Номер 1091, страница 329 - гдз по алгебре 10-11 класс учебник Алимов, Колягин

Алгебра, 10-11 класс Учебник, авторы: Алимов Шавкат Арифджанович, Колягин Юрий Михайлович, Ткачева Мария Владимировна, Федорова Надежда Евгеньевна, Шабунин Михаил Иванович, издательство Просвещение, Москва, 2014

Авторы: Алимов Ш. А., Колягин Ю. М., Ткачева М. В., Федорова Н. Е., Шабунин М. И.

Тип: Учебник

Издательство: Просвещение

Год издания: 2014 - 2025

Уровень обучения: базовый и углублённый

Цвет обложки: синий, фиолетовый

ISBN: 978-5-09-112136-0

Допущено Министерством просвещения Российской Федерации

Математика: алгебра и начала математического анализа, геометрия

Популярные ГДЗ в 10 классе

Глава 11. Комбинаторика. Параграф 63. Сочетания и их свойства - номер 1091, страница 329.

№1091 (с. 329)
Условие. №1091 (с. 329)
скриншот условия
Алгебра, 10-11 класс Учебник, авторы: Алимов Шавкат Арифджанович, Колягин Юрий Михайлович, Ткачева Мария Владимировна, Федорова Надежда Евгеньевна, Шабунин Михаил Иванович, издательство Просвещение, Москва, 2014, страница 329, номер 1091, Условие

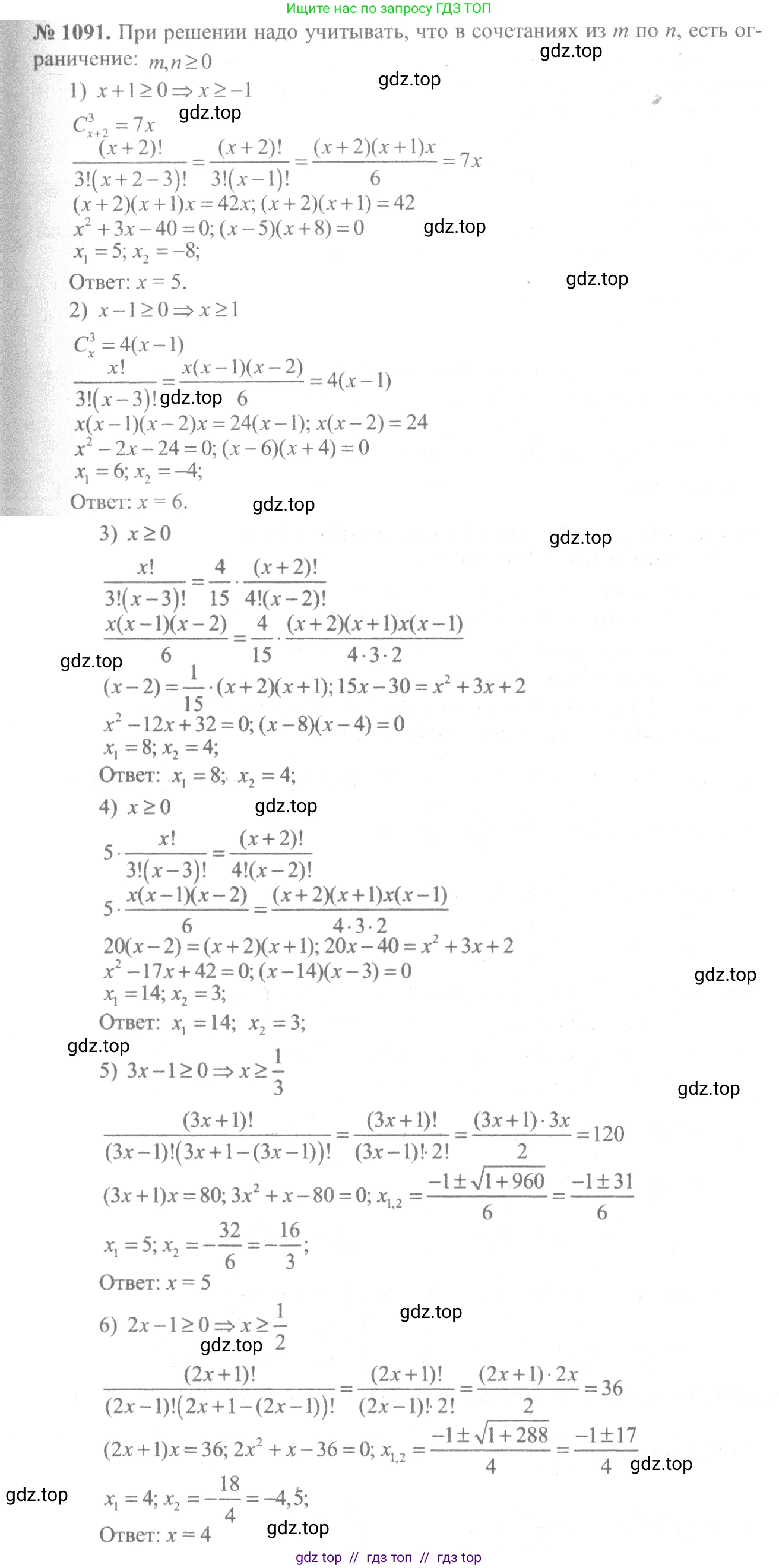
1091 Решить уравнение:

1) $C_{x+1}^2 + C_{x+1}^3 = 7x;$ 2) $C_{x-1}^3 + C_{x-1}^2 = 4 (x - 1);$

3) $C_x^3 = \frac{4}{15}C_{x+2}^4;$ 4) $5C_x^3 = C_{x+2}^4;$

5) $C_{3x+1}^{3x-1} = 120;$ 6) $C_{2x+1}^{2x-1} = 36.$

Решение 1. №1091 (с. 329)
Алгебра, 10-11 класс Учебник, авторы: Алимов Шавкат Арифджанович, Колягин Юрий Михайлович, Ткачева Мария Владимировна, Федорова Надежда Евгеньевна, Шабунин Михаил Иванович, издательство Просвещение, Москва, 2014, страница 329, номер 1091, Решение 1
Алгебра, 10-11 класс Учебник, авторы: Алимов Шавкат Арифджанович, Колягин Юрий Михайлович, Ткачева Мария Владимировна, Федорова Надежда Евгеньевна, Шабунин Михаил Иванович, издательство Просвещение, Москва, 2014, страница 329, номер 1091, Решение 1 (продолжение 2)
Алгебра, 10-11 класс Учебник, авторы: Алимов Шавкат Арифджанович, Колягин Юрий Михайлович, Ткачева Мария Владимировна, Федорова Надежда Евгеньевна, Шабунин Михаил Иванович, издательство Просвещение, Москва, 2014, страница 329, номер 1091, Решение 1 (продолжение 3)
Алгебра, 10-11 класс Учебник, авторы: Алимов Шавкат Арифджанович, Колягин Юрий Михайлович, Ткачева Мария Владимировна, Федорова Надежда Евгеньевна, Шабунин Михаил Иванович, издательство Просвещение, Москва, 2014, страница 329, номер 1091, Решение 1 (продолжение 4)
Алгебра, 10-11 класс Учебник, авторы: Алимов Шавкат Арифджанович, Колягин Юрий Михайлович, Ткачева Мария Владимировна, Федорова Надежда Евгеньевна, Шабунин Михаил Иванович, издательство Просвещение, Москва, 2014, страница 329, номер 1091, Решение 1 (продолжение 5) Алгебра, 10-11 класс Учебник, авторы: Алимов Шавкат Арифджанович, Колягин Юрий Михайлович, Ткачева Мария Владимировна, Федорова Надежда Евгеньевна, Шабунин Михаил Иванович, издательство Просвещение, Москва, 2014, страница 329, номер 1091, Решение 1 (продолжение 6)
Решение 2. №1091 (с. 329)
Алгебра, 10-11 класс Учебник, авторы: Алимов Шавкат Арифджанович, Колягин Юрий Михайлович, Ткачева Мария Владимировна, Федорова Надежда Евгеньевна, Шабунин Михаил Иванович, издательство Просвещение, Москва, 2014, страница 329, номер 1091, Решение 2
Алгебра, 10-11 класс Учебник, авторы: Алимов Шавкат Арифджанович, Колягин Юрий Михайлович, Ткачева Мария Владимировна, Федорова Надежда Евгеньевна, Шабунин Михаил Иванович, издательство Просвещение, Москва, 2014, страница 329, номер 1091, Решение 2 (продолжение 2)
Алгебра, 10-11 класс Учебник, авторы: Алимов Шавкат Арифджанович, Колягин Юрий Михайлович, Ткачева Мария Владимировна, Федорова Надежда Евгеньевна, Шабунин Михаил Иванович, издательство Просвещение, Москва, 2014, страница 329, номер 1091, Решение 2 (продолжение 3)
Решение 5. №1091 (с. 329)
Алгебра, 10-11 класс Учебник, авторы: Алимов Шавкат Арифджанович, Колягин Юрий Михайлович, Ткачева Мария Владимировна, Федорова Надежда Евгеньевна, Шабунин Михаил Иванович, издательство Просвещение, Москва, 2014, страница 329, номер 1091, Решение 5
Решение 7. №1091 (с. 329)
Алгебра, 10-11 класс Учебник, авторы: Алимов Шавкат Арифджанович, Колягин Юрий Михайлович, Ткачева Мария Владимировна, Федорова Надежда Евгеньевна, Шабунин Михаил Иванович, издательство Просвещение, Москва, 2014, страница 329, номер 1091, Решение 7
Алгебра, 10-11 класс Учебник, авторы: Алимов Шавкат Арифджанович, Колягин Юрий Михайлович, Ткачева Мария Владимировна, Федорова Надежда Евгеньевна, Шабунин Михаил Иванович, издательство Просвещение, Москва, 2014, страница 329, номер 1091, Решение 7 (продолжение 2) Алгебра, 10-11 класс Учебник, авторы: Алимов Шавкат Арифджанович, Колягин Юрий Михайлович, Ткачева Мария Владимировна, Федорова Надежда Евгеньевна, Шабунин Михаил Иванович, издательство Просвещение, Москва, 2014, страница 329, номер 1091, Решение 7 (продолжение 3)
Решение 8. №1091 (с. 329)

Для решения данных уравнений мы будем использовать формулу для числа сочетаний $C_n^k = \frac{n!}{k!(n-k)!}$ , где $n$ и $k$ – целые неотрицательные числа, причем $n \ge k$. Также полезным будет свойство сочетаний: $C_n^k + C_n^{k-1} = C_{n+1}^k$.

1)

Решить уравнение $C_{x+1}^2 + C_{x+1}^3 = 7x$.

Найдем область допустимых значений (ОДЗ) для $x$. Для существования сочетаний необходимо, чтобы верхний индекс был не меньше нижнего.
Для $C_{x+1}^2$: $x+1 \ge 2 \Rightarrow x \ge 1$.
Для $C_{x+1}^3$: $x+1 \ge 3 \Rightarrow x \ge 2$.
Объединяя условия, получаем ОДЗ: $x \ge 2$ и $x$ – целое число.

Воспользуемся свойством $C_n^k + C_n^{k+1} = C_{n+1}^{k+1}$. В нашем случае $n=x+1$ и $k=2$.
$C_{x+1}^2 + C_{x+1}^3 = C_{x+1+1}^3 = C_{x+2}^3$.

Уравнение принимает вид: $C_{x+2}^3 = 7x$.

Распишем левую часть по формуле сочетаний:
$C_{x+2}^3 = \frac{(x+2)!}{3!((x+2)-3)!} = \frac{(x+2)!}{6(x-1)!} = \frac{(x+2)(x+1)x(x-1)!}{6(x-1)!} = \frac{x(x+1)(x+2)}{6}$.

Подставим в уравнение:
$\frac{x(x+1)(x+2)}{6} = 7x$.

Так как по ОДЗ $x \ge 2$, то $x \ne 0$. Можем разделить обе части уравнения на $x$:
$\frac{(x+1)(x+2)}{6} = 7$
$(x+1)(x+2) = 42$
$x^2 + 3x + 2 = 42$
$x^2 + 3x - 40 = 0$.

Решим квадратное уравнение. По теореме Виета, корни $x_1=5$ и $x_2=-8$.
Проверим корни по ОДЗ ($x \ge 2$, $x \in \mathbb{Z}$).
$x_1 = 5$ удовлетворяет ОДЗ.
$x_2 = -8$ не удовлетворяет ОДЗ.

Ответ: 5

2)

Решить уравнение $C_{x-1}^3 + C_{x-1}^2 = 4(x-1)$.

ОДЗ:
Для $C_{x-1}^3$: $x-1 \ge 3 \Rightarrow x \ge 4$.
Для $C_{x-1}^2$: $x-1 \ge 2 \Rightarrow x \ge 3$.
Общее ОДЗ: $x \ge 4$ и $x$ – целое число.

Используем свойство $C_n^k + C_n^{k-1} = C_{n+1}^k$. Здесь $n=x-1$ и $k=3$.
$C_{x-1}^3 + C_{x-1}^2 = C_{x-1+1}^3 = C_x^3$.

Уравнение становится: $C_x^3 = 4(x-1)$.

Распишем $C_x^3$:
$C_x^3 = \frac{x!}{3!(x-3)!} = \frac{x(x-1)(x-2)}{6}$.

Подставим в уравнение:
$\frac{x(x-1)(x-2)}{6} = 4(x-1)$.

По ОДЗ $x \ge 4$, следовательно $x-1 \ne 0$. Разделим обе части на $(x-1)$:
$\frac{x(x-2)}{6} = 4$
$x(x-2) = 24$
$x^2 - 2x - 24 = 0$.

Решим квадратное уравнение. По теореме Виета, корни $x_1=6$ и $x_2=-4$.
Проверяем по ОДЗ ($x \ge 4$, $x \in \mathbb{Z}$).
$x_1 = 6$ удовлетворяет ОДЗ.
$x_2 = -4$ не удовлетворяет ОДЗ.

Ответ: 6

3)

Решить уравнение $C_x^3 = \frac{4}{15}C_{x+2}^4$.

ОДЗ:
Для $C_x^3$: $x \ge 3$.
Для $C_{x+2}^4$: $x+2 \ge 4 \Rightarrow x \ge 2$.
Общее ОДЗ: $x \ge 3$ и $x$ – целое число.

Распишем обе части уравнения:
$C_x^3 = \frac{x(x-1)(x-2)}{6}$
$C_{x+2}^4 = \frac{(x+2)(x+1)x(x-1)}{24}$.

Подставляем в уравнение:
$\frac{x(x-1)(x-2)}{6} = \frac{4}{15} \cdot \frac{(x+2)(x+1)x(x-1)}{24}$.

По ОДЗ $x \ge 3$, значит $x(x-1) \ne 0$. Разделим обе части на $x(x-1)$:
$\frac{x-2}{6} = \frac{4}{15} \cdot \frac{(x+2)(x+1)}{24}$.
$\frac{x-2}{6} = \frac{(x+2)(x+1)}{15 \cdot 6}$.

Умножим обе части на $15 \cdot 6$:
$15(x-2) = (x+2)(x+1)$
$15x - 30 = x^2 + 3x + 2$
$x^2 - 12x + 32 = 0$.

Решим квадратное уравнение. По теореме Виета, корни $x_1=4$ и $x_2=8$.
Оба корня удовлетворяют ОДЗ ($x \ge 3$, $x \in \mathbb{Z}$).

Ответ: 4; 8

4)

Решить уравнение $5C_x^3 = C_{x+2}^4$.

ОДЗ, как и в предыдущем задании: $x \ge 3$ и $x$ – целое число.

Используем расписанные ранее выражения для сочетаний:
$5 \cdot \frac{x(x-1)(x-2)}{6} = \frac{(x+2)(x+1)x(x-1)}{24}$.

Разделим обе части на $x(x-1)$ (т.к. $x \ge 3$):
$5 \cdot \frac{x-2}{6} = \frac{(x+2)(x+1)}{24}$.

Умножим обе части на 24:
$5 \cdot \frac{x-2}{6} \cdot 24 = (x+2)(x+1)$
$5 \cdot (x-2) \cdot 4 = (x+2)(x+1)$
$20(x-2) = x^2 + 3x + 2$
$20x - 40 = x^2 + 3x + 2$
$x^2 - 17x + 42 = 0$.

Решим квадратное уравнение. По теореме Виета, корни $x_1=3$ и $x_2=14$.
Оба корня удовлетворяют ОДЗ ($x \ge 3$, $x \in \mathbb{Z}$).

Ответ: 3; 14

5)

Решить уравнение $C_{3x+1}^{3x-1} = 120$.

ОДЗ: $3x+1 \ge 3x-1 \Rightarrow 1 \ge -1$ (верно) и $3x-1 \ge 0 \Rightarrow x \ge 1/3$. Предполагая, что $x$ – целое, получаем $x \ge 1$.

Воспользуемся свойством $C_n^k = C_n^{n-k}$:
$C_{3x+1}^{3x-1} = C_{3x+1}^{(3x+1)-(3x-1)} = C_{3x+1}^2$.

Уравнение принимает вид: $C_{3x+1}^2 = 120$.

Распишем левую часть:
$C_{3x+1}^2 = \frac{(3x+1)(3x)}{2}$.

Подставляем в уравнение:
$\frac{3x(3x+1)}{2} = 120$
$3x(3x+1) = 240$
$x(3x+1) = 80$
$3x^2 + x - 80 = 0$.

Решим квадратное уравнение через дискриминант $D = b^2 - 4ac$:
$D = 1^2 - 4 \cdot 3 \cdot (-80) = 1 + 960 = 961 = 31^2$.
$x = \frac{-1 \pm \sqrt{961}}{2 \cdot 3} = \frac{-1 \pm 31}{6}$.
$x_1 = \frac{-1+31}{6} = \frac{30}{6} = 5$.
$x_2 = \frac{-1-31}{6} = \frac{-32}{6} = -\frac{16}{3}$.

Проверяем по ОДЗ ($x \ge 1$, $x \in \mathbb{Z}$).
$x_1 = 5$ удовлетворяет ОДЗ.
$x_2 = -16/3$ не удовлетворяет ОДЗ.

Ответ: 5

6)

Решить уравнение $C_{2x+1}^{2x-1} = 36$.

ОДЗ: $2x+1 \ge 2x-1 \Rightarrow 1 \ge -1$ (верно) и $2x-1 \ge 0 \Rightarrow x \ge 1/2$. Предполагая, что $x$ – целое, получаем $x \ge 1$.

Используем свойство $C_n^k = C_n^{n-k}$:
$C_{2x+1}^{2x-1} = C_{2x+1}^{(2x+1)-(2x-1)} = C_{2x+1}^2$.

Уравнение принимает вид: $C_{2x+1}^2 = 36$.

Распишем левую часть:
$C_{2x+1}^2 = \frac{(2x+1)(2x)}{2} = x(2x+1)$.

Подставляем в уравнение:
$x(2x+1) = 36$
$2x^2 + x - 36 = 0$.

Решим квадратное уравнение через дискриминант $D = b^2 - 4ac$:
$D = 1^2 - 4 \cdot 2 \cdot (-36) = 1 + 288 = 289 = 17^2$.
$x = \frac{-1 \pm \sqrt{289}}{2 \cdot 2} = \frac{-1 \pm 17}{4}$.
$x_1 = \frac{-1+17}{4} = \frac{16}{4} = 4$.
$x_2 = \frac{-1-17}{4} = \frac{-18}{4} = -4.5$.

Проверяем по ОДЗ ($x \ge 1$, $x \in \mathbb{Z}$).
$x_1 = 4$ удовлетворяет ОДЗ.
$x_2 = -4.5$ не удовлетворяет ОДЗ.

Ответ: 4

Помогло решение? Оставьте отзыв в комментариях ниже.

Присоединяйтесь к Телеграм-группе @top_gdz

Присоединиться

Мы подготовили для вас ответ c подробным объяснением домашего задания по алгебре за 10-11 класс, для упражнения номер 1091 расположенного на странице 329 к учебнику 2014 года издания для учащихся школ и гимназий.

Теперь на нашем сайте ГДЗ.ТОП вы всегда легко и бесплатно найдёте условие с правильным ответом на вопрос «Как решить ДЗ» и «Как сделать» задание по алгебре к упражнению №1091 (с. 329), авторов: Алимов (Шавкат Арифджанович), Колягин (Юрий Михайлович), Ткачева (Мария Владимировна), Федорова (Надежда Евгеньевна), Шабунин (Михаил Иванович), ФГОС (старый) базовый и углублённый уровень обучения учебного пособия издательства Просвещение.