Номер 1092, страница 332 - гдз по алгебре 10-11 класс учебник Алимов, Колягин

Алгебра, 10-11 класс Учебник, авторы: Алимов Шавкат Арифджанович, Колягин Юрий Михайлович, Ткачева Мария Владимировна, Федорова Надежда Евгеньевна, Шабунин Михаил Иванович, издательство Просвещение, Москва, 2014

Авторы: Алимов Ш. А., Колягин Ю. М., Ткачева М. В., Федорова Н. Е., Шабунин М. И.

Тип: Учебник

Издательство: Просвещение

Год издания: 2014 - 2025

Уровень обучения: базовый и углублённый

Цвет обложки: синий, фиолетовый

ISBN: 978-5-09-112136-0

Допущено Министерством просвещения Российской Федерации

Математика: алгебра и начала математического анализа, геометрия

Популярные ГДЗ в 10 классе

Глава 11. Комбинаторика. Параграф 64. Бином Ньютона - номер 1092, страница 332.

№1092 (с. 332)
Условие. №1092 (с. 332)
скриншот условия
Алгебра, 10-11 класс Учебник, авторы: Алимов Шавкат Арифджанович, Колягин Юрий Михайлович, Ткачева Мария Владимировна, Федорова Надежда Евгеньевна, Шабунин Михаил Иванович, издательство Просвещение, Москва, 2014, страница 332, номер 1092, Условие

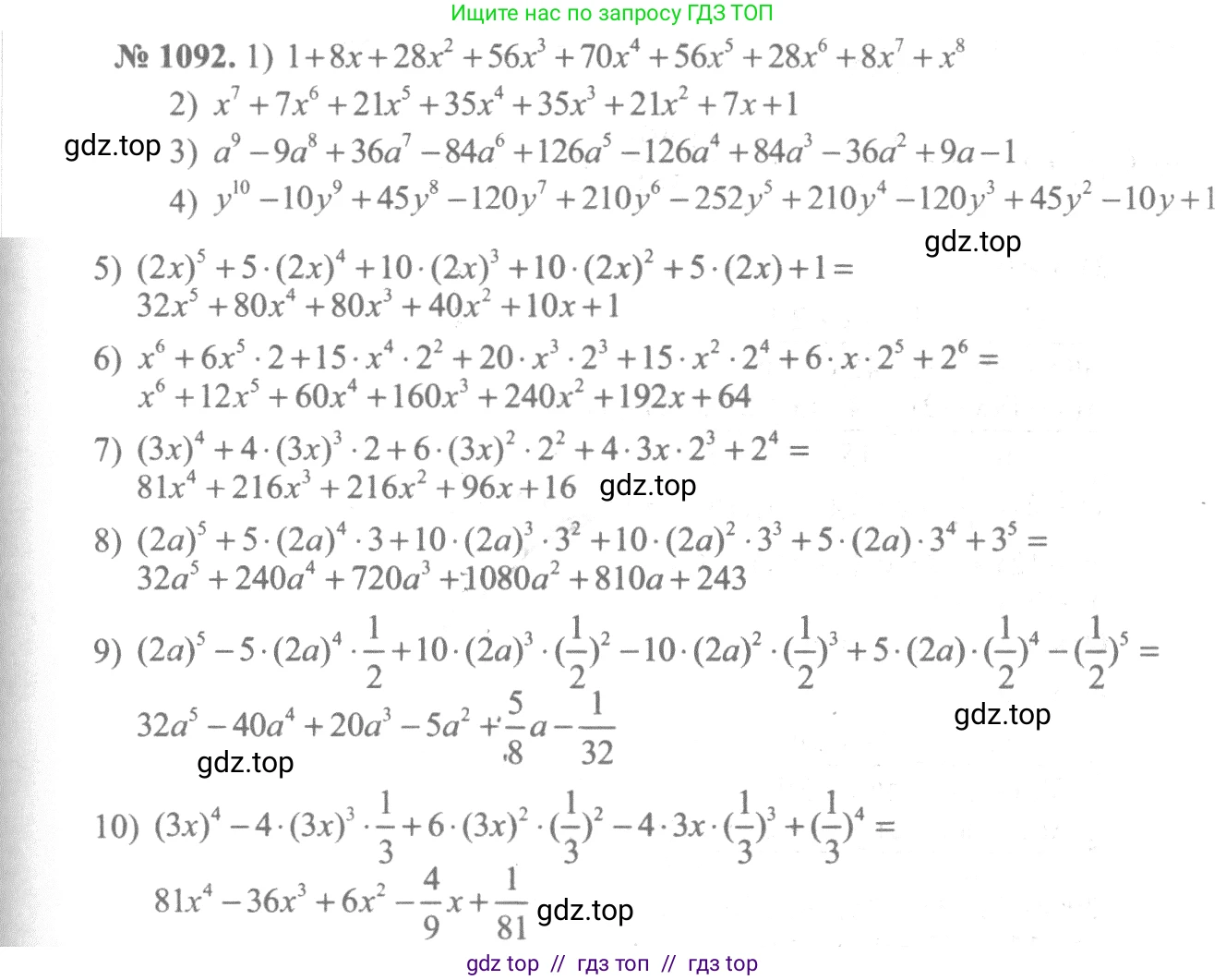
1092 Записать разложение бинома:

