

Математика: алгебра и начала математического анализа, геометрия

Популярные ГДЗ в 10 классе

Глава 10. Интеграл. Параграф 58. Вычисление площадей с помощью интегралов - номер 1014, страница 308.

№1014 (с. 308)
Условие. №1014 (с. 308)
скриншот условия
Алгебра, 10-11 класс Учебник, авторы: Алимов Шавкат Арифджанович, Колягин Юрий Михайлович, Ткачева Мария Владимировна, Федорова Надежда Евгеньевна, Шабунин Михаил Иванович, издательство Просвещение, Москва, 2014, страница 308, номер 1014, Условие

Найти площадь фигуры, ограниченной заданными линиями (1014—1023).

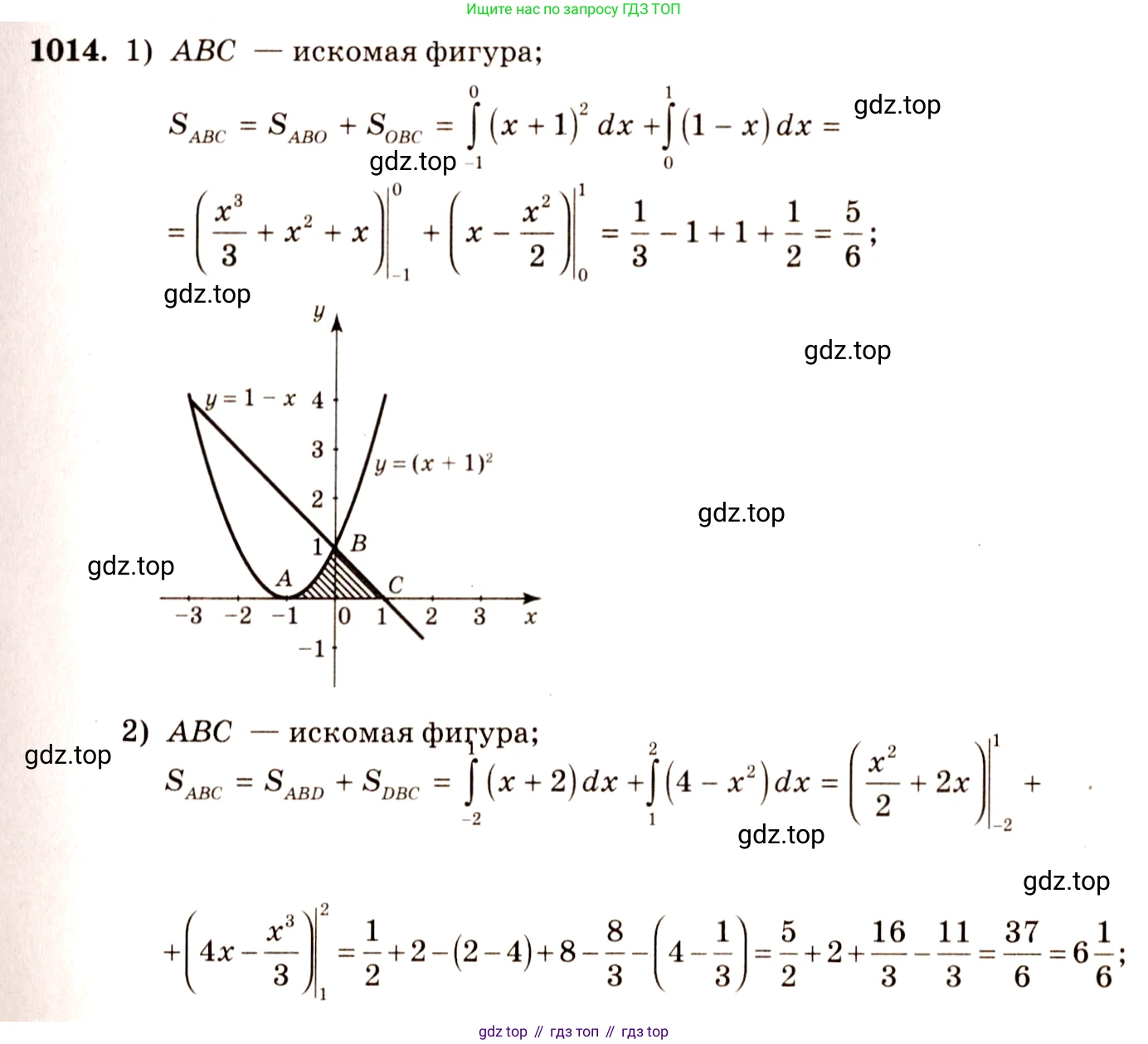
1014 1) Параболой $y = (x + 1)^2$, прямой $y = 1 - x$ и осью $Ox$;