1) $(1+x)^8;$

2) $(x+1)^7;$

3) $(a-1)^9;$

4) $(y-1)^{10};$

5) $(2x+1)^5;$

6) $(x+2)^6;$

7) $(3x+2)^4;$

8) $(2a+3)^5;$

9) $(2a-\frac{1}{2})^5;$

10) $(3x-\frac{1}{3})^4.$

Решение 1. №1092 (с. 332)
Алгебра, 10-11 класс Учебник, авторы: Алимов Шавкат Арифджанович, Колягин Юрий Михайлович, Ткачева Мария Владимировна, Федорова Надежда Евгеньевна, Шабунин Михаил Иванович, издательство Просвещение, Москва, 2014, страница 332, номер 1092, Решение 1
Алгебра, 10-11 класс Учебник, авторы: Алимов Шавкат Арифджанович, Колягин Юрий Михайлович, Ткачева Мария Владимировна, Федорова Надежда Евгеньевна, Шабунин Михаил Иванович, издательство Просвещение, Москва, 2014, страница 332, номер 1092, Решение 1 (продолжение 2)
Алгебра, 10-11 класс Учебник, авторы: Алимов Шавкат Арифджанович, Колягин Юрий Михайлович, Ткачева Мария Владимировна, Федорова Надежда Евгеньевна, Шабунин Михаил Иванович, издательство Просвещение, Москва, 2014, страница 332, номер 1092, Решение 1 (продолжение 3)
Алгебра, 10-11 класс Учебник, авторы: Алимов Шавкат Арифджанович, Колягин Юрий Михайлович, Ткачева Мария Владимировна, Федорова Надежда Евгеньевна, Шабунин Михаил Иванович, издательство Просвещение, Москва, 2014, страница 332, номер 1092, Решение 1 (продолжение 4)
Алгебра, 10-11 класс Учебник, авторы: Алимов Шавкат Арифджанович, Колягин Юрий Михайлович, Ткачева Мария Владимировна, Федорова Надежда Евгеньевна, Шабунин Михаил Иванович, издательство Просвещение, Москва, 2014, страница 332, номер 1092, Решение 1 (продолжение 5) Алгебра, 10-11 класс Учебник, авторы: Алимов Шавкат Арифджанович, Колягин Юрий Михайлович, Ткачева Мария Владимировна, Федорова Надежда Евгеньевна, Шабунин Михаил Иванович, издательство Просвещение, Москва, 2014, страница 332, номер 1092, Решение 1 (продолжение 6) Алгебра, 10-11 класс Учебник, авторы: Алимов Шавкат Арифджанович, Колягин Юрий Михайлович, Ткачева Мария Владимировна, Федорова Надежда Евгеньевна, Шабунин Михаил Иванович, издательство Просвещение, Москва, 2014, страница 332, номер 1092, Решение 1 (продолжение 7) Алгебра, 10-11 класс Учебник, авторы: Алимов Шавкат Арифджанович, Колягин Юрий Михайлович, Ткачева Мария Владимировна, Федорова Надежда Евгеньевна, Шабунин Михаил Иванович, издательство Просвещение, Москва, 2014, страница 332, номер 1092, Решение 1 (продолжение 8) Алгебра, 10-11 класс Учебник, авторы: Алимов Шавкат Арифджанович, Колягин Юрий Михайлович, Ткачева Мария Владимировна, Федорова Надежда Евгеньевна, Шабунин Михаил Иванович, издательство Просвещение, Москва, 2014, страница 332, номер 1092, Решение 1 (продолжение 9) Алгебра, 10-11 класс Учебник, авторы: Алимов Шавкат Арифджанович, Колягин Юрий Михайлович, Ткачева Мария Владимировна, Федорова Надежда Евгеньевна, Шабунин Михаил Иванович, издательство Просвещение, Москва, 2014, страница 332, номер 1092, Решение 1 (продолжение 10)
Решение 2. №1092 (с. 332)
Алгебра, 10-11 класс Учебник, авторы: Алимов Шавкат Арифджанович, Колягин Юрий Михайлович, Ткачева Мария Владимировна, Федорова Надежда Евгеньевна, Шабунин Михаил Иванович, издательство Просвещение, Москва, 2014, страница 332, номер 1092, Решение 2
Алгебра, 10-11 класс Учебник, авторы: Алимов Шавкат Арифджанович, Колягин Юрий Михайлович, Ткачева Мария Владимировна, Федорова Надежда Евгеньевна, Шабунин Михаил Иванович, издательство Просвещение, Москва, 2014, страница 332, номер 1092, Решение 2 (продолжение 2)
Решение 5. №1092 (с. 332)
Алгебра, 10-11 класс Учебник, авторы: Алимов Шавкат Арифджанович, Колягин Юрий Михайлович, Ткачева Мария Владимировна, Федорова Надежда Евгеньевна, Шабунин Михаил Иванович, издательство Просвещение, Москва, 2014, страница 332, номер 1092, Решение 5
Решение 7. №1092 (с. 332)
Алгебра, 10-11 класс Учебник, авторы: Алимов Шавкат Арифджанович, Колягин Юрий Михайлович, Ткачева Мария Владимировна, Федорова Надежда Евгеньевна, Шабунин Михаил Иванович, издательство Просвещение, Москва, 2014, страница 332, номер 1092, Решение 7
Алгебра, 10-11 класс Учебник, авторы: Алимов Шавкат Арифджанович, Колягин Юрий Михайлович, Ткачева Мария Владимировна, Федорова Надежда Евгеньевна, Шабунин Михаил Иванович, издательство Просвещение, Москва, 2014, страница 332, номер 1092, Решение 7 (продолжение 2)
Решение 8. №1092 (с. 332)

Для разложения бинома используется формула бинома Ньютона:

$(a+b)^n = \sum_{k=0}^{n} C_n^k a^{n-k} b^k = C_n^0 a^n b^0 + C_n^1 a^{n-1} b^1 + C_n^2 a^{n-2} b^2 + \dots + C_n^n a^0 b^n$,

где $C_n^k = \frac{n!}{k!(n-k)!}$ — биномиальные коэффициенты.

1) Разложим бином $(1 + x)^8$.

Здесь $a=1$, $b=x$, $n=8$. Биномиальные коэффициенты для $n=8$: $1, 8, 28, 56, 70, 56, 28, 8, 1$.

$(1+x)^8 = 1 \cdot 1^8 \cdot x^0 + 8 \cdot 1^7 \cdot x^1 + 28 \cdot 1^6 \cdot x^2 + 56 \cdot 1^5 \cdot x^3 + 70 \cdot 1^4 \cdot x^4 + 56 \cdot 1^3 \cdot x^5 + 28 \cdot 1^2 \cdot x^6 + 8 \cdot 1^1 \cdot x^7 + 1 \cdot 1^0 \cdot x^8$.

Учитывая, что $1$ в любой степени равен $1$, получаем:

$1 + 8x + 28x^2 + 56x^3 + 70x^4 + 56x^5 + 28x^6 + 8x^7 + x^8$.

Ответ: $1 + 8x + 28x^2 + 56x^3 + 70x^4 + 56x^5 + 28x^6 + 8x^7 + x^8$.

2) Разложим бином $(x + 1)^7$.

Здесь $a=x$, $b=1$, $n=7$. Биномиальные коэффициенты для $n=7$: $1, 7, 21, 35, 35, 21, 7, 1$.

$(x+1)^7 = 1 \cdot x^7 \cdot 1^0 + 7 \cdot x^6 \cdot 1^1 + 21 \cdot x^5 \cdot 1^2 + 35 \cdot x^4 \cdot 1^3 + 35 \cdot x^3 \cdot 1^4 + 21 \cdot x^2 \cdot 1^5 + 7 \cdot x^1 \cdot 1^6 + 1 \cdot x^0 \cdot 1^7$.

Упрощая, получаем:

$x^7 + 7x^6 + 21x^5 + 35x^4 + 35x^3 + 21x^2 + 7x + 1$.

Ответ: $x^7 + 7x^6 + 21x^5 + 35x^4 + 35x^3 + 21x^2 + 7x + 1$.

3) Разложим бином $(a - 1)^9$.

Здесь $a_1=a$, $b_1=-1$, $n=9$. Биномиальные коэффициенты для $n=9$: $1, 9, 36, 84, 126, 126, 84, 36, 9, 1$.

$(a-1)^9 = 1 \cdot a^9 + 9 \cdot a^8(-1) + 36 \cdot a^7(-1)^2 + 84 \cdot a^6(-1)^3 + 126 \cdot a^5(-1)^4 + 126 \cdot a^4(-1)^5 + 84 \cdot a^3(-1)^6 + 36 \cdot a^2(-1)^7 + 9 \cdot a^1(-1)^8 + 1 \cdot a^0(-1)^9$.

Знаки членов будут чередоваться:

$a^9 - 9a^8 + 36a^7 - 84a^6 + 126a^5 - 126a^4 + 84a^3 - 36a^2 + 9a - 1$.

Ответ: $a^9 - 9a^8 + 36a^7 - 84a^6 + 126a^5 - 126a^4 + 84a^3 - 36a^2 + 9a - 1$.

4) Разложим бином $(y - 1)^{10}$.

Здесь $a=y$, $b=-1$, $n=10$. Биномиальные коэффициенты для $n=10$: $1, 10, 45, 120, 210, 252, 210, 120, 45, 10, 1$.

$(y-1)^{10} = 1 \cdot y^{10} - 10 \cdot y^9 + 45 \cdot y^8 - 120 \cdot y^7 + 210 \cdot y^6 - 252 \cdot y^5 + 210 \cdot y^4 - 120 \cdot y^3 + 45 \cdot y^2 - 10 \cdot y + 1$.

Ответ: $y^{10} - 10y^9 + 45y^8 - 120y^7 + 210y^6 - 252y^5 + 210y^4 - 120y^3 + 45y^2 - 10y + 1$.

5) Разложим бином $(2x + 1)^5$.

Здесь $a=2x$, $b=1$, $n=5$. Биномиальные коэффициенты для $n=5$: $1, 5, 10, 10, 5, 1$.

$(2x+1)^5 = 1 \cdot (2x)^5 + 5 \cdot (2x)^4 + 10 \cdot (2x)^3 + 10 \cdot (2x)^2 + 5 \cdot (2x) + 1$.

Раскрываем скобки:

$1 \cdot 32x^5 + 5 \cdot 16x^4 + 10 \cdot 8x^3 + 10 \cdot 4x^2 + 10x + 1$.

$32x^5 + 80x^4 + 80x^3 + 40x^2 + 10x + 1$.

Ответ: $32x^5 + 80x^4 + 80x^3 + 40x^2 + 10x + 1$.

6) Разложим бином $(x + 2)^6$.

Здесь $a=x$, $b=2$, $n=6$. Биномиальные коэффициенты для $n=6$: $1, 6, 15, 20, 15, 6, 1$.

$(x+2)^6 = 1 \cdot x^6 \cdot 2^0 + 6 \cdot x^5 \cdot 2^1 + 15 \cdot x^4 \cdot 2^2 + 20 \cdot x^3 \cdot 2^3 + 15 \cdot x^2 \cdot 2^4 + 6 \cdot x^1 \cdot 2^5 + 1 \cdot x^0 \cdot 2^6$.

Вычисляем степени двойки и умножаем:

$1 \cdot x^6 \cdot 1 + 6 \cdot x^5 \cdot 2 + 15 \cdot x^4 \cdot 4 + 20 \cdot x^3 \cdot 8 + 15 \cdot x^2 \cdot 16 + 6 \cdot x \cdot 32 + 1 \cdot 1 \cdot 64$.

$x^6 + 12x^5 + 60x^4 + 160x^3 + 240x^2 + 192x + 64$.

Ответ: $x^6 + 12x^5 + 60x^4 + 160x^3 + 240x^2 + 192x + 64$.

7) Разложим бином $(3x + 2)^4$.

Здесь $a=3x$, $b=2$, $n=4$. Биномиальные коэффициенты для $n=4$: $1, 4, 6, 4, 1$.

$(3x+2)^4 = 1 \cdot (3x)^4 \cdot 2^0 + 4 \cdot (3x)^3 \cdot 2^1 + 6 \cdot (3x)^2 \cdot 2^2 + 4 \cdot (3x)^1 \cdot 2^3 + 1 \cdot (3x)^0 \cdot 2^4$.

Раскрываем скобки и вычисляем:

$1 \cdot 81x^4 \cdot 1 + 4 \cdot 27x^3 \cdot 2 + 6 \cdot 9x^2 \cdot 4 + 4 \cdot 3x \cdot 8 + 1 \cdot 1 \cdot 16$.

$81x^4 + 216x^3 + 216x^2 + 96x + 16$.

Ответ: $81x^4 + 216x^3 + 216x^2 + 96x + 16$.

8) Разложим бином $(2a + 3)^5$.

Здесь $a_1=2a$, $b_1=3$, $n=5$. Биномиальные коэффициенты для $n=5$: $1, 5, 10, 10, 5, 1$.

$(2a+3)^5 = 1 \cdot (2a)^5 \cdot 3^0 + 5 \cdot (2a)^4 \cdot 3^1 + 10 \cdot (2a)^3 \cdot 3^2 + 10 \cdot (2a)^2 \cdot 3^3 + 5 \cdot (2a)^1 \cdot 3^4 + 1 \cdot (2a)^0 \cdot 3^5$.

Раскрываем скобки и вычисляем:

$1 \cdot 32a^5 \cdot 1 + 5 \cdot 16a^4 \cdot 3 + 10 \cdot 8a^3 \cdot 9 + 10 \cdot 4a^2 \cdot 27 + 5 \cdot 2a \cdot 81 + 1 \cdot 1 \cdot 243$.

$32a^5 + 240a^4 + 720a^3 + 1080a^2 + 810a + 243$.

Ответ: $32a^5 + 240a^4 + 720a^3 + 1080a^2 + 810a + 243$.

9) Разложим бином $(2a - \frac{1}{2})^5$.

Здесь $a_1=2a$, $b_1=-\frac{1}{2}$, $n=5$. Коэффициенты для $n=5$: $1, 5, 10, 10, 5, 1$.

$(2a - \frac{1}{2})^5 = 1 \cdot (2a)^5 + 5 \cdot (2a)^4(-\frac{1}{2})^1 + 10 \cdot (2a)^3(-\frac{1}{2})^2 + 10 \cdot (2a)^2(-\frac{1}{2})^3 + 5 \cdot (2a)^1(-\frac{1}{2})^4 + 1 \cdot (2a)^0(-\frac{1}{2})^5$.

Упрощаем каждый член:

$1 \cdot 32a^5 - 5 \cdot 16a^4 \cdot \frac{1}{2} + 10 \cdot 8a^3 \cdot \frac{1}{4} - 10 \cdot 4a^2 \cdot \frac{1}{8} + 5 \cdot 2a \cdot \frac{1}{16} - 1 \cdot \frac{1}{32}$.

$32a^5 - 40a^4 + 20a^3 - 5a^2 + \frac{10}{16}a - \frac{1}{32} = 32a^5 - 40a^4 + 20a^3 - 5a^2 + \frac{5}{8}a - \frac{1}{32}$.

Ответ: $32a^5 - 40a^4 + 20a^3 - 5a^2 + \frac{5}{8}a - \frac{1}{32}$.

10) Разложим бином $(3x - \frac{1}{3})^4$.

Здесь $a=3x$, $b=-\frac{1}{3}$, $n=4$. Коэффициенты для $n=4$: $1, 4, 6, 4, 1$.

$(3x - \frac{1}{3})^4 = 1 \cdot (3x)^4 + 4 \cdot (3x)^3(-\frac{1}{3})^1 + 6 \cdot (3x)^2(-\frac{1}{3})^2 + 4 \cdot (3x)^1(-\frac{1}{3})^3 + 1 \cdot (3x)^0(-\frac{1}{3})^4$.

Упрощаем каждый член:

$1 \cdot 81x^4 - 4 \cdot 27x^3 \cdot \frac{1}{3} + 6 \cdot 9x^2 \cdot \frac{1}{9} - 4 \cdot 3x \cdot \frac{1}{27} + 1 \cdot \frac{1}{81}$.

$81x^4 - 36x^3 + 6x^2 - \frac{12}{27}x + \frac{1}{81} = 81x^4 - 36x^3 + 6x^2 - \frac{4}{9}x + \frac{1}{81}$.

Ответ: $81x^4 - 36x^3 + 6x^2 - \frac{4}{9}x + \frac{1}{81}$.

Помогло решение? Оставьте отзыв в комментариях ниже.

Присоединяйтесь к Телеграм-группе @top_gdz

Присоединиться

Мы подготовили для вас ответ c подробным объяснением домашего задания по алгебре за 10-11 класс, для упражнения номер 1092 расположенного на странице 332 к учебнику 2014 года издания для учащихся школ и гимназий.

Теперь на нашем сайте ГДЗ.ТОП вы всегда легко и бесплатно найдёте условие с правильным ответом на вопрос «Как решить ДЗ» и «Как сделать» задание по алгебре к упражнению №1092 (с. 332), авторов: Алимов (Шавкат Арифджанович), Колягин (Юрий Михайлович), Ткачева (Мария Владимировна), Федорова (Надежда Евгеньевна), Шабунин (Михаил Иванович), ФГОС (старый) базовый и углублённый уровень обучения учебного пособия издательства Просвещение.