2) параболой $y = 4 - x^2$, прямой $y = x + 2$ и осью $Ox$;

3) параболой $y = 4x - x^2$, прямой $y = 4 - x$ и осью $Ox$;

4) параболой $y = 3x^2$, прямой $y = 1.5x + 4.5$ и осью $Ox$.

Решение 1. №1014 (с. 308)
Алгебра, 10-11 класс Учебник, авторы: Алимов Шавкат Арифджанович, Колягин Юрий Михайлович, Ткачева Мария Владимировна, Федорова Надежда Евгеньевна, Шабунин Михаил Иванович, издательство Просвещение, Москва, 2014, страница 308, номер 1014, Решение 1
Алгебра, 10-11 класс Учебник, авторы: Алимов Шавкат Арифджанович, Колягин Юрий Михайлович, Ткачева Мария Владимировна, Федорова Надежда Евгеньевна, Шабунин Михаил Иванович, издательство Просвещение, Москва, 2014, страница 308, номер 1014, Решение 1 (продолжение 2)
Алгебра, 10-11 класс Учебник, авторы: Алимов Шавкат Арифджанович, Колягин Юрий Михайлович, Ткачева Мария Владимировна, Федорова Надежда Евгеньевна, Шабунин Михаил Иванович, издательство Просвещение, Москва, 2014, страница 308, номер 1014, Решение 1 (продолжение 3)
Алгебра, 10-11 класс Учебник, авторы: Алимов Шавкат Арифджанович, Колягин Юрий Михайлович, Ткачева Мария Владимировна, Федорова Надежда Евгеньевна, Шабунин Михаил Иванович, издательство Просвещение, Москва, 2014, страница 308, номер 1014, Решение 1 (продолжение 4)
Решение 2. №1014 (с. 308)
Алгебра, 10-11 класс Учебник, авторы: Алимов Шавкат Арифджанович, Колягин Юрий Михайлович, Ткачева Мария Владимировна, Федорова Надежда Евгеньевна, Шабунин Михаил Иванович, издательство Просвещение, Москва, 2014, страница 308, номер 1014, Решение 2
Алгебра, 10-11 класс Учебник, авторы: Алимов Шавкат Арифджанович, Колягин Юрий Михайлович, Ткачева Мария Владимировна, Федорова Надежда Евгеньевна, Шабунин Михаил Иванович, издательство Просвещение, Москва, 2014, страница 308, номер 1014, Решение 2 (продолжение 2)
Алгебра, 10-11 класс Учебник, авторы: Алимов Шавкат Арифджанович, Колягин Юрий Михайлович, Ткачева Мария Владимировна, Федорова Надежда Евгеньевна, Шабунин Михаил Иванович, издательство Просвещение, Москва, 2014, страница 308, номер 1014, Решение 2 (продолжение 3)
Решение 4. №1014 (с. 308)
Алгебра, 10-11 класс Учебник, авторы: Алимов Шавкат Арифджанович, Колягин Юрий Михайлович, Ткачева Мария Владимировна, Федорова Надежда Евгеньевна, Шабунин Михаил Иванович, издательство Просвещение, Москва, 2014, страница 308, номер 1014, Решение 4
Алгебра, 10-11 класс Учебник, авторы: Алимов Шавкат Арифджанович, Колягин Юрий Михайлович, Ткачева Мария Владимировна, Федорова Надежда Евгеньевна, Шабунин Михаил Иванович, издательство Просвещение, Москва, 2014, страница 308, номер 1014, Решение 4 (продолжение 2)
Решение 5. №1014 (с. 308)
Алгебра, 10-11 класс Учебник, авторы: Алимов Шавкат Арифджанович, Колягин Юрий Михайлович, Ткачева Мария Владимировна, Федорова Надежда Евгеньевна, Шабунин Михаил Иванович, издательство Просвещение, Москва, 2014, страница 308, номер 1014, Решение 5
Решение 7. №1014 (с. 308)
Алгебра, 10-11 класс Учебник, авторы: Алимов Шавкат Арифджанович, Колягин Юрий Михайлович, Ткачева Мария Владимировна, Федорова Надежда Евгеньевна, Шабунин Михаил Иванович, издательство Просвещение, Москва, 2014, страница 308, номер 1014, Решение 7 Алгебра, 10-11 класс Учебник, авторы: Алимов Шавкат Арифджанович, Колягин Юрий Михайлович, Ткачева Мария Владимировна, Федорова Надежда Евгеньевна, Шабунин Михаил Иванович, издательство Просвещение, Москва, 2014, страница 308, номер 1014, Решение 7 (продолжение 2) Алгебра, 10-11 класс Учебник, авторы: Алимов Шавкат Арифджанович, Колягин Юрий Михайлович, Ткачева Мария Владимировна, Федорова Надежда Евгеньевна, Шабунин Михаил Иванович, издательство Просвещение, Москва, 2014, страница 308, номер 1014, Решение 7 (продолжение 3) Алгебра, 10-11 класс Учебник, авторы: Алимов Шавкат Арифджанович, Колягин Юрий Михайлович, Ткачева Мария Владимировна, Федорова Надежда Евгеньевна, Шабунин Михаил Иванович, издательство Просвещение, Москва, 2014, страница 308, номер 1014, Решение 7 (продолжение 4) Алгебра, 10-11 класс Учебник, авторы: Алимов Шавкат Арифджанович, Колягин Юрий Михайлович, Ткачева Мария Владимировна, Федорова Надежда Евгеньевна, Шабунин Михаил Иванович, издательство Просвещение, Москва, 2014, страница 308, номер 1014, Решение 7 (продолжение 5) Алгебра, 10-11 класс Учебник, авторы: Алимов Шавкат Арифджанович, Колягин Юрий Михайлович, Ткачева Мария Владимировна, Федорова Надежда Евгеньевна, Шабунин Михаил Иванович, издательство Просвещение, Москва, 2014, страница 308, номер 1014, Решение 7 (продолжение 6)
Решение 8. №1014 (с. 308)

1)

Для нахождения площади фигуры, ограниченной параболой $y = (x + 1)^2$, прямой $y = 1 - x$ и осью Ox ($y = 0$), сначала найдем точки пересечения этих линий.

1. Пересечение параболы $y = (x + 1)^2$ и прямой $y = 1 - x$:

$(x + 1)^2 = 1 - x$

$x^2 + 2x + 1 = 1 - x$

$x^2 + 3x = 0$

$x(x + 3) = 0$

Точки пересечения при $x = 0$ (y=1) и $x = -3$ (y=4).

2. Пересечение параболы $y = (x + 1)^2$ с осью Ox ($y = 0$):

$(x + 1)^2 = 0 \Rightarrow x = -1$. Точка $(-1, 0)$.

3. Пересечение прямой $y = 1 - x$ с осью Ox ($y = 0$):

$1 - x = 0 \Rightarrow x = 1$. Точка $(1, 0)$.

Фигура расположена над осью Ox. На промежутке от $x = -1$ до $x = 0$ верхняя граница фигуры — это парабола $y = (x+1)^2$. На промежутке от $x = 0$ до $x = 1$ верхняя граница — это прямая $y = 1-x$. Таким образом, площадь фигуры является суммой двух интегралов:

$S = \int_{-1}^{0} (x+1)^2 \,dx + \int_{0}^{1} (1-x) \,dx$

Вычисляем первый интеграл:

$\int_{-1}^{0} (x+1)^2 \,dx = \left[ \frac{(x+1)^3}{3} \right]_{-1}^{0} = \frac{(0+1)^3}{3} - \frac{(-1+1)^3}{3} = \frac{1}{3} - 0 = \frac{1}{3}$

Вычисляем второй интеграл:

$\int_{0}^{1} (1-x) \,dx = \left[ x - \frac{x^2}{2} \right]_{0}^{1} = (1 - \frac{1^2}{2}) - (0 - 0) = 1 - \frac{1}{2} = \frac{1}{2}$

Общая площадь:

$S = \frac{1}{3} + \frac{1}{2} = \frac{2+3}{6} = \frac{5}{6}$

Ответ: $S = \frac{5}{6}$

2)

Найдем площадь фигуры, ограниченной параболой $y = 4 - x^2$, прямой $y = x + 2$ и осью Ox ($y = 0$).

1. Найдем точки пересечения линий:

Парабола и прямая: $4 - x^2 = x + 2 \Rightarrow x^2 + x - 2 = 0 \Rightarrow (x+2)(x-1) = 0$. Точки пересечения при $x = -2$ (y=0) и $x = 1$ (y=3).

Парабола и ось Ox: $4 - x^2 = 0 \Rightarrow x = \pm 2$. Точки $(-2, 0)$ и $(2, 0)$.

Прямая и ось Ox: $x + 2 = 0 \Rightarrow x = -2$. Точка $(-2, 0)$.

Фигура ограничена снизу осью Ox. Верхняя граница фигуры определяется наименьшим из значений функций $y = 4 - x^2$ и $y = x + 2$ на интервале, где они обе неотрицательны.

На промежутке $[-2, 1]$ имеем $x+2 \leq 4-x^2$. На промежутке $[1, 2]$ прямая находится выше параболы, но обе функции положительны.

Таким образом, верхняя граница фигуры на промежутке $[-2, 1]$ задается прямой $y=x+2$, а на промежутке $[1, 2]$ — параболой $y=4-x^2$. Площадь является суммой двух интегралов:

$S = \int_{-2}^{1} (x+2) \,dx + \int_{1}^{2} (4-x^2) \,dx$

Вычисляем первый интеграл:

$\int_{-2}^{1} (x+2) \,dx = \left[ \frac{x^2}{2} + 2x \right]_{-2}^{1} = \left(\frac{1}{2} + 2\right) - \left(\frac{4}{2} - 4\right) = \frac{5}{2} - (-2) = \frac{9}{2}$

Вычисляем второй интеграл:

$\int_{1}^{2} (4-x^2) \,dx = \left[ 4x - \frac{x^3}{3} \right]_{1}^{2} = \left(8 - \frac{8}{3}\right) - \left(4 - \frac{1}{3}\right) = \frac{16}{3} - \frac{11}{3} = \frac{5}{3}$

Общая площадь:

$S = \frac{9}{2} + \frac{5}{3} = \frac{27+10}{6} = \frac{37}{6}$

Ответ: $S = \frac{37}{6}$

3)

Найдем площадь фигуры, ограниченной параболой $y = 4x - x^2$, прямой $y = 4 - x$ и осью Ox ($y = 0$).

1. Найдем точки пересечения линий:

Парабола и прямая: $4x - x^2 = 4 - x \Rightarrow x^2 - 5x + 4 = 0 \Rightarrow (x-1)(x-4) = 0$. Точки пересечения при $x = 1$ (y=3) и $x = 4$ (y=0).

Парабола и ось Ox: $4x - x^2 = 0 \Rightarrow x(4-x) = 0$. Точки $(0, 0)$ и $(4, 0)$.

Прямая и ось Ox: $4 - x = 0 \Rightarrow x = 4$. Точка $(4, 0)$.

Фигура ограничена снизу осью Ox. Верхняя граница определяется наименьшим из значений функций $y = 4x - x^2$ и $y = 4 - x$.

На промежутке $[0, 1]$ имеем $4x-x^2 \leq 4-x$. На промежутке $[1, 4]$ имеем $4-x \leq 4x-x^2$.

Следовательно, на промежутке $[0, 1]$ верхняя граница — парабола $y=4x-x^2$, а на промежутке $[1, 4]$ — прямая $y=4-x$. Площадь является суммой двух интегралов:

$S = \int_{0}^{1} (4x-x^2) \,dx + \int_{1}^{4} (4-x) \,dx$

Вычисляем первый интеграл:

$\int_{0}^{1} (4x-x^2) \,dx = \left[ 2x^2 - \frac{x^3}{3} \right]_{0}^{1} = \left(2 - \frac{1}{3}\right) - 0 = \frac{5}{3}$

Вычисляем второй интеграл:

$\int_{1}^{4} (4-x) \,dx = \left[ 4x - \frac{x^2}{2} \right]_{1}^{4} = \left(16 - \frac{16}{2}\right) - \left(4 - \frac{1}{2}\right) = 8 - \frac{7}{2} = \frac{9}{2}$

Общая площадь:

$S = \frac{5}{3} + \frac{9}{2} = \frac{10+27}{6} = \frac{37}{6}$

Ответ: $S = \frac{37}{6}$

4)

Найдем площадь фигуры, ограниченной параболой $y = 3x^2$, прямой $y = 1.5x + 4.5$ и осью Ox ($y = 0$).

1. Найдем точки пересечения линий:

Парабола и прямая: $3x^2 = 1.5x + 4.5 \Rightarrow 6x^2 - 3x - 9 = 0 \Rightarrow 2x^2 - x - 3 = 0$. Решая квадратное уравнение, получаем $x = \frac{1 \pm \sqrt{1 - 4(2)(-3)}}{4} = \frac{1 \pm 5}{4}$. Точки пересечения при $x = 1.5$ (y=6.75) и $x = -1$ (y=3).

Парабола и ось Ox: $3x^2 = 0 \Rightarrow x = 0$. Точка $(0, 0)$.

Прямая и ось Ox: $1.5x + 4.5 = 0 \Rightarrow x = -3$. Точка $(-3, 0)$.

Фигура ограничена снизу осью Ox. Верхняя граница определяется наименьшим из значений функций $y = 3x^2$ и $y = 1.5x + 4.5$. Интервал интегрирования по оси Ox от $-3$ до $0$.

На промежутке $[-3, -1]$ имеем $1.5x+4.5 \leq 3x^2$. На промежутке $[-1, 0]$ имеем $3x^2 \leq 1.5x+4.5$.

Следовательно, на промежутке $[-3, -1]$ верхняя граница — прямая $y=1.5x+4.5$, а на промежутке $[-1, 0]$ — парабола $y=3x^2$. Площадь является суммой двух интегралов:

$S = \int_{-3}^{-1} (1.5x+4.5) \,dx + \int_{-1}^{0} 3x^2 \,dx$

Вычисляем первый интеграл:

$\int_{-3}^{-1} (1.5x+4.5) \,dx = \left[ \frac{1.5x^2}{2} + 4.5x \right]_{-3}^{-1} = \left[ \frac{3}{4}x^2 + \frac{9}{2}x \right]_{-3}^{-1} = \left(\frac{3}{4} - \frac{9}{2}\right) - \left(\frac{3}{4}(9) - \frac{9}{2}(3)\right) = \left(\frac{3-18}{4}\right) - \left(\frac{27}{4} - \frac{27}{2}\right) = -\frac{15}{4} - \left(-\frac{27}{4}\right) = \frac{12}{4} = 3$

Вычисляем второй интеграл:

$\int_{-1}^{0} 3x^2 \,dx = \left[ x^3 \right]_{-1}^{0} = 0 - (-1)^3 = 1$

Общая площадь:

$S = 3 + 1 = 4$

Ответ: $S = 4$

Помогло решение? Оставьте отзыв в комментариях ниже.

Присоединяйтесь к Телеграм-группе @top_gdz

Присоединиться

Мы подготовили для вас ответ c подробным объяснением домашего задания по алгебре за 10-11 класс, для упражнения номер 1014 расположенного на странице 308 к учебнику 2014 года издания для учащихся школ и гимназий.

Теперь на нашем сайте ГДЗ.ТОП вы всегда легко и бесплатно найдёте условие с правильным ответом на вопрос «Как решить ДЗ» и «Как сделать» задание по алгебре к упражнению №1014 (с. 308), авторов: Алимов (Шавкат Арифджанович), Колягин (Юрий Михайлович), Ткачева (Мария Владимировна), Федорова (Надежда Евгеньевна), Шабунин (Михаил Иванович), ФГОС (старый) базовый и углублённый уровень обучения учебного пособия издательства Просвещение